Energy Consumption Characteristics and Dynamic Damage Constitutive Model of Gas-Bearing Coal under Dynamic Loading
-
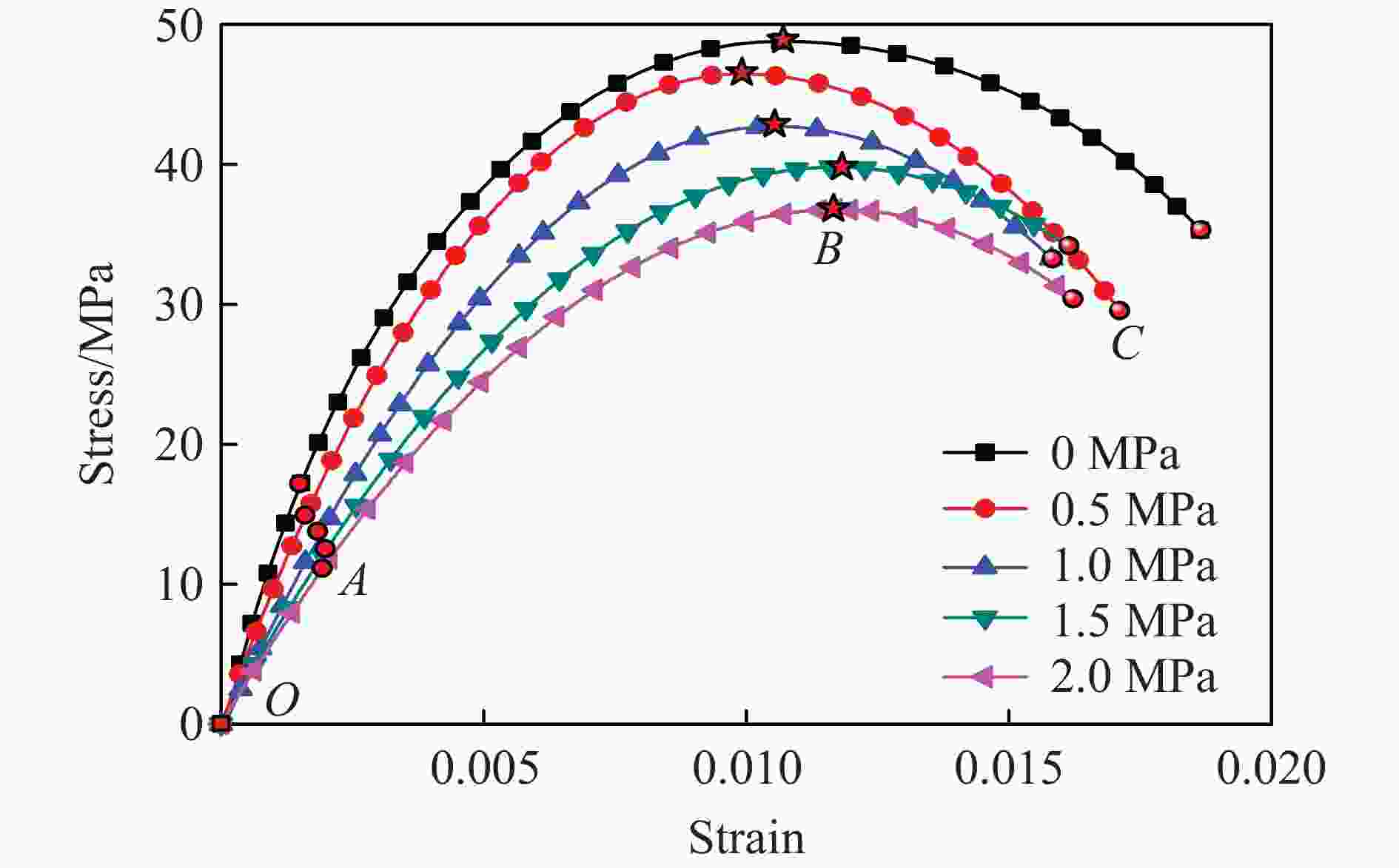
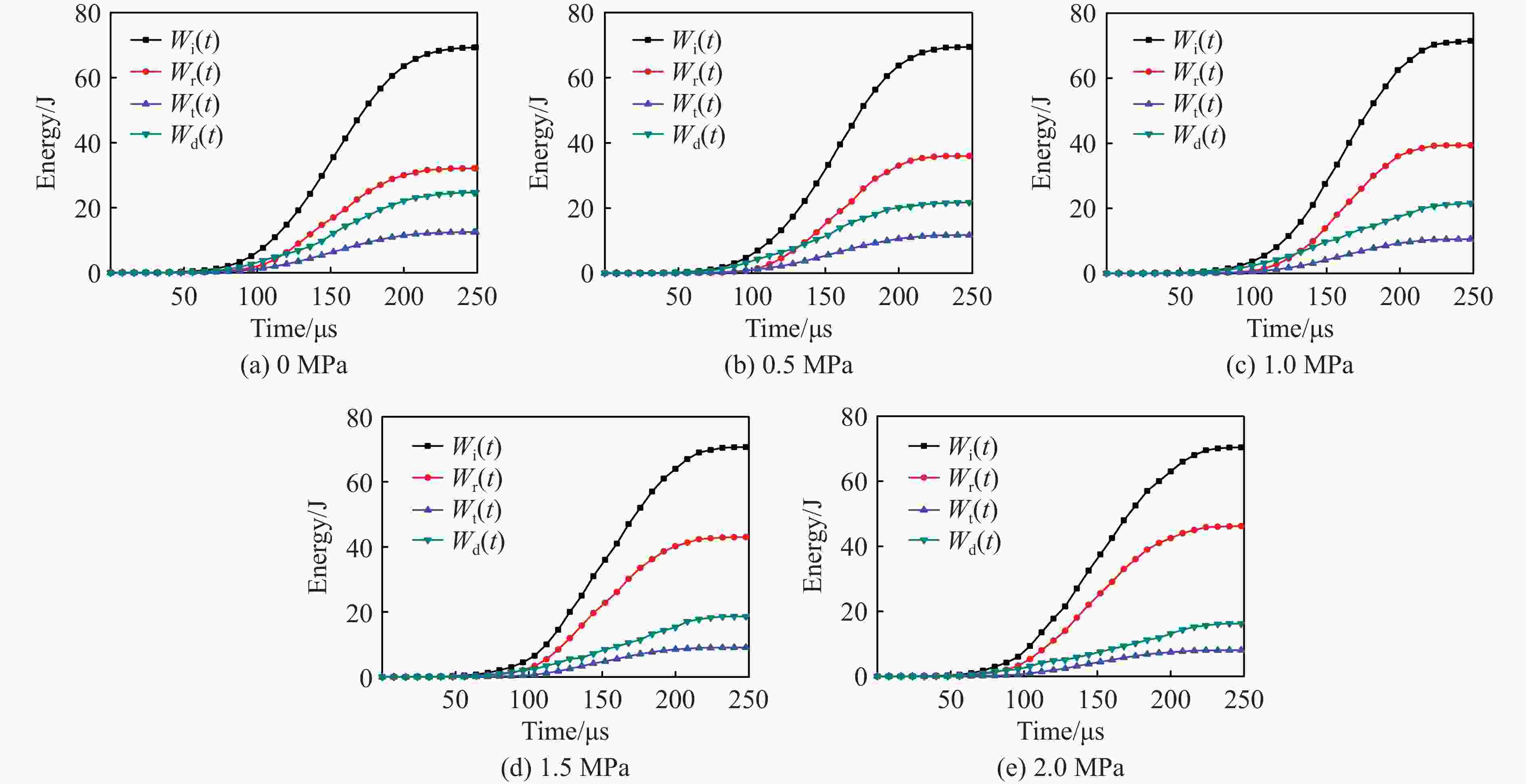
摘要: 为探究冲击作用下含瓦斯煤的损伤演化规律,利用含瓦斯煤分离式霍普金森压杆(split Hopkinson pressure bar,SHPB)试验系统,对瓦斯压力分别为0、0.5、1.0、1.5和2.0 MPa的煤体进行动态压缩试验,基于能量理论分析了冲击作用下含瓦斯煤的变形破坏过程,探讨了瓦斯压力对煤体能量参数的影响规律,借助SMP强度准则和Weibull分布函数,结合耗能指标,建立了考虑瓦斯-冲击耦合的含瓦斯煤的动态损伤本构模型。研究表明:冲击压缩过程中,含瓦斯煤的能量时程曲线可分为缓速增长阶段、加速增长阶段和稳定阶段;随着瓦斯压力的增大,煤体的反射能呈线性增加趋势,而透射能和耗散能则呈线性降低趋势;瓦斯-冲击耦合损伤本构模型曲线与试验曲线具有较好的一致性,可以准确地描述冲击作用下含瓦斯煤的全应力-应变过程和损伤演化规律。Abstract: To explore the damage evolution law of gas-bearing coal under impact, a split Hopkinson pressure bar (SHPB) test system for gas-bearing coal was used to conduct dynamic compression tests on coal with gas pressures of 0, 0.5, 1.0, 1.5, and 2.0 MPa. Based on the energy theory, the deformation and failure processes of gas-bearing coal under impact were analyzed, and the influence of gas pressure on energy parameters of coal was discussed. Using the SMP strength criterion and Weibull distribution function, a dynamic damage constitutive model of gas-bearing coal considering gas-impact coupling damage was established by combining the energy consumption index. The results indicate that during the impact compression process, the energy curve of gas-bearing coal can be divided into a slow growth stage, an accelerated growth stage, and a stable stage. With the increase of gas pressure, the reflected energy of coal shows a linear increase trend, while the transmitted energy and dissipated energy show a linear decrease trend. The theoretical curve based on the gas-impact coupling damage constitutive model is highly consistent with the test curve, indicating that the model can accurately describe the damage evolution law of the entire stress-strain process of gas-bearing coal under impact.
