2024 Vol. 38, No. 3
Display Method:
2024, 38(3): 030101.
doi: 10.11858/gywlxb.20240770
Abstract:
2024, 38(3): 030102.
doi: 10.11858/gywlxb.20240742
Abstract:
2024, 38(3): 030103.
doi: 10.11858/gywlxb.20230756
Abstract:
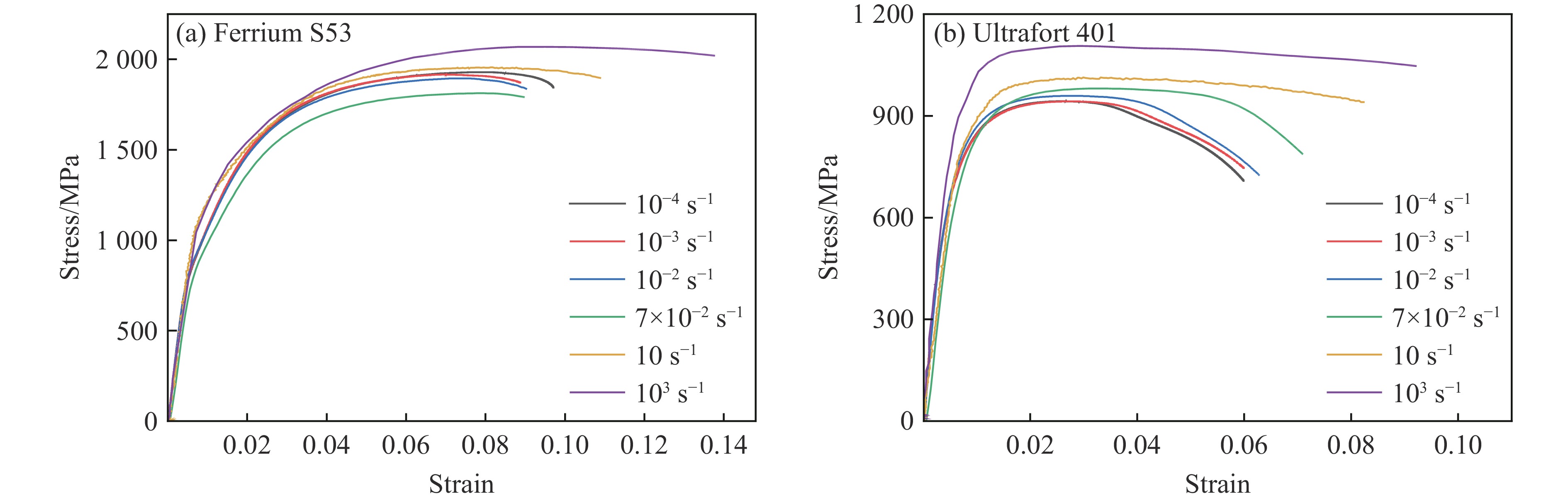
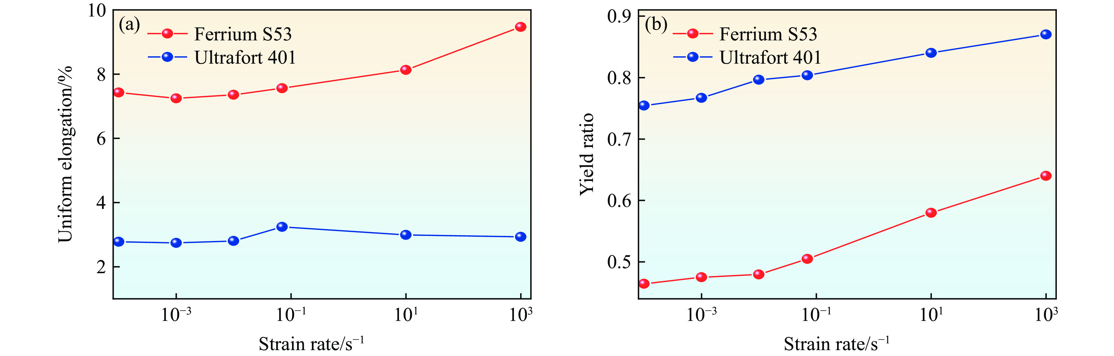
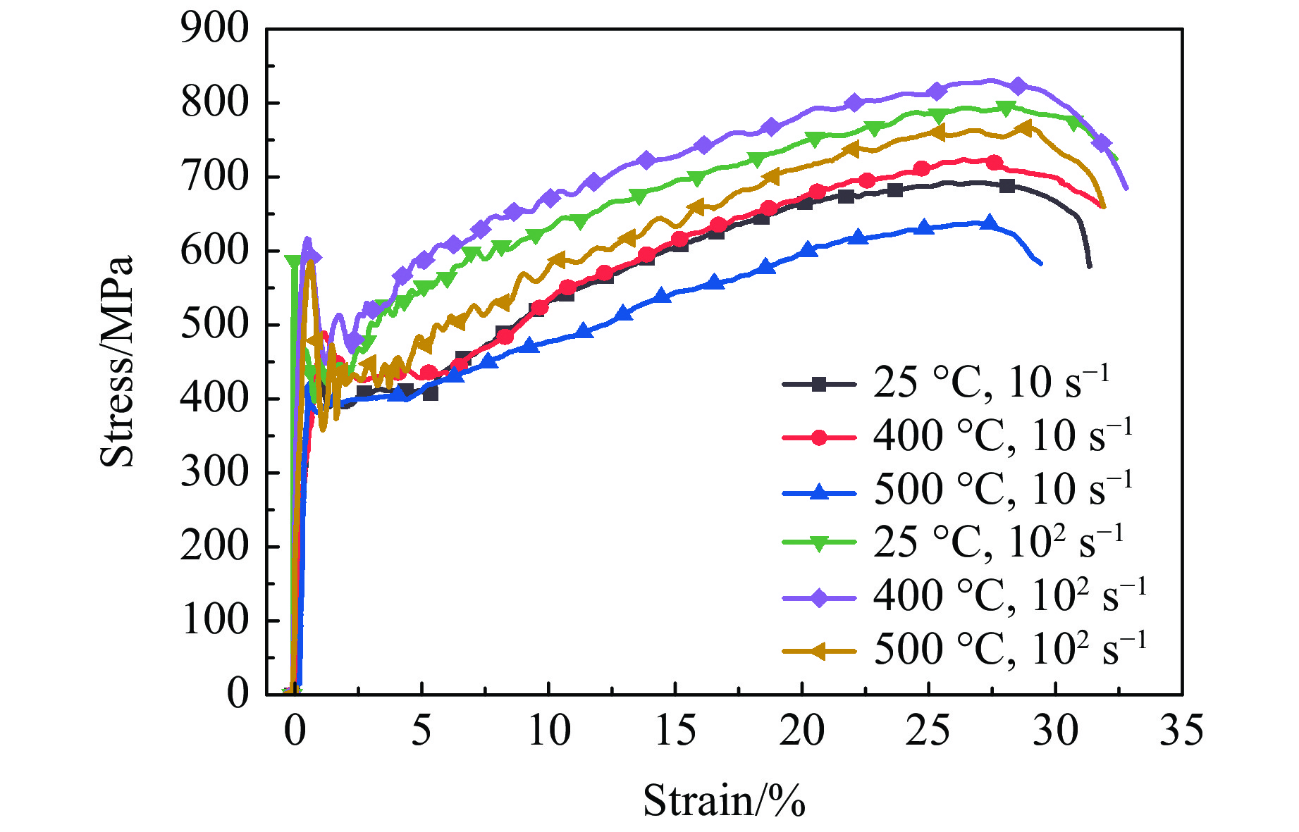
Tensile Behavior and Mechanical Performance Analysis of High-Strength Steels at Varying Strain Rates
2024, 38(3): 030104.
doi: 10.11858/gywlxb.20240702
Abstract:
2024, 38(3): 030105.
doi: 10.11858/gywlxb.20230780
Abstract:
2024, 38(3): 030106.
doi: 10.11858/gywlxb.20240786
Abstract:
2024, 38(3): 030107.
doi: 10.11858/gywlxb.20240765
Abstract:
2024, 38(3): 030108.
doi: 10.11858/gywlxb.20240709
Abstract:
2024, 38(3): 030109.
doi: 10.11858/gywlxb.20230787
Abstract:
2024, 38(3): 030110.
doi: 10.11858/gywlxb.20230804
Abstract:
2024, 38(3): 030111.
doi: 10.11858/gywlxb.20230790
Abstract:
2024, 38(3): 030201.
doi: 10.11858/gywlxb.20230807
Abstract:
2024, 38(3): 030202.
doi: 10.11858/gywlxb.20240707
Abstract:
2024, 38(3): 034101.
doi: 10.11858/gywlxb.20230813
Abstract:
Numerical Investigation on Damage and Failure of UHPC Targets Subjected to Dislocation Multi-Attacks
2024, 38(3): 034201.
doi: 10.11858/gywlxb.20230834
Abstract:
2024, 38(3): 035201.
doi: 10.11858/gywlxb.20230824
Abstract:
2024, 38(3): 035202.
doi: 10.11858/gywlxb.20230776
Abstract:
2024, 38(3): 035301.
doi: 10.11858/gywlxb.20230837
Abstract:

PDF
Cited by
HTML












