Measurement Principle of Modulated Magnetic Susceptibility in Diamond Anvil
-
摘要: 超导电性以零电阻行为和迈斯纳效应作为2个核心判据。在金刚石压砧所形成的高压环境下,样品尺寸仅数十微米,且空间受限,其磁性测量一直是高压研究中的难点。基于金刚石压砧进行高压下的磁性测量大致可以分为4种不同的方法,其中,使用实验室自制的多匝数微型线圈和2台串联锁相放大器的调制磁化率测量因测量原理未被很好地理解,导致以往的研究中常出现自相矛盾的实验结果。为此,从实验构型和法拉第电磁感应定律出发,重新推导了超导样品的抗磁转变在一级和二级锁相放大器上信号大小的表达式,得到了引入调制磁场之后信号放大幅度的表达式,深入理解了调制磁化率的测量原理,指出了以往文献中可能存在的问题。Abstract: Superconductivity is defined by two fundamental criteria: zero electrical resistance and the Meissner effect. However, measuring the magnetic properties of samples under high pressure in diamond anvil cells—where sample sizes are limited to tens of micrometers and confined spatially—has long been a challenging task in high-pressure research. Magnetic measurements under high pressure using diamond anvil cells can generally be classified into four distinct methods. Among these, the modulated magnetic susceptibility measurement, which employs laboratory-fabricated multi-turn micro-coils and two lock-in amplifiers connected in series, has often yielded contradictory experimental results in the literature due to an insufficient understanding of its underlying measurement principles. In this work, starting from the experimental configuration and Faraday’s law of electromagnetic induction, we re-derive the expressions for the signal magnitude of the superconducting diamagnetic transition registered on the primary and secondary lock-in amplifiers. We obtain an expression for the signal amplification introduced by the modulated magnetic field, thereby clarifying the measurement principle of modulated magnetic susceptibility and identifying potential issues in previous studies.
-
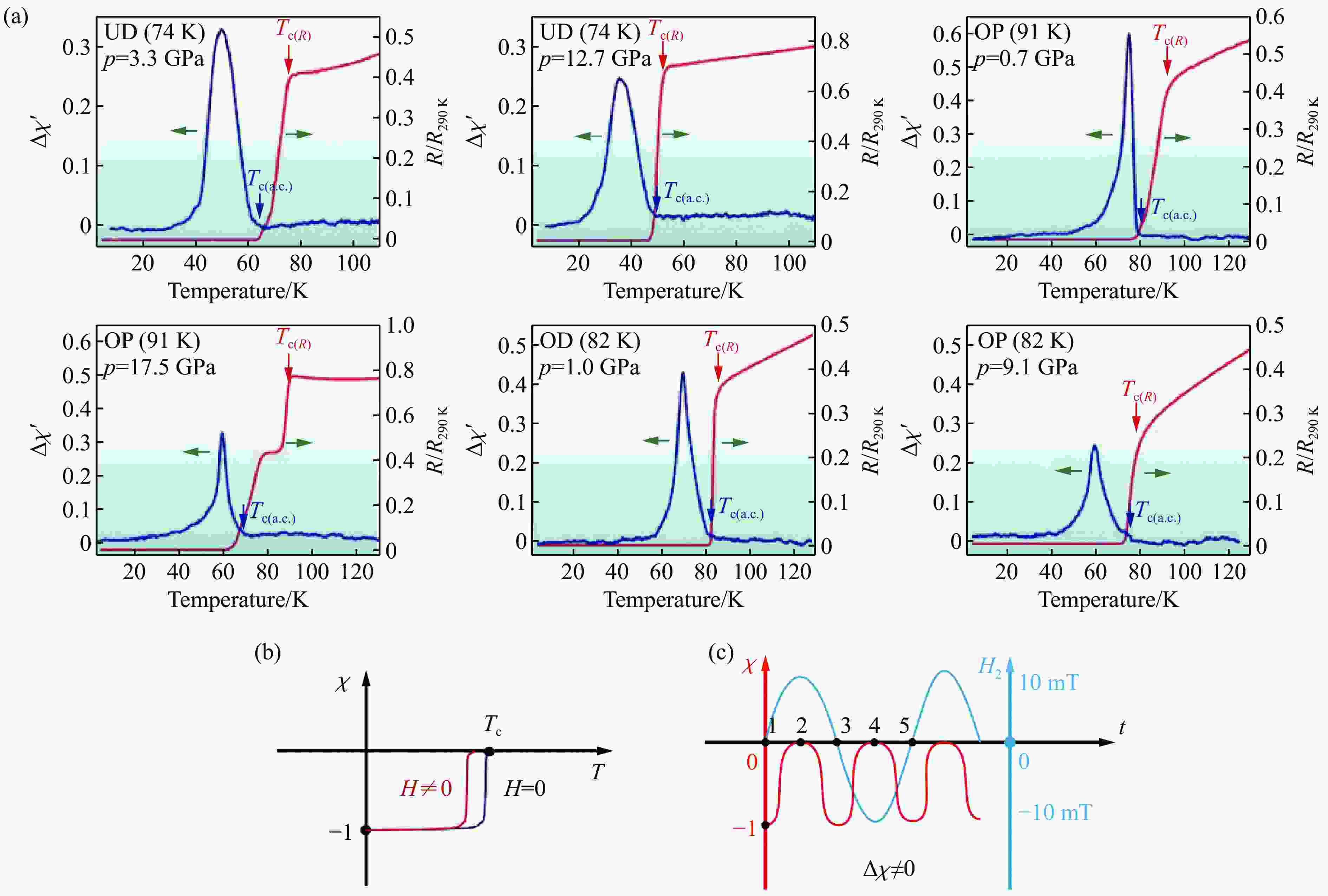
图 2 (a) 典型铜氧化物超导体的调制磁化率实验数据,(b) 有、无外场存在时磁化率随温度的变化曲线,(c) 温度低于Tc时磁化率χ随调制磁场H2的变化曲线[16]
Figure 2. (a) Typical modulated magnetic susceptibility data for a cuprate superconductor; (b) temperature dependence of susceptibility with and without an external magnetic field; (c) variation curve of the magnetic susceptibility χ with the modulation field H2 when the temperature is below Tc[16]
-