-
Key words:
- gas-bearing coal /
- impact load /
- energy dissipation /
- gas-impact coupling /
- damage constitutive model
-
表 1 煤样的基本物理力学参数
Table 1. Basic physical and mechanical parameters of coal samples
ρ/(g·cm−3) Wave velocity/(m·s−1) σc/MPa E/GPa c/MPa ϕ/(°) 1.31 1623 21.73 2.26 1.53 35.65 表 2 含瓦斯煤的能量参数
Table 2. Energy parameters of gas-bearing coal
pg/MPa Specimen No. Wi/J Wr/J Wt/J Wd/J Test Average Test Average Test Average Test Average 0 A1 69.31 70.40 32.11 32.86 12.51 12.46 24.69 24.74 A2 70.56 32.84 12.91 23.81 A3 71.32 33.64 11.95 25.73 0.5 B1 70.14 70.04 35.96 35.71 11.71 11.50 22.47 22.83 B2 69.05 34.72 11.55 22.78 B3 70.94 36.45 11.25 23.24 1.0 C1 71.69 70.58 39.39 38.41 10.59 10.71 21.51 21.39 C2 69.54 37.32 11.53 20.69 C3 70.51 38.51 10.02 21.98 1.5 D1 72.36 70.79 43.04 41.85 9.11 9.40 18.53 18.97 D2 69.74 41.25 9.67 18.82 D3 70.26 41.26 9.43 19.57 2.0 E1 70.41 70.53 46.21 45.43 8.09 8.34 16.11 16.43 E2 70.97 45.32 8.56 17.09 E3 69.21 44.77 8.36 16.08 表 3 模型参数
Table 3. Model parameters
pg/MPa m X0 R2 0 1.47 60.05 0.9754 0.5 1.91 58.15 0.9905 1.0 1.78 57.23 0.9974 1.5 2.31 56.59 0.9889 2.0 2.90 55.36 0.9726 -
[1] 李真珍, 于建新, 杨小林, 等. 深部煤层水压爆破裂纹扩展规律 [J]. 高压物理学报, 2022, 36(3): 035301. doi: 10.11858/gywlxb.20210912LI Z Z, YU J X, YANG X L, et al. Crack propagation regularity of hydraulic blasting in deep coal seam [J]. Chinese Journal of High Pressure Physics, 2022, 36(3): 035301. doi: 10.11858/gywlxb.20210912 [2] LIU Z Z, WANG H P, LI S C, et al. Cyclic dynamic-static loading and acoustic emission signal monitoring method of coal in solid-gas coupling environment and its application [J]. Bulletin of Engineering Geology and the Environment, 2024, 83(4): 145. doi: 10.1007/s10064-024-03609-w [3] 高保彬, 吕蓬勃, 郭放. 不同瓦斯压力下煤岩力学性质及声发射特性研究 [J]. 煤炭科学技术, 2018, 46(1): 112–119, 149. doi: 10.13199/j.cnki.cst.2018.01.016GAO B B, LYU P B, GUO F. Study on mechanical properties and acoustic emission characteristics of coal at different gas pressure [J]. Coal Science and Technology, 2018, 46(1): 112–119, 149. doi: 10.13199/j.cnki.cst.2018.01.016 [4] WU Y, WANG D K, WEI J P, et al. Damage constitutive model of gas-bearing coal using industrial CT scanning technology [J]. Journal of Natural Gas Science and Engineering, 2022, 101: 104543. doi: 10.1016/j.jngse.2022.104543 [5] 王凯, 赵恩彪, 郭阳阳, 等. 中间主应力影响下含瓦斯复合煤岩体变形渗流及能量演化特征研究 [J]. 矿业科学学报, 2023, 8(1): 74–82. doi: 10.19606/j.cnki.jmst.2023.01.007WANG K, ZHAO E B, GUO Y Y, et al. Deformation, seepage and energy evolution characteristics of gas-bearing coal-rock under intermediate principal stress [J]. Journal of Mining Science and Technology, 2023, 8(1): 74–82. doi: 10.19606/j.cnki.jmst.2023.01.007 [6] 王磊, 钟浩, 范浩, 等. 循环荷载下含瓦斯煤力学特性及应变场演化规律研究 [J]. 煤炭科学技术, 2024, 52(6): 90–101. doi: 10.12438/cst.2024-0328WANG L, ZHONG H, FAN H, et al. Study on the mechanical properties and strain field evolution of gas-bearing coal under cyclic loading [J]. Coal Science and Technology, 2024, 52(6): 90–101. doi: 10.12438/cst.2024-0328 [7] 杨科, 许日杰, 刘帅, 等. 冲击载荷下煤样动力学响应特性与损伤本构模型 [J]. 振动与冲击, 2024, 43(9): 139–148. doi: 10.13465/j.cnki.jvs.2024.09.017YANG K, XU R J, LIU S, et al. Dynamic response characteristics and damage constitutive model of coal samples under impact load [J]. Journal of Vibration and Shock, 2024, 43(9): 139–148. doi: 10.13465/j.cnki.jvs.2024.09.017 [8] 范利丹, 徐峰, 余永强, 等. 一维静载与循环冲击共同作用下砂岩动态力学特性试验研究 [J]. 高压物理学报, 2022, 36(3): 034101. doi: 10.11858/gywlxb.20210879FAN L D, XU F, YU Y Q, et al. Experimental study of dynamic mechanical characteristics of sandstone under one-dimensional coupled static-cyclic impact loads [J]. Chinese Journal of High Pressure Physics, 2022, 36(3): 034101. doi: 10.11858/gywlxb.20210879 [9] 马智会, 马智勇, 潘荣锟, 等. 