Failure Characteristics of Masonry Wall under Internal Explosion
-
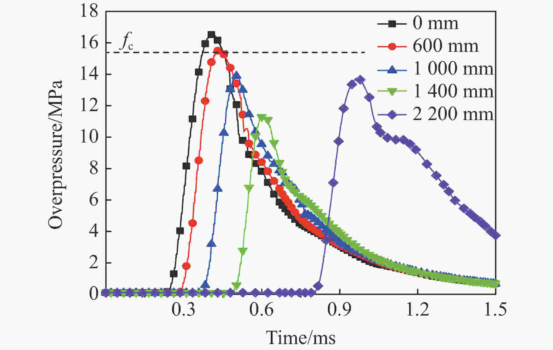
摘要: 为了探究钢筋混凝土框架-砌体墙建筑物的内爆毁伤效应,开展了内爆载荷下砌体墙结构动力响应和失效规律研究。采用数值模拟方法,并结合理论分析,研究了不同当量内爆载荷下砌体墙的失效机理以及失效形式转化过程。结果表明,小药量内部爆炸时,砌体墙的主要失效形式为弯曲导致的墙面开裂。随着药量增加,墙体边界在首道冲击波反射超压作用下发生以剪切变形为主导的失效。而在大药量条件下,首道冲击波超压使砌体墙材料达到极限抗压强度而发生压溃失效。研究结果可为砌体墙结构毁伤评估与防护设计提供技术参考。Abstract: In order to investigate the internal explosion damage effect of reinforced concrete frame-masonry wall, the dynamic response and failure characteristics of masonry walls under internal explosion were studied. Based on numerical simulation and theoretical analysis, the failure mechanism and failure transformation process of masonry wall under internal explosion with different TNT equivalence were analyzed. The results showed that under internal explosive with small mass of explosive, the failure of the masonry wall is mainly due to bending effect. With the increase of the mass of explosive, the failure dominated by shear deformation will happen due to the reflection of the first shock wave. For the cases with larger mass of explosive, compressive failure occurs because the overpressure of the first shock wave reaches the ultimate compressive strength of masonry wall. The research results can provide technical reference for explosive damage evaluation and protection design of masonry wall structures.
-
Key words:
- reinforced concrete /
- masonry wall /
- internal explosion /
- failure mode /
- numerical simulation
-
Material p-$\alpha $ equation of state RHT strength model $\,\rho $0/(kg·m−3) $\alpha_0$ N pel/MPa pcomp/GPa E/GPa ν fc/MPa ft/ fc fv/ fc Mortar 2100 1.33 3 2.4 2.5 1.44 0.20 7.2 0.08 0.15 Brick 1800 1.33 3 5.2 2.5 4.71 0.12 15.7 0.10 0.18 $\,\rho $/(kg·m−3) T/K c/(kJ·kg−1·K−1) 1.225 288.2 0.718 $\,\rho $/(kg·m−3) A/GPa B/GPa R1 R2 $\omega $ Em0/(kJ·m−3) 1630 373.8 3.75 4.15 0.9 0.35 6.0 × 106 表 4 数值模拟结果与实验数据对比
Table 4. Comparison of numerical simulation results and experimental data
Method Peak overpressure of shock wave/MPa 2 m 6 m 10 m 16 m 20 m 28 m 36 m Experiment[16] 7.684 1.624 1.057 0.721 0.605 0.467 0.387 Numerical simulation 6.755 1.430 0.969 0.751 0.613 0.457 0.368 Relative error/% −12.10 −11.90 −8.33 4.16 1.32 −2.14 −4.91 -
[1] SMITH P D, MAYS G C, ROSE T A, et al. Small scale models of complex geometry for blast overpressure assessment [J]. International Journal of Impact Engineering, 1992, 12(3): 345–360. doi: 10.1016/0734-743X(92)90112-7 [2] 王瑀. 典型结构内部爆炸波的传播规律与超压荷载模型[D]. 天津: 天津大学, 2008.WANG Y. Interior propagation of blast wave and overpressure model for common structures [D]. Tianjin: Tianjin University, 2008. [3] 张晓伟, 张庆明, 施鹏, 等. 内爆条件下建筑物等效载荷研究 [J]. 北京理工大学学报, 2013, 33(2): 133–138. doi: 10.3969/j.issn.1001-0645.2013.02.005ZHANG X W, ZHANG Q M, SHI P, et al. Investigation on the equivalent loading of constructions under internal explosion [J]. Journal of Beijing Institute of Technology, 2013, 33(2): 133–138. doi: 10.3969/j.issn.1001-0645.2013.02.005 [4] 陈鹏宇, 侯海量, 金键, 等. 舰船舱内爆炸载荷简化载荷计算模型 [J]. 舰船科学技术, 2020, 42(17): 22–29.CHEN P Y, HOU H L, JIN J, et al. Simplified calculation model for explosion loading in ship cabin [J]. Ship Science and Technology, 2020, 42(17): 22–29. [5] 杨科之, 董军, 吴平安, 等. 砌体隔墙的抗爆炸能力分析[C]//第十三届全国结构工程学术会议论文集(第Ⅲ册). 北京: 清华大学出版社, 2004: 146–151. [6] SCHNEIDER J M, RAMIN M V, STOTTMEISTER A, et al. Characterization of debris throw from masonry wall sections subjected to blast [J]. Engineering Structures, 2019, 203: 109729. [7] KEYS R A, CLUBLEY S K. Experimental analysis of debris distribution of masonry panels subjected to long duration blast loading [J]. Engineering Structures, 2017, 130: 229–241. [8] ZHOU X, HAO H, DEEKS A. Numerical modeling of response and damage of masonry walls to blast loading [J]. Transactions of Tianjin University, 2006, 12: 132–137. [9] 李娟, 丛培宇, 刘香, 等. 内爆作用下不同类型填充墙对RC框架结构的影响 [J]. 工程爆破, 2020, 26(4): 28–34. doi: 10.3969/j.issn.1006-7051.2020.04.005LI J, CONG P Y, LIU X, et al. Influence of different types infill walls on RC frame structure under implosion [J]. Engineering Blasting, 2020, 26(4): 28–34. doi: 10.3969/j.issn.1006-7051.2020.04.005 [10] 高连玉, 徐建. 砌体结构设计规范: GB 50003—2011 [S]. 北京: 中国建筑工业出版社, 2011. [11] MICHALOUDIS G, GEBBEKEN N. Modeling masonry walls under far-field and contact detonations [J]. International Journal of Impact Engineering, 2019, 123: 84–97. [12] 范俊余, 方秦, 张亚栋, 等. 砖墙抗爆性能的数值模拟研究 [J]. 防护工程, 2011(5): 35–40.FAN J Y, FANG Q, ZHANG Y D, et al. Numerical simulation of the anti-blast properties of masonry walls [J]. Protective Engineering, 2011(5): 35–40. [13] Century Dynamics Inc.. Theory manual for Autodyn [M]. Texas: Century Dynamics Inc., 2005. [14] 汪维, 刘瑞朝, 李林, 等. 不同爆炸距离下单向支撑方形钢筋混凝土板破坏模式数值模拟研究 [J]. 兵工学报, 2015, 36(Suppl 1): 233–241.WANG W, LIU R C, LI L, et al. Numerical simulation of one-way square reinforced concrete slab at different blast distances [J]. Acta Armamentarii, 2015, 36(Suppl 1): 233–241. [15] 张玉磊, 王胜强, 袁建飞, 等. 方形坑道内爆炸冲击波传播规律 [J]. 含能材料, 2020, 28(1): 46–51.ZHANG Y L, WANG S Q, YUAN J F, et al. Experimental study on the propagation law of blast waves in a square tunnel [J]. Chinese Journal of Energetic Materials, 2020, 28(1): 46–51. [16] 熊维. 近距离爆炸下砌体填充墙局部破坏试验研究与数值模拟 [D]. 天津: 天津大学, 2015.XIONG W. Experimental study and numerical simulation of local damage of unreinforced masonry under close-in explosion [D]. Tianjin: Tianjin University, 2015. [17] Department of Defense. UFC 3-340-02 structures to resist the effects of accidental explosions [M]. New York: National Institute of Building Sciences, 2008. [18] JONES N. 结构冲击 [M]. 2版. 许骏, 蒋平, 译. 北京: 国防工业出版社, 2018: 57–72.JONES N. Structural impact [M]. 2nd ed.Translated by XU J, JIANG P. Beijing: National Defense Industry Press, 2018: 57–72. -

下载:
