2015 Vol. 29, No. 2
2015, 29(2): 81-94.
doi: 10.11858/gywlxb.2015.02.001
Abstract:
2015, 29(2): 95-98.
doi: 10.11858/gywlxb.2015.02.002
Abstract:
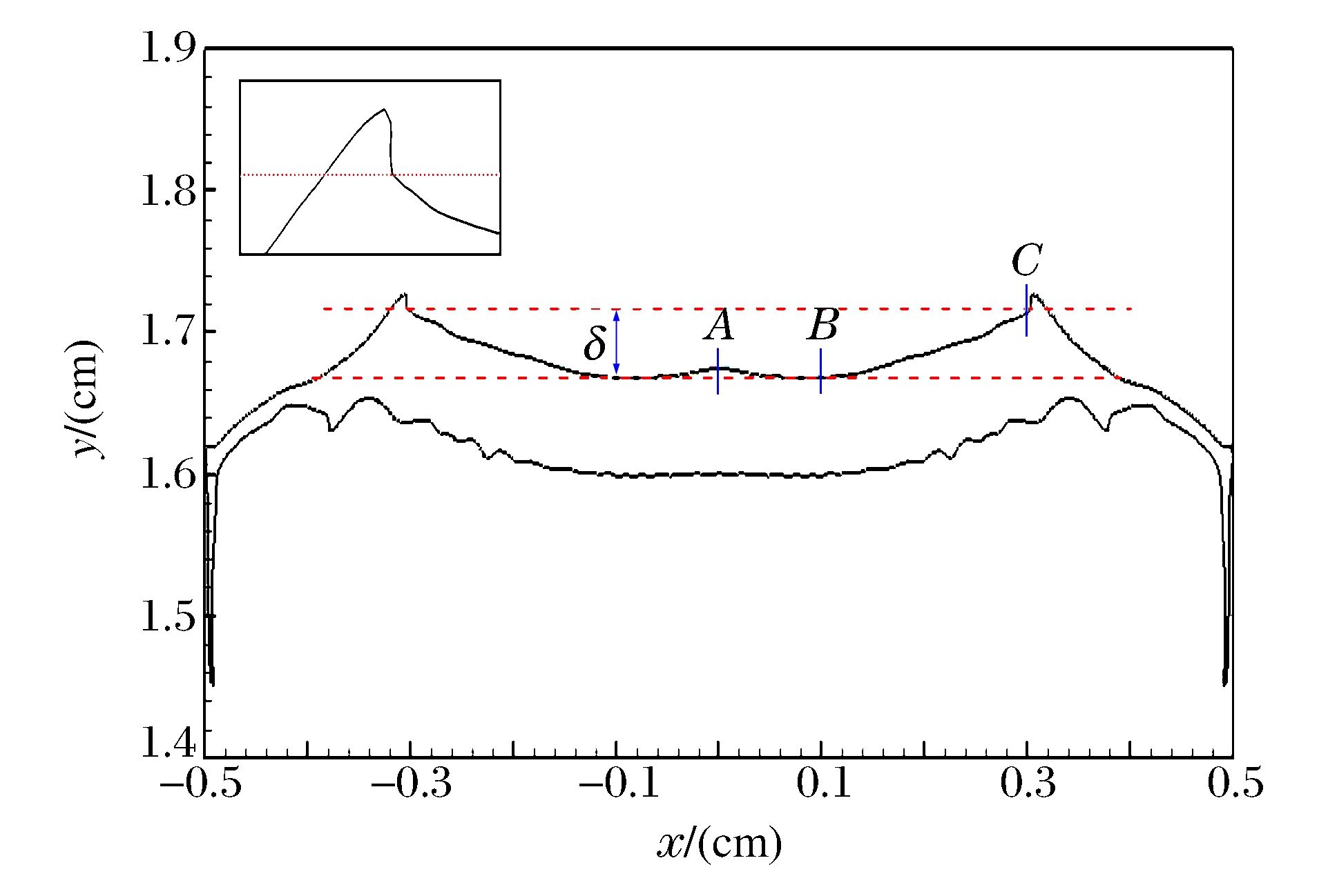
2015, 29(2): 109-116.
doi: 10.11858/gywlxb.2015.02.004
Abstract:
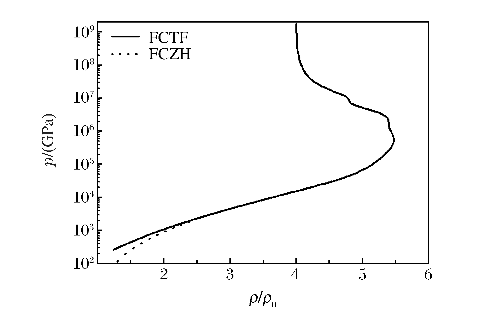
2015, 29(2): 117-122.
doi: 10.11858/gywlxb.2015.02.005
Abstract:
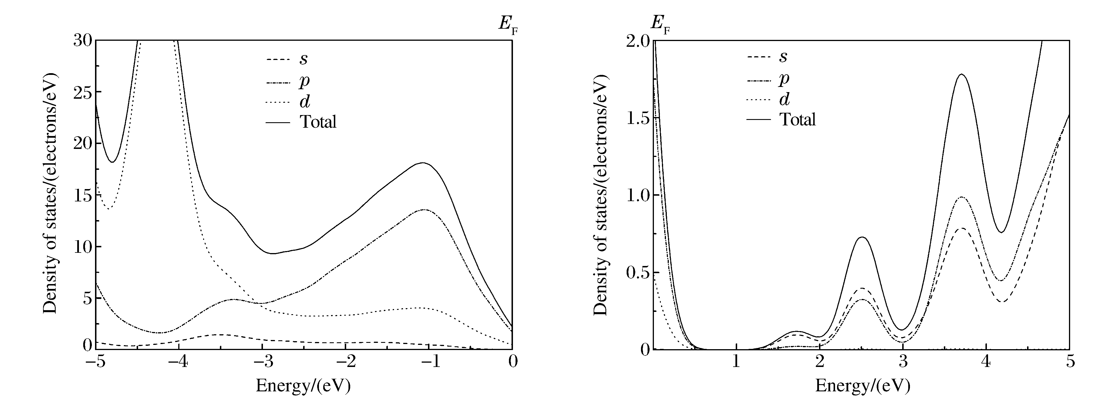
2015, 29(2): 123-128.
doi: 10.11858/gywlxb.2015.02.006
Abstract:
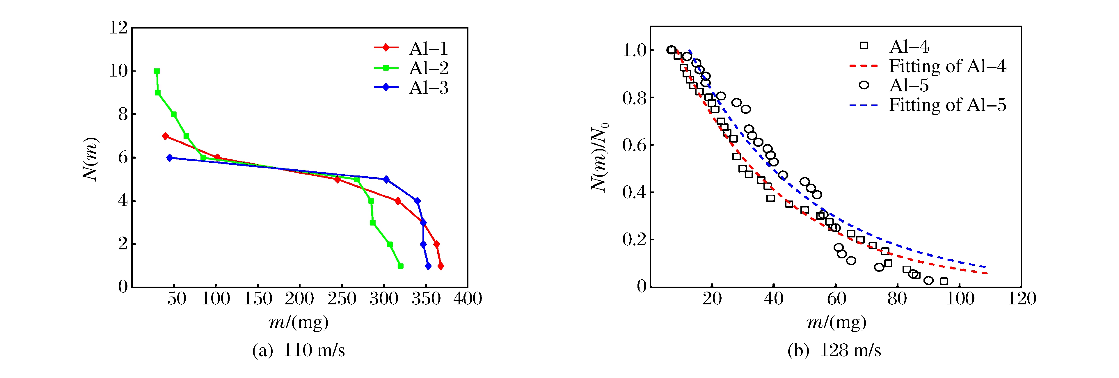
2015, 29(2): 129-135.
doi: 10.11858/gywlxb.2015.02.007
Abstract:
2015, 29(2): 136-142.
doi: 10.11858/gywlxb.2015.02.008
Abstract:
2015, 29(2): 143-148.
doi: 10.11858/gywlxb.2015.02.009
Abstract:
2015, 29(2): 149-154.
doi: 10.11858/gywlxb.2015.02.010
Abstract:
2015, 29(2): 155-160.
doi: 10.11858/gywlxb.2015.02.011
Abstract:

HTML
PDF
Cited by