不同应力状态及应变率下组合煤岩体力学特性及能量演化规律 [J]. 煤炭科学技术, 2025, 53(5): 102–113. doi: 10.12438/cst.2024-0049MA Z H, MA Z Y, PAN R K, et al. Mechanical properties and energy evolution of combined coal-rock body under different stress states and strain rates [J]. Coal Science and Technology, 2025, 53(5): 102–113. doi: 10.12438/cst.2024-0049 [10] LIU H Q, WANG L, XIE G X. Dynamic compression behavior of coal under different initial gas pressures [J]. Rock Mechanics and Rock Engineering, 2023, 56(3): 2213–2228. doi: 10.1007/s00603-022-03157-3 [11] DU K, YI Y, LUO X Y, et al. Novel damage constitutive models and new quantitative identification method for stress thresholds of rocks under uniaxial compression [J]. Journal of Central South University, 2024, 31(8): 2658–2675. doi: 10.1007/s11771-024-5725-1 [12] 曹文贵, 李翔. 岩石损伤软化统计本构模型及参数确定方法的新探讨 [J]. 岩土力学, 2008, 29(11): 2952–2956. doi: 10.3969/j.issn.1000-7598.2008.11.011CAO W G, LI X. A new discussion on damage softening statistical constitutive model for rocks and method for determining its parameters [J]. Rock and Soil Mechanics, 2008, 29(11): 2952–2956. doi: 10.3969/j.issn.1000-7598.2008.11.011 [13] 赵洪宝, 吉东亮, 刘绍强, 等. 冲击荷载下复合岩体动力响应力学特性及本构模型研究 [J]. 岩石力学与工程学报, 2023, 42(1): 88–99. doi: 10.13722/j.cnki.jrme.2022.0523ZHAO H B, JI D L, LIU S Q, et al. Study on dynamic response and constitutive model of composite rock under impact loading [J]. Chinese Journal of Rock Mechanics and Engineering, 2023, 42(1): 88–99. doi: 10.13722/j.cnki.jrme.2022.0523 [14] 张军胜, 郭帅房, 张新生, 等. 冲击荷载下煤的塑性硬化-软化过程动态损伤本构模型 [J]. 煤炭学报, 2021, 46(Suppl 2): 759−769.ZHANG J S, GUO S F, ZHANG X S, et al. Dynamic damage constitutive model of plastic hardening-softening process of coal under impacting load [J]. Journal of China Coal Society, 2021, 46(Suppl 2): 759−769. [15] 王登科, 尹光志, 刘建, 等. 