[1] MINKOV V S, KSENOFONTOV V, BUD’KO S L, et al. Magnetic flux trapping in hydrogen-rich high-temperature superconductors [J]. Nature Physics, 2023, 19(9): 1293–1300. doi: 10.1038/s41567-023-02089-1 [2] DROZDOV A P, KONG P P, MINKOV V S, et al. Superconductivity at 250 K in lanthanum hydride under high pressures [J]. Nature, 2019, 569(7757): 528–531. doi: 10.1038/s41586-019-1201-8 [3] MINKOV V S, BUD’KO S L, BALAKIREV F F, et al. Magnetic field screening in hydrogen-rich high-temperature superconductors [J]. Nature Communications, 2022, 13(1): 3194. doi: 10.1038/s41467-022-30782-x [4] ZHU Y H, PENG D, ZHANG E K, et al. Superconductivity in pressurized trilayer La4Ni3O10–δ single crystals [J]. Nature, 2024, 631(8021): 531–536. doi: 10.1038/s41586-024-07553-3 [5] LI J Y, PENG D, MA P Y, et al. Identification of superconductivity in bilayer nickelate La3Ni2O7 under high pressure up to 100 GPa [J]. National Science Review, 2025, 12(10): nwaf220. doi: 10.1093/nsr/nwaf220 [6] LI F Y, XING Z F, PENG D, et al. Bulk superconductivity up to 96 K in pressurized nickelate single crystals [J]. Nature, 2026, 649(8098): 871–878. doi: 10.1038/s41586-025-09954-4 [7] MANDYAM S V, WANG E, WANG Z, et al. Uncovering origins of heterogeneous superconductivity in La3Ni2O7 [J]. Nature, 2026, 651(8104): 54–60. doi: 10.1038/s41586-025-10095-x [8] BHATTACHARYYA P, CHEN W, HUANG X, et al. Imaging the Meissner effect in hydride superconductors using quantum sensors [J]. Nature, 2024, 627(8002): 73–79. doi: 10.1038/s41586-024-07026-7 [9] LIU L, GUO J N, HU D Y, et al. Evidence for the Meissner effect in the nickelate superconductor La3Ni2O7–δ single crystal using diamond quantum sensors [J]. Physical Review Letters, 2025, 135(9): 096001. doi: 10.1103/yvj7-htb4 [10] ISHIZUKA M, ENDO S. Measurements of superconducting transitions at pressures up to 83 GPa [J]. Physica B: Condensed Matter, 1999, 265(1): 254–257. doi: 10.1016/S0921-4526(98)01389-1 [11] ISHIZUKA M, AMAYA K, ENDO S. Precise magnetization measurements under high pressures in the diamond-anvil cell [J]. Review of Scientific Instruments, 1995, 66(5): 3307–3310. doi: 