Volume 39 Issue 2
Apr 2025
Turn off MathJax
Article Contents
LIANG Xiao, FAN Mengjun, WANG Yanjin, WANG Ruili. Uncertainty Propagation Analysis of Detonation Pressure Based on Active Subspace[J]. Chinese Journal of High Pressure Physics, 2025, 39(2): 022401. doi: 10.11858/gywlxb.20240862
Citation: LIANG Xiao, FAN Mengjun, WANG Yanjin, WANG Ruili. Uncertainty Propagation Analysis of Detonation Pressure Based on Active Subspace[J]. Chinese Journal of High Pressure Physics, 2025, 39(2): 022401. doi: 10.11858/gywlxb.20240862

Uncertainty Propagation Analysis of Detonation Pressure Based on Active Subspace

doi: 10.11858/gywlxb.20240862
  • Received Date: 26 Jul 2024
  • Rev Recd Date: 24 Aug 2024
  • Available Online: 01 Nov 2024
  • Issue Publish Date: 03 Apr 2025
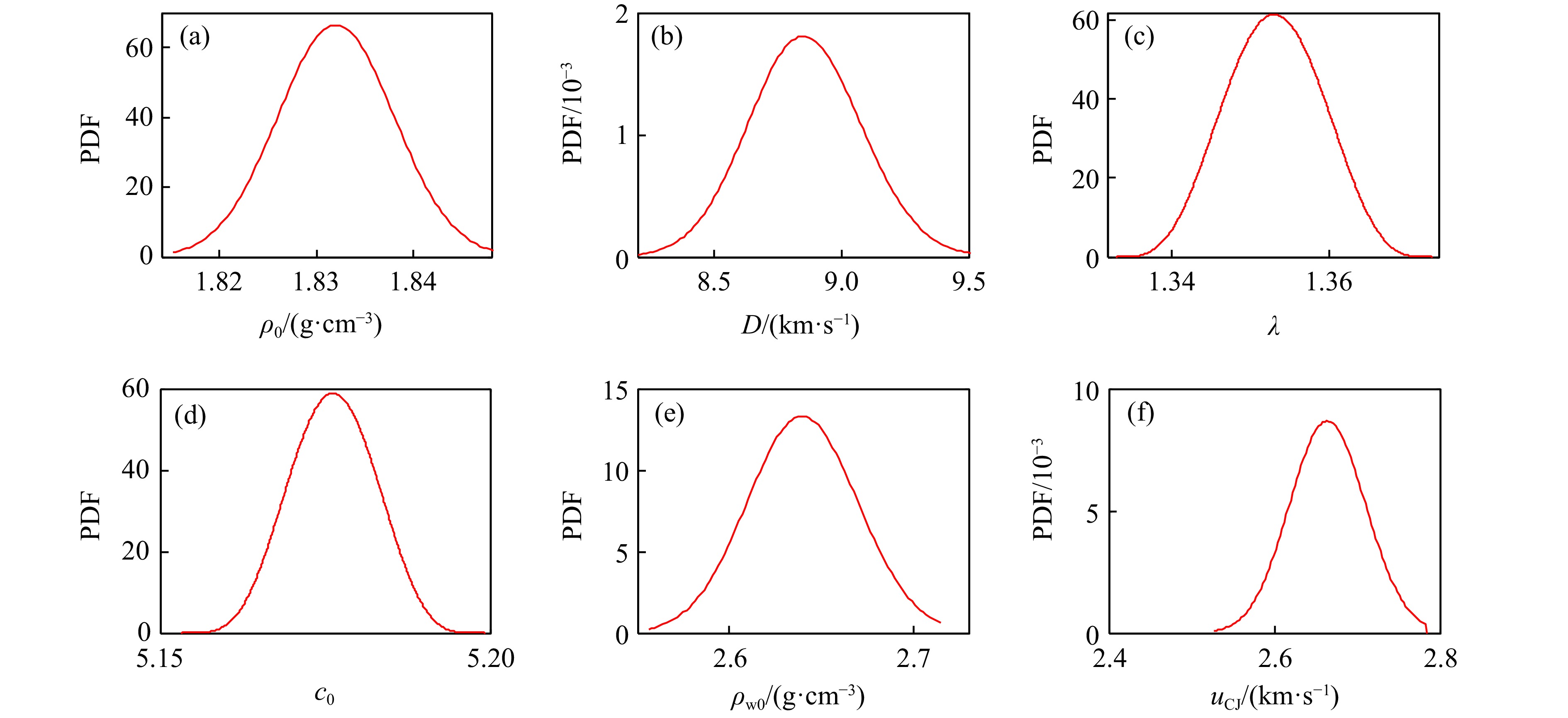
  • Uncertainty cannot be eliminated in the indirect calibration of the detonation pressure, and the predictability and credibility of the model can be enhanced through uncertainty quantification of the detonation pressure. However, the indirect calibration function of the detonation pressure exhibits complex nonlinearity coupled with multiple inputs, making the study of uncertainty propagation of detonation pressure prone to issues such as the “curse of dimensionality”. Active subspace is proven to be an effective tool for handling uncertainty quantification of the detonation pressure model. The specific steps are as follows: to begin with, the covariance matrix is derived based on gradient of the system response quantity (SRQ). Then an active variable is deduced through the Monte Carlo method, which is the direction whose perturbations produce the greatest change in SRQ. A single derived active subspace is used as the input uncertainty instead of the six parameters. The “curse of dimensionality” can be relieved in this case. Finally, a fourth-order polynomial response surface model is established based on a one-dimensional active variable. The results show that the effects of input uncertainty on SRQ are successfully characterized using the means of the active subspace technique. The test data fall within the confidence interval of the predicted values from the surrogate model, and the predictive capability of the detonation pressure model is validated. The study also reveals that there is a significant degree of dispersion in detonation pressure, which is consistent with the viewpoint of Prof. Chengwei Sun. Furthermore, a new detonation pressure model is constructed in this paper. This model is a composite operation between an affine transformation and a polynomial function. It retains the characteristic of a concise form, sufficient smoothness, strong robustness, and fast computation. The input of the model is a random variable rather than a fixed value, and the polynomial coefficients remain unchangeable when it confronts the variability of input uncertainty. The research is an extension and development of previous scholars. Moreover, the research methodology is systematic, which can be applied to detonation pressure prediction for other types of explosives.

     

  • loading
  • [1]
    孙承纬, 卫玉章, 周之奎. 应用爆轰物理 [M]. 北京: 国防工业出版社, 2000: 216–239.

    SUN C W, WEI Y Z, ZHOU Z K. Applied detonation physics [M]. Beijing: National Defense Industry Press, 2000: 216–239.
    [2]
    MADER C L. Numerical modeling of explosives and propellants [M]. 3rd ed. Boca Raton: CRC Press, 2008.
    [3]
    LIANG X, WANG R, GHANEM R. Uncertainty quantification of detonation through adapted polynomial chaos [J]. International Journal for Uncertainty Quantification, 2020, 10(1): 83–100. doi: 10.1615/Int.J.UncertaintyQuantification.2020030630
    [4]
    LIANG X, WANG R L. Verification and validation of detonation modeling [J]. Defence Technology, 2019, 15(3): 398–408. doi: 10.1016/j.dt.2018.11.005
    [5]
    梁霄, 王瑞利, 胡星志, 等. 基于多项式混沌方法对C-J爆轰参数不确定度的分析 [J]. 爆炸与冲击, 2023, 43(10): 104202. doi: 10.11883/bzycj-2023-0030

    LIANG X, WANG R L, HU X Z, et al. Uncertainty analysis of C-J detonation parameters based on polynomial chaos theory [J]. Explosion and Shock Waves, 2023, 43(10): 104202. doi: 10.11883/bzycj-2023-0030
    [6]
    舒俊翔, 裴红波, 黄文斌, 等. 几种常用炸药的爆压与爆轰反应区精密测量 [J]. 爆炸与冲击, 2022, 42(5): 052301. doi: 10.11883/bzycj-2021-0305

    SHU J X, PEI H B, HUANG W B, et al. Accurate measurements of detonation pressure and detonation reaction zones of several commonly-used explosives [J]. Explosion and Shock Waves, 2022, 42(5): 052301. doi: 10.11883/bzycj-2021-0305
    [7]
    赵万广, 周显明, 李加波, 等. LiF单晶的高压折射率及窗口速度的修正 [J]. 高压物理学报, 2014, 28(5): 571–576. doi: 10.11858/gywlxb.2014.05.010

    ZHAO W G, ZHOU X M, LI J B, et al. Refractive index of LiF single crystal at high pressure and its window correction [J]. Chinese Journal of High Pressure Physics, 2014, 28(5): 571–576. doi: 10.11858/gywlxb.2014.05.010
    [8]
    戴诚达, 王翔, 谭华. Hugoniot实验的粒子速度测量不确定度分析 [J]. 高压物理学报, 2005, 19(2): 113–119. doi: 10.11858/gywlxb.2005.02.003