三轴压缩下含瓦斯煤岩弹塑性损伤耦合本构模型 [J]. 岩土工程学报, 2010, 32(1): 55–60.WANG D K, YIN G Z, LIU J, et al. Elastoplastic damage coupled model for gas-saturated coal under triaxial compression [J]. Chinese Journal of Geotechnical Engineering, 2010, 32(1): 55–60. [16] 尹光志, 王浩, 张东明. 含瓦斯煤卸围压蠕变试验及其理论模型研究 [J]. 煤炭学报, 2011, 36(12): 1963–1967. doi: 10.13225/j.cnki.jccs.2011.12.005YIN G Z, WANG H, ZHANG D M. Creep experimental and theory model on coal containing gas under the condition of unloading confining pressure [J]. Journal of China Coal Society, 2011, 36(12): 1963–1967. doi: 10.13225/j.cnki.jccs.2011.12.005 [17] ZHANG B, WANG H P, WANG P, et al. Macro- and microdamage characteristics and multiscale damage constitutive model of gas-bearing coal under loading [J]. Journal of Petroleum Science and Engineering, 2022, 217: 110848. doi: 10.1016/j.petrol.2022.110848 [18] HAO Q J, ZHANG R, GAO M Z, et al. Characterization of energy-driven damage mechanism and gas seepage in coal under mining-induced stress conditions [J]. International Journal of Rock Mechanics and Mining Sciences, 2024, 181: 105834. doi: 10.1016/j.ijrmms.2024.105834 [19] PENG K, SHI S W, ZOU Q L, et al. Quantitative characteristics of energy evolution of gas-bearing coal under cyclic loading and its action mechanisms on coal and gas outburst [J]. Rock Mechanics and Rock Engineering, 2021, 54(6): 3115–3133. doi: 10.1007/s00603-021-02446-7 [20] 徐文彬, 张亚伦, 李童欣. 分层胶结充填体三轴压缩力学特性及能量演化规律研究 [J]. 中国矿业大学学报, 2025, 54(2): 343–354. doi: 10.13247/j.cnki.jcumt.20240418XU W B, ZHANG Y L, LI T X. Mechanical properties and energy evolution of stratified cemented tailings under triaxial backfill compression [J]. Journal of China University of Mining & Technology, 2025, 54(2): 343–354. doi: 10.13247/j.cnki.jcumt.20240418 [21] PU H, YI Q Y, JIVKOV A P, et al. Effect of dry-wet cycles on dynamic properties and microstructures of sandstone: experiments and modelling [J]. International Journal of Mining Science and Technology, 2024, 34(5): 655–679. doi: 10.1016/j.ijmst.2024.04.008 [22] 金志豪, 李远, 栾亚伟, 等. 