10.1063/1.1145499 [12] YAMADA J, IRIE K, MITO M, et al. Development of SQUID–VCM magnetic measurement system for pressure experiment [J]. Journal of Magnetism and Magnetic Materials, 2007, 310(2): 2734–2736. doi: 10.1016/j.jmmm.2006.10.966 [13] STRUZHKIN V, LI B, JI C, et al. Superconductivity in La and Y hydrides: remaining questions to experiment and theory [J]. Matter and Radiation at Extremes, 2020, 5(2): 028201. doi: 10.1063/1.5128736 [14] STRUZHKIN V V, HEMLEY R J, MAO H K, et al. Superconductivity at 10–17 K in compressed sulphur [J]. Nature, 1997, 390(6658): 382–384. doi: 10.1038/37074 [15] GUO J, ZHOU Y Z, HUANG C, et al. Crossover from two-dimensional to three-dimensional superconducting states in bismuth-based cuprate superconductor [J]. Nature Physics, 2020, 16(3): 295–300. doi: 10.1038/s41567-019-0740-0 [16] ZHOU Y Z, GUO J, CAI S, et al. Quantum phase transition from superconducting to insulating-like state in a pressurized cuprate superconductor [J]. Nature Physics, 2022, 18(4): 406–410. doi: 10.1038/s41567-022-01513-2 [17] CHEN X J, STRUZHKIN V V, YU Y, et al. Enhancement of superconductivity by pressure-driven competition in electronic order [J]. Nature, 2010, 466(7309): 950–953. doi: 10.1038/nature09293 [18] DENG L Z, ZHENG Y P, WU Z, et al. Higher superconducting transition temperature by breaking the universal pressure relation [J]. Proceedings of the National Academy of Sciences of the United States of America, 2019, 116(6): 2004–2008. doi: 10.1073/pnas.1819512116 [19] Stanford Research Systems. Dual-phase analog lock-in amplifier: SR2124 [R]. Sunnyvale: Stanford Research Systems, 2017. [20] ZHOU Y Z, GUO J, CAI S, et al. Investigations of key issues on the reproducibility of high-Tc superconductivity emerging from compressed La3Ni2O7 [J]. Matter and Radiation at Extremes, 2025, 10(2): 027801. doi: 10.1063/5.0247684 [21] XIN J, GAVRILIUK A G, HU J W, et al. Lattice effect on the superexchange interaction in antiferromagnetic Bi2.1Sr1.9CaCu2O8+δ [J]. The Journal of Physical Chemistry C, 2024, 128(17): 7223–7234. doi: 10.1021/acs.jpcc.3c08244 -

下载: