Volume 39 Issue 2
Apr 2025
Turn off MathJax
Article Contents
HAN Tifei, JIANG Xin, ZHU Yanyu, WANG Meng, LIU Sai, CHEN Kaiqiang, HOU Bowen. Ignition Characteristic of Bridgewire Electric Ignition Element in Limited Space[J]. Chinese Journal of High Pressure Physics, 2025, 39(2): 025102. doi: 10.11858/gywlxb.20240847
Citation: HAN Tifei, JIANG Xin, ZHU Yanyu, WANG Meng, LIU Sai, CHEN Kaiqiang, HOU Bowen. Ignition Characteristic of Bridgewire Electric Ignition Element in Limited Space[J]. Chinese Journal of High Pressure Physics, 2025, 39(2): 025102. doi: 10.11858/gywlxb.20240847

Ignition Characteristic of Bridgewire Electric Ignition Element in Limited Space

doi: 10.11858/gywlxb.20240847
  • Received Date: 08 Jul 2024
  • Rev Recd Date: 20 Aug 2024
  • Accepted Date: 24 Sep 2024
  • Available Online: 07 Nov 2024
  • Issue Publish Date: 03 Apr 2025
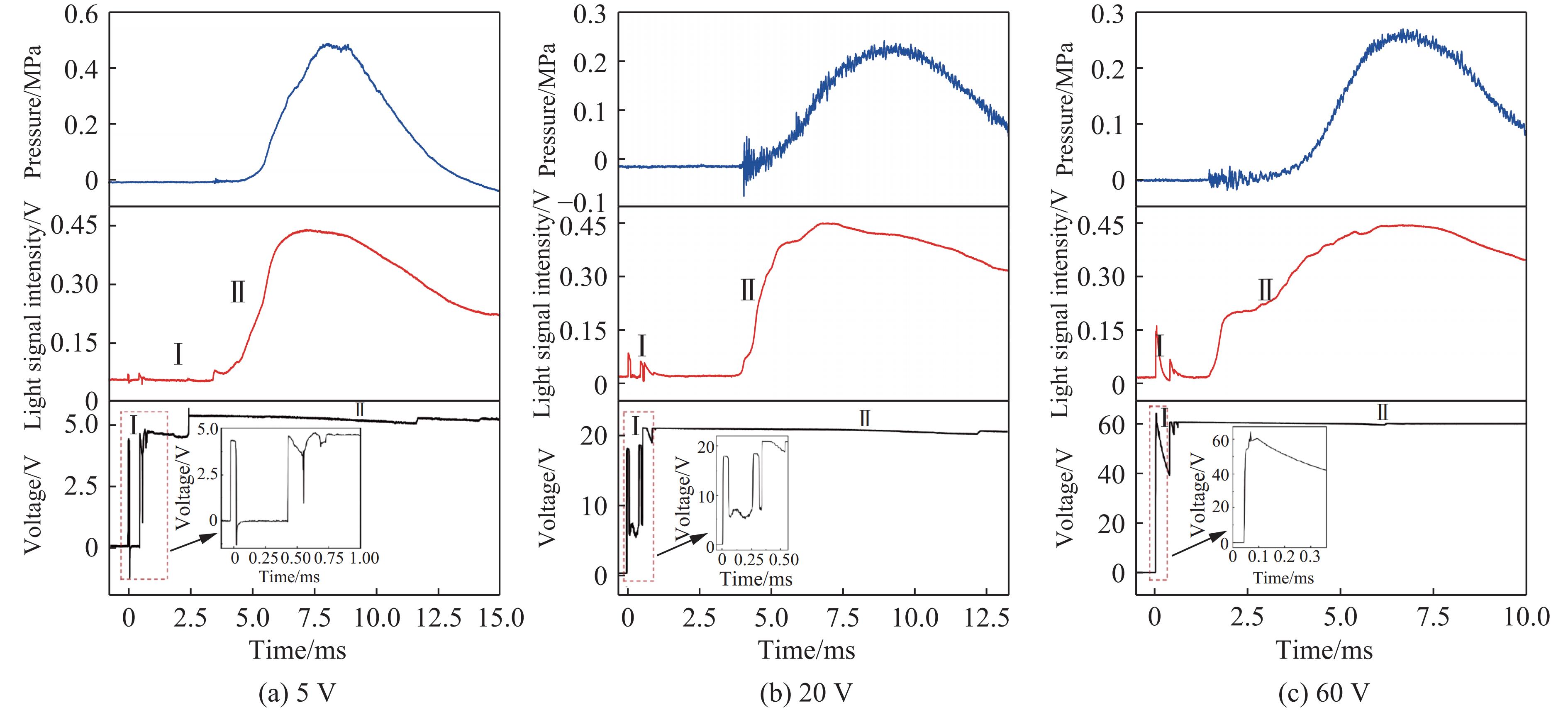
  • As a common ignition element, the ignition characteristic in limited space of a bridgewire electric ignition element (EIE) is the internal embodiment of its precision and reliability as an explosion-transfer sequence. The limited space environment of bridgewire electric fusehead ignition is simulated by preparing test samples and the test system of the ignition parameter is designed to test the time structure of the ignition process, the gas pressure, ignition light intensity and other parameters in limited space; using the high-speed camera to test the dynamic ignition process of the EIE, a physical model of ignition in the limited space of EIE is established. The research shows that with the increase of the ignition voltage, the phase transition time of the bridgewire is shortened, the duration of the plasma stage increases, and then tends to stabilize. The ignition time of the electric fusehead fluctuates at about 5.6 ms, and the ignition pressure time and the ignition light intensity time are maintained in the 3.0–5.0 ms range. After the ignition voltage reaches 20 V, the ignition characteristic parameters tend to be stable, and it can reliably output uniform ignition energy for igniting the next sequence of charging. In the limited space of the air chamber, the dynamic process of EIE can be divided into four stages: bridgewire heating up and heating fusehead agent, fusehead agent ignition, heat flow diffusion and shock wave reflection.