动静荷载下煤岩体应力波传播与衰减特征 [J]. 中南大学学报(自然科学版), 2024, 55(9): 3469–3479. doi: 10.11817/j.issn.1672-7207.2024.09.020JIN Z H, LI Y, LUAN Y W, et al. Stress wave propagation and attenuation of coal rock masses under static and dynamic loads [J]. Journal of Central South University (Science and Technology), 2024, 55(9): 3469–3479. doi: 10.11817/j.issn.1672-7207.2024.09.020 [23] SHEN R X, WANG X L, GU Z J, et al. Analysis of the dynamic impact behavior and fracture mechanism of coal samples at various temperatures [J]. Engineering Fracture Mechanics, 2024, 310: 110481. doi: 10.1016/j.engfracmech.2024.110481 [24] CHEN L P, WANG L, LIU H Q, et al. Energy dissipation and crack propagation in gas-containing coal under impact loading: an experimental study [J]. Powder Technology, 2024, 441: 119813. doi: 10.1016/j.powtec.2024.119813 [25] 邓华锋, 胡安龙, 李建林, 等. 水岩作用下砂岩劣化损伤统计本构模型 [J]. 岩土力学, 2017, 38(3): 631–639. doi: 10.16285/j.rsm.2017.03.003DENG H F, HU A L, LI J L, et al. Statistical damage constitutive model of sandstone under water-rock interaction [J]. Rock and Soil Mechanics, 2017, 38(3): 631–639. doi: 10.16285/j.rsm.2017.03.003 [26] LEMAITRE J. A continuous damage mechanics model for ductile fracture [J]. Journal of Engineering Materials and Technology, 1985, 107(1): 83–89. doi: 10.1115/1.3225775 [27] 张亚君, 董彤, 董宏晓, 等. 一种适用于层状岩体的各向异性强度准则 [J]. 岩石力学与工程学报, 2024, 43(10): 2511–2519. doi: 10.13722/j.cnki.jrme.2024.0152ZHANG Y J, DONG T, DONG H X, et al. An anisotropic strength criteria for layered rock mass [J]. Chinese Journal of Rock Mechanics and Engineering, 2024, 43(10): 2511–2519. doi: 10.13722/j.cnki.jrme.2024.0152 -

下载: