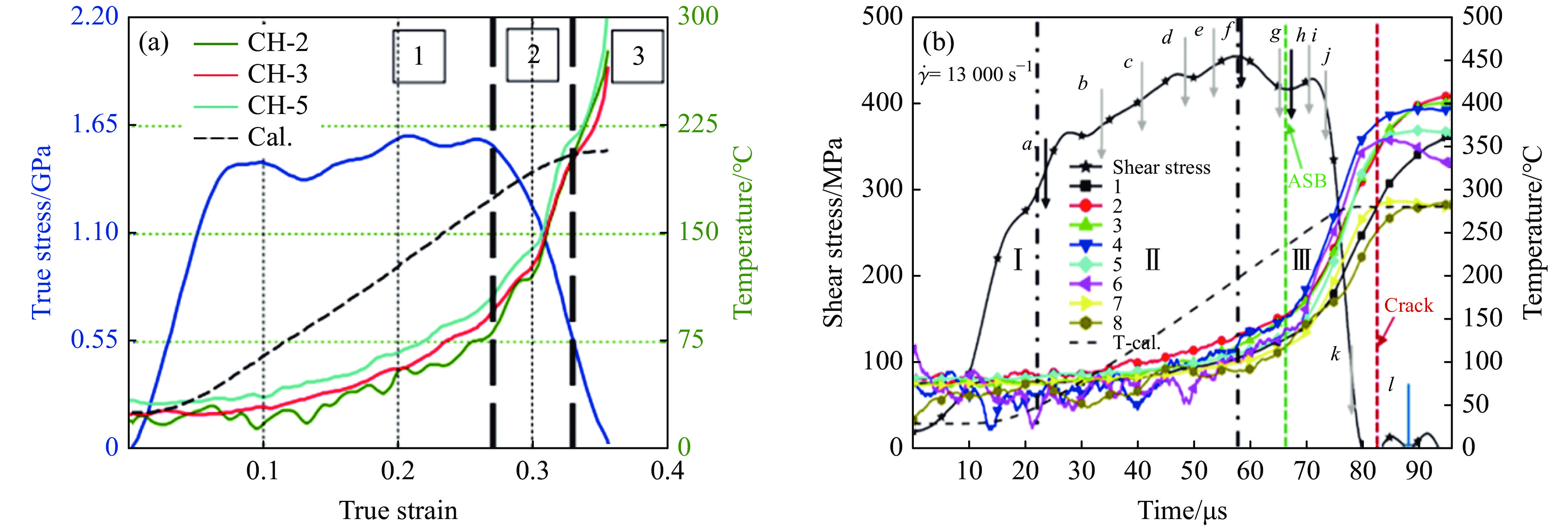
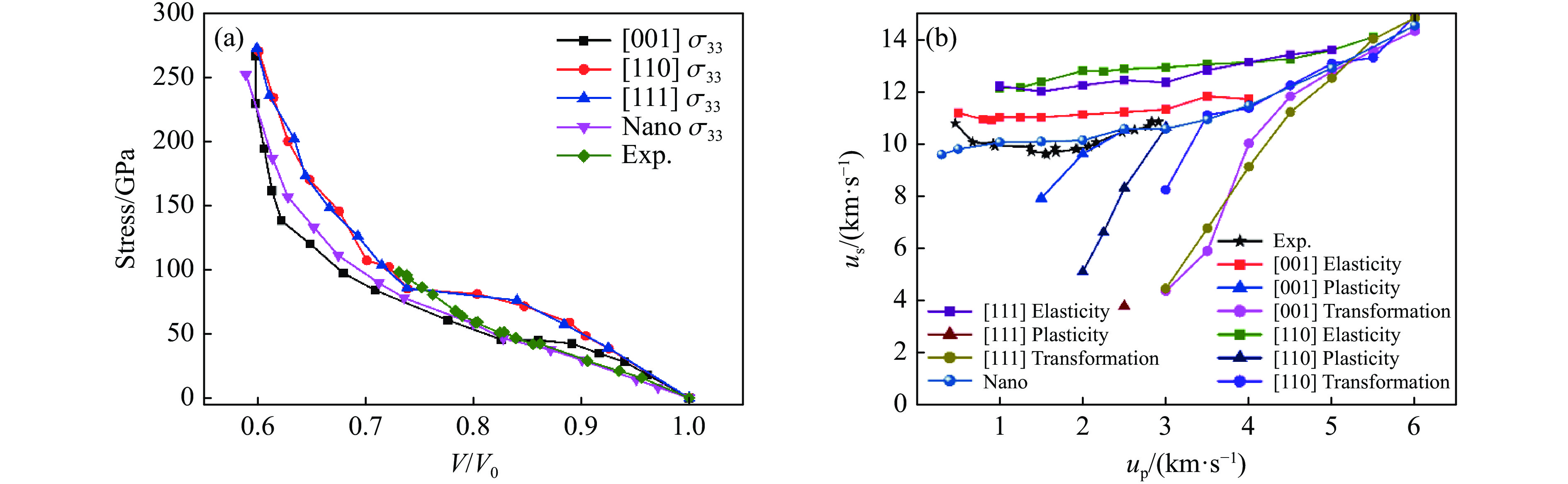
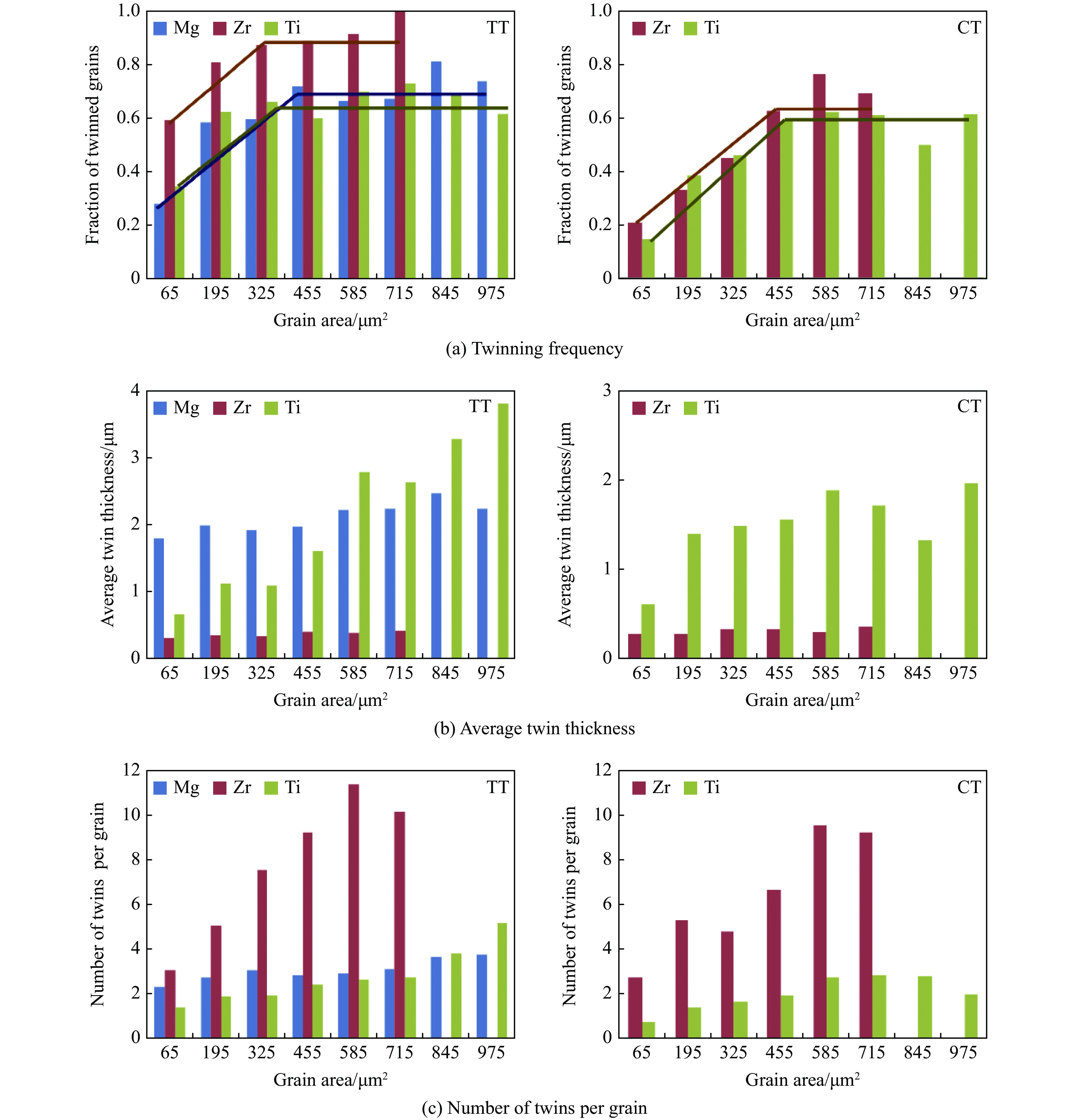
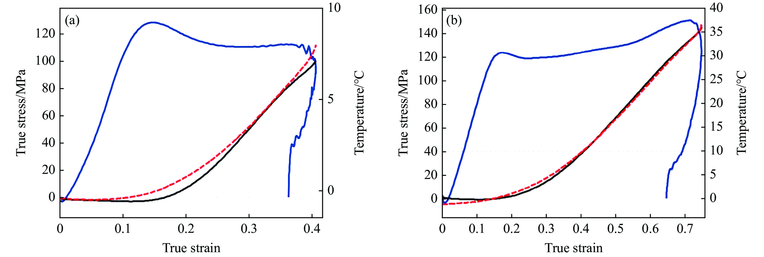
2021 Vol. 35, No. 4
Display Method:
2021, 35(4): 040101.
doi: 10.11858/gywlxb.20210747
Abstract:
2021, 35(4): 040102.
doi: 10.11858/gywlxb.20210760
Abstract:
2021, 35(4): 040103.
doi: 10.11858/gywlxb.20210783
Abstract:
2021, 35(4): 040104.
doi: 10.11858/gywlxb.20200648
Abstract:
2021, 35(4): 040105.
doi: 10.11858/gywlxb.20200662
Abstract:
2021, 35(4): 040106.
doi: 10.11858/gywlxb.20210728
Abstract:
2021, 35(4): 040107.
doi: 10.11858/gywlxb.20210769
Abstract:
2021, 35(4): 040108.
doi: 10.11858/gywlxb.20210719
Abstract:
2021, 35(4): 040109.
doi: 10.11858/gywlxb.20210772
Abstract:
2021, 35(4): 040110.
doi: 10.11858/gywlxb.20210729
Abstract:

HTML
PDF
Cited by