     

  • loading
  • [1]
    成一, 陈守文. 电点火头发火过程的时间结构的研究 [J]. 爆破器材, 2001, 30(5): 22–24.

    CHENG Y, CHEN S W. Study on the time structure of electric ignition process in fuse head [J]. Explosive Materials, 2001, 30(5): 22–24.
    [2]
    王鹏, 杜志明. 桥丝式电火工品热点火理论 [J]. 火工品, 2007(4): 26–30.

    WANG P, DU Z M. Thermal ignition theory of electric hot wire initiating devices [J]. Initiators & Pyrotechnics, 2007(4): 26–30.
    [3]
    高文乐, 周奥博, 朱常胜, 等. 电流对灼热桥丝式电雷管点火头发火时间的影响 [J]. 爆破器材, 2017, 46(1): 34–37.

    GAO W L, ZHOU A B, ZHU C S, et al. Effect of current intensity on the ignition time of hot bridge-wire electric fusehead [J]. Explosive Materials, 2017, 46(1): 34–37.
    [4]
    孙金梦, 卫延安, 武寿昌. 灼热桥丝式电点火药头的发火时间变化规律研究 [J]. 爆破器材, 2022, 51(6): 27–31.

    SUN J M, WEI Y A, WU S C, et al. Ignition time variation of hot bridge-wire electric fusehead [J]. Explosive Materials, 2022, 51(6): 27–31.
    [5]
    LEE A E, DRAKE C R, RICHARDSON J. A view on the functioning mechanism of EBW detonators―part 1: electrical characterisation [J]. Journal of Physics: Conference Series, 2014, 500(19): 192008. doi: 10.1088/1742-6596/500/19/192008
    [6]
    LEE A E, DRAKE C R, RICHARDSON J. A view on the functioning mechanism of EBW detonators―part 2: bridgewire output [J]. Journal of Physics: Conference Series, 2014, 500(5): 052024. doi: 10.1088/1742-6596/500/5/052024
    [7]
    LEE A E, DRAKE C R, RICHARDSON J. A view on the functioning mechanism of EBW detonators―part 3: explosive initiation characterisation [J]. Journal of Physics: Conference Series, 2014, 500(18): 182023. doi: 10.1088/1742-6596/500/18/182023
    [8]
    SMILOWITZ L, HENSON B F, REMELIUS D, et al. Experimental observations of exploding bridgewire detonator function [J]. Journal of Applied Physics, 2020, 128(21): 215901. doi: 10.1063/5.0021288
    [9]
    VALANCIUS C J, GARASI C J, O’MALLEY P D. Power and energy of exploding wires [J]. AIP Conference Proceedings, 2017, 1793(1): 040040.
    [10]
    李涛, 傅华, 谭多望, 等. 金属桥丝电爆炸及飞片驱动过程的计算 [J]. 爆炸与冲击, 2010, 30(1): 70–74.

    LI T, FU H, TAN D W, et al. Calculation of metal bridge foil electric explosion and flying blade driving process [J]. Explosion and Shock Waves, 2010, 30(1): 70–74.
    [11]
    王窈, 孙秀娟, 郭菲, 等. Al/Ni 爆炸箔电爆特性及驱动飞片能力研究 [J]. 火工品, 2016(3): 5–8.

    WANG Y, SUN X J, GUO F, et al. Study on electrical characteristic and flyer driven ability of Al/Ni exploding foil [J]. Initiators & Pyrotechnics, 2016(3): 5–8.
    [12]
    ZENG Q X, et al. Mechanism and characteristics on the electric explosion of Al/Ni reactive multilayer foils [J]. Applied Physics Letters, 2019, 115(9): 93–102.
    [13]
    赵丽君, 易涛, 朱宏娜, 等. 桥丝电爆炸过程中的电磁脉冲效应 [J]. 含能材料, 2019, 27(6): 481–486.

    ZHAO L J, YI T, ZHU H N, et al. Electromagnetic pulse effect during the bridge wire electric explosion [J]. Chinese Journal of Energetic Materials, 2019, 27(6): 481–486.
    [14]
    王伯羲, 冯增国, 杨荣杰. 火药燃烧理论 [M]. 北京: 北京理工大学出版社, 1997.

    WANG B X, FENG Z G, YANG R J. The theory of gunpowder combustion [M]. Beijing: Beijing Institute of Technology Press, 1997.
    [15]
    李志鹏, 张攀军, 吕子剑, 等. 爆炸桥丝火工品的高压静电放电响应 [J]. 含能材料, 2015, 23(6): 578–582.

    LI Z P, ZHANG P J, LYU Z J, et al. Response to high voltage electrostatic discharge for exploding bridgewire detonators [J]. Chinese Journal of Energetic Materials, 2015, 23(6): 578–582.
  • 加载中

Catalog

    通讯作者: 陈斌, bchen63@163.com
    • 1. 

      沈阳化工大学材料科学与工程学院 沈阳 110142

    1. 本站搜索
    2. 百度学术搜索
    3. 万方数据库搜索
    4. CNKI搜索

    Figures(7)  / Tables(1)

    Article Metrics

    Article views(857) PDF downloads(61) Cited by()
    Proportional views
    Related
    

    /

    DownLoad:  Full-Size Img  PowerPoint
    Return
    Return