    DAI C D, WANG X, TAN H. Evaluation for uncertainty of particle velocity in Hugoniot measurements [J]. Chinese Journal of High Pressure Physics, 2005, 19(2): 113–119. doi: 10.11858/gywlxb.2005.02.003
    [9]
    梁霄, 王瑞利. 基于冲击Hugoniot关系的爆压性质和不确定度量化 [J]. 兵工学报, 2024, 45(5): 1673–1680. doi: 10.12382/bgxb.2022.1207

    LIANG X, WANG R L. Property and uncertainty quantification of detonation pressure based on shock Hugoniot relationship [J]. Acta Armamentarii, 2024, 45(5): 1673–1680. doi: 10.12382/bgxb.2022.1207
    [10]
    WILKINS M L. Computer simulation of dynamic phenomena [M]. Berlin: Springer, 1999.
    [11]
    BENNER P, MEHRMANN V, SORENSEN D C. Dimension reduction of large-scale systems [M]. Berlin: Springer, 2005.
    [12]
    HUGHES K T, CHARONKO J J, PRESTRIDGE K P, et al. Proton radiography of explosively dispersed metal particles with varying volume fraction and varying carrier phase [J]. Shock Waves, 2021, 31(1): 75–88. doi: 10.1007/s00193-020-00983-8
    [13]
    CONSTANTINE P G, DOW E, WANG Q Q. Active subspace methods in theory and practice: applications to kriging surfaces [J]. SIAM Journal on Scientific Computing, 2014, 36(4): A1500–A1524. doi: 10.1137/130916138
    [14]
    CONSTANTINE P G. Active subspaces: emerging ideas for dimension reduction in parameter studies [M]. Philadelphia: Society for Industrial and Applied Mathematics, 2015: 21–88.
    [15]
    CONSTANTINE P G, EMORY M, LARSSON J, et al. Exploiting active subspaces to quantify uncertainty in the numerical simulation of the HyShot Ⅱ scramjet [J]. Journal of Computational Physics, 2015, 302: 1–20. doi: 10.1016/j.jcp.2015.09.001
    [16]
    WEI J L, AN J, ZHANG Q, et al. Exploiting active subspaces for geometric optimization of cavity-stabilized supersonic flames [J]. AIAA Journal, 2023, 61(8): 3353–3364. doi: 10.2514/1.J062748
    [17]
    CORTESI A F, CONSTANTINE P G, MAGIN T E, et al. Forward and backward uncertainty quantification with active subspaces: application to hypersonic flows around a cylinder [J]. Journal of Computational Physics, 2020, 407: 109079. doi: 10.1016/j.jcp.2019.109079
    [18]
    KIM J, WANG Z Q, SONG J. Adaptive active subspace-based metamodeling for high-dimensional reliability analysis [J]. Structural Safety, 2024, 106: 102404. doi: 10.1016/j.strusafe.2023.102404
    [19]
    GREY Z J, CONSTANTINE P G. Active subspaces of airfoil shape parameterizations [J]. AIAA Journal, 2018, 56(5): 2003–2017. doi: 10.2514/1.J056054
    [20]
    HU X Z, CHEN X Q, LATTARULO V, et al. Multidisciplinary optimization under high-dimensional uncertainty for small satellite system design [J]. AIAA Journal, 2016, 54(5): 1732–1741. doi: 10.2514/1.J054627
    [21]
    胡星志. 活跃子空间降维不确定性设计优化方法及其航天应用 [M]. 北京: 中国宇航出版社, 2023.

    HU X Z. Uncertainty-based design optimization approach and aerospace application with active subspace dimension reduction [M]. Beijing: China Astronautic Publishing House, 2023.
    [22]
    王娜娜, 解青, 苏星宇, 等. 湍流燃烧机理和调控的活性子空间分析方法 [J]. 航空学报, 2021, 42(12): 625228. doi: 10.7527/S1000-6893.2021.25228

    WANG N N, XIE Q, SU X Y, et al. Active subspace methods for analysis and optimization of turbulent combustion [J]. Acta Aeronautica et Astronautica Sinica, 2021, 42(12): 625228. doi: 10.7527/S1000-6893.2021.25228
  • 加载中

Catalog

    通讯作者: 陈斌, bchen63@163.com
    • 1. 

      沈阳化工大学材料科学与工程学院 沈阳 110142

    1. 本站搜索
    2. 百度学术搜索
    3. 万方数据库搜索
    4. CNKI搜索

    Figures(6)  / Tables(1)

    Article Metrics

    Article views(757) PDF downloads(42) Cited by()
    Proportional views
    Related
    

    /

    DownLoad:  Full-Size Img  PowerPoint
    Return
    Return