High-Pressure Study on Structural Phase Transformation and Physical Properties of SrB2C2
-
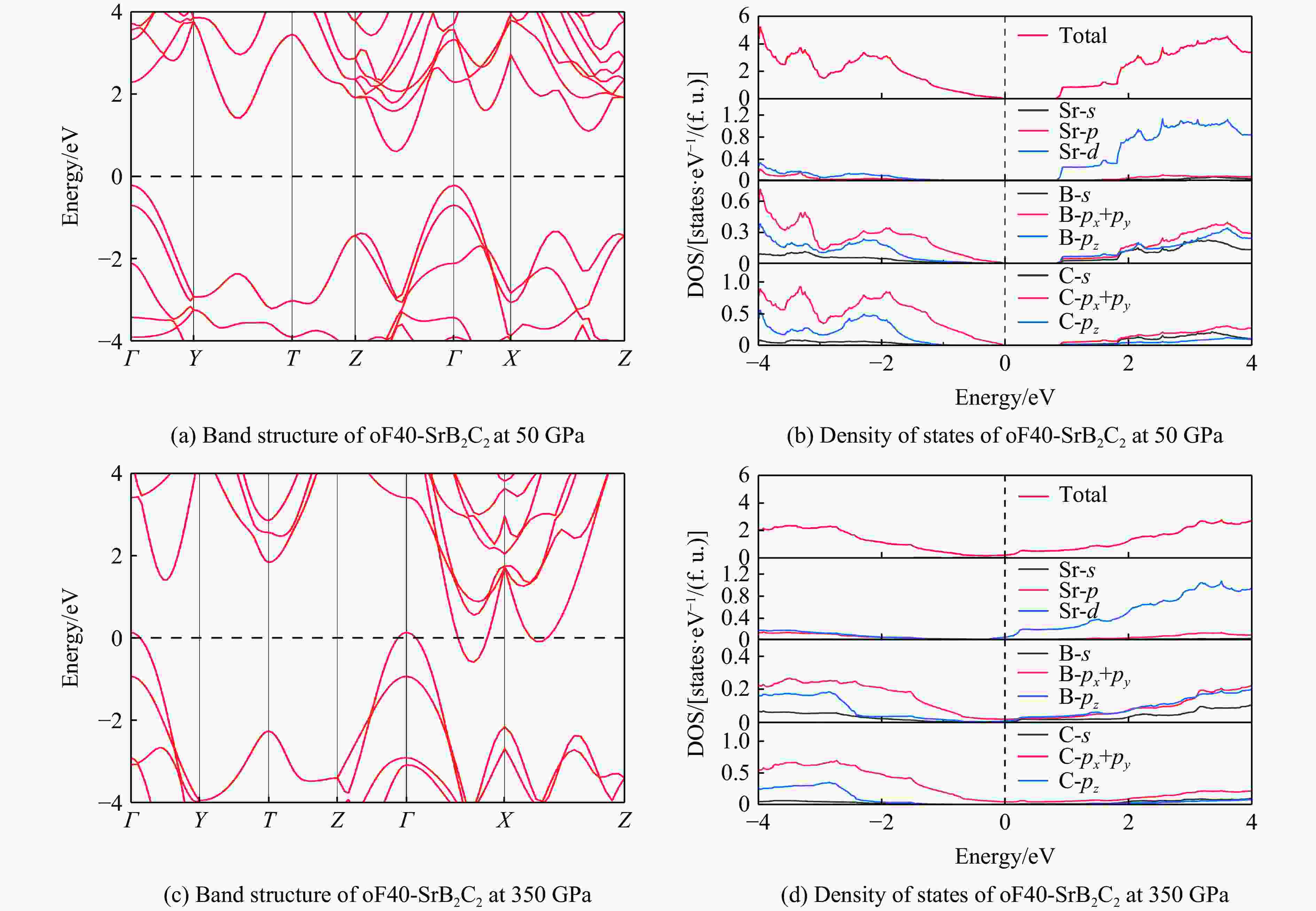
摘要: 采用基于密度泛函理论的第一性原理计算方法和基于粒子群优化算法的结构预测方法,在0~350 GPa压力范围内对SrB2C2进行结构搜索,成功确定了SrB2C2在常压下是属于四方晶系的tI20-SrB2C2,在高压下是属于正交晶系的oF40-SrB2C2。基于焓差曲线,确定了SrB2C2的相变压力为44.7 GPa。通过计算声子谱、弹性常数和形成焓,验证了tI20-SrB2C2和oF40-SrB2C2在对应压力下的稳定性和实验合成的可能性。由不同方向的杨氏模量和剪切模量可以看出,tI20-SrB2C2具有比oF40-SrB2C2更明显的力学各向异性,主要是由于sp2杂化的硼碳键组成了层状结构的tI20-SrB2C2,而oF40-SrB2C2的硼碳键主要是sp3杂化的共价键,形成了更稳定的三维网状四面体结构。电子结构计算表明,SrB2C2均为间接带隙半导体,电子局域函数计算说明了tI20-SrB2C2和oF40-SrB2C2中的硼碳键分别为sp2和sp3共价键。Abstract: By employing the first-principles calculations and the structure prediction method, which are based on density functional theory and particle swarm optimization algorithm respectively, this work conducted a structural search of SrB2C2 in the pressure range of 0−350 GPa, and successfully determined the structure of tetragonal phase tI20-SrB2C2 at ambient pressure and orthorhombic phase oF40-SrB2C2 at high pressures. Based on the enthalpy difference curve of SrB2C2, the phase transition pressure was determined to be 44.7 GPa. Moreover, the stability and the possibility of experimental synthesis of tI20-SrB2C2 and oF40-SrB2C2 at the corresponding pressure were verified by calculating the phonon spectrum, elastic constants and formation enthalpy. In addition, the tI20-SrB2C2 has higher degree of mechanical anisotropy than oF40-SrB2C2, which can be seen from the Young’s modulus and shear modulus as a function of orientations. It can be ascribed to the fact that the sp2-hybridized boron-carbon bonds form the layered structure of tI20-SrB2C2, while the boron-carbon bonds of oF40-SrB2C2 are mainly sp3-hybridized covalent bonds, forming a more stable three-dimensional tetrahedral network structure. The electronic structure calculations show that SrB2C2 is an indirect band gap semiconductor, and the calculated electronic localization function reveals that the boron-carbon bonds in tI20-SrB2C2 and oF40-SrB2C2 are sp2 and sp3 covalent bonds, respectively.
-
Key words:
- SrB2C2 /
- first-principles calculations /
- crystal structure prediction /
- high pressure
-
图 4 (a) tI20-SrB2C2的杨氏模量的三维表示,(b)杨氏模量在ab、ac和bc平面上的投影,(c) 不同平面的杨氏模量随应力方向的变化,(d) 剪切模量随应力方位的变化
Figure 4. (a) Three-dimensional representation of Young’s modulus of tI20-SrB2C2; (b) projections of Young’s modulus on ab, ac, and bc planes; (c) Young’s modulus as a function of tensile orientation in different planes; (d) shear modulus as a function of shear orientation in different planes
图 5 (a) oF40-SrB2C2的杨氏模量的三维表示,(b) 杨氏模量在ab、ac和bc平面的投影,(c) 不同平面的杨氏模量随应力方向的变化,(d) 剪切模量随应力方位的变化
Figure 5. (a) Three-dimensional representation of Young’s modulus of oF40-SrB2C2; (b) projections of Young’s modulus on ab, ac, and bc planes; (c) Young’s modulus as a function of tensile orientation in different planes; (d) shear modulus as a function of shear orientation in different planes
表 1 tI20-SrB2C2 和oF40-SrB2C2的晶格参数和原子位置
Table 1. Lattice parameters and atomic positions of tI20-SrB2C2 and oF40-SrB2C2
Phase Pressure/GPa Space group Lattice parameters Wyckoff position tI20-SrB2C2 0 I4/mcm
(No.140)a= 5.4139 Å,Sr: 4a ( 0.0000 ,0.0000 ,0.7500 )b= 5.4139 Å,B: 8h ( 0.8602 ,0.6398 ,0.0000 )c= 8.1714 ÅC: 8h ( 0.3418 ,0.1582 ,0.0000 )oF40-SrB2C2 45 Fddd
(No.70)a= 5.0388 Å,Sr: 8b ( 0.0000 ,0.0000 ,0.5000 )b= 7.8600 Å,B: 16g ( 0.0000 ,0.0000 ,0.8617 )c= 7.9122 ÅC: 16f ( 0.2500 ,0.0850 ,0.2500 )表 2 tI20-SrB2C2和oF40-SrB2C2的独立弹性常数、体弹模量、杨氏模量、剪切模量和泊松比
Table 2. Independent elastic constants, bulk modulus, Young’s modulus, shear modulus and Poisson’s ratio of tI20-SrB2C2 at ambient pressure and oF40-SrB2C2 at 45 GPa
Compound Pressure/GPa C11/GPa C12/GPa C13/GPa C22/GPa C23/GPa C33/GPa C44/GPa tI20-SrB2C2 0 368.0 188.8 22.1 149.3 55.7 oF40-SrB2C2 45 541.5 222.2 168.9 638.4 143.3 690.9 243.5 Compound Pressure/GPa C55/GPa C66/GPa B/GPa G/GPa E/GPa ν tI20-SrB2C2 0 192.2 128.6 222.2 91.7 0.212 oF40-SrB2C2 45 214.6 304.7 326.1 573.5 237.6 0.207 -
[1] NAGAMATSU J, NAKAGAWA N, MURANAKA T, et al. Superconductivity at 39 K in magnesium diboride [J]. Nature, 2001, 410(6824): 63–64. doi: 10.1038/35065039 [2] SHAH S, KOLMOGOROV A N. Stability and superconductivity of Ca-B phases at ambient and high pressure [J]. Physical Review B, 2013, 88(1): 014107. doi: 10.1103/PhysRevB.88.014107 [3] EMERY N, HÉROLD C, D’ASTUTO M, et al. Superconductivity of bulk CaC6 [J]. Physical Review Letters, 2005, 95(8): 087003. doi: 10.1103/PhysRevLett.95.087003 [4] GAO M, YAN X W, LU Z Y, et al. Strong-coupling superconductivity in LiB2C2 trilayer films [J]. Physical Review B, 2020, 101(9): 094501. doi: 10.1103/PhysRevB.101.094501 [5] ZHENG B B. Pressure-induced phase transition and electronic properties of MgB2C2 [J]. Journal of Applied Physics, 2017, 121(19): 195102. doi: 10.1063/1.4983821 [6] YAN H Y, ZHANG M G, WEI Q, et al. Ab initio studies of ternary semiconductor BeB2C2 [J]. Computational Materials Science, 2013, 68: 174–180. doi: 10.1016/j.commatsci.2012.10.013 [7] ZHENG B B, ZHANG M G, CHANG S M. Structural, mechanical and electronic properties of CaB2C2 at high pressure [J]. Europhysics Letters, 2017, 118(6): 66001. doi: 10.1209/0295-5075/118/66001 [8] AKIMITSU J, TAKENAWA K, SUZUKI K, et al. High-temperature ferromagnetism in CaB2C2 [J]. Science, 2001, 293(5532): 1125–1127. doi: 10.1126/science.1061501 [9] HAQUE E, HOSSAIN M A, STAMPFL C. First-principles prediction of phonon-mediated superconductivity in XBC (X=Mg, Ca, Sr, Ba) [J]. Physical Chemistry Chemical Physics, 2019, 21(17): 8767–8773. doi: 10.1039/c8cp07634k [10] ZHU L, BORSTAD G M, LIU H Y, et al. Carbon-boron clathrates as a new class of sp3-bonded framework materials [J]. Science Advances, 2020, 6(2): eaay8361. doi: 10.1126/sciadv.aay8361 [11] WANG J N, YAN X W, GAO M. High-temperature superconductivity in SrB3C3 and BaB3C3 predicted from first-principles anisotropic Migdal-Eliashberg theory [J]. Physical Review B, 2021, 103(14): 144515. doi: 10.1103/PhysRevB.103.144515 [12] ZHU L, LIU H Y, SOMAYAZULU M, et al. Superconductivity in SrB3C3 clathrate [J]. Physical Review Research, 2023, 5(1): 013012. doi: 10.1103/PhysRevResearch.5.013012 [13] ZHANG Y M, CHEN J Y, HAO J, et al. Conventional high-temperature superconductivity in σ-band driven metallized two-dimensional metal borocarbides [J]. Physical Review B, 2024, 110(6): 064513. doi: 10.1103/PhysRevB.110.064513 [14] BURDETT J K, LEE S, MCLARNAN T J. Coloring problem [J]. Journal of the American Chemical Society, 1985, 107(11): 3083–3089. doi: 10.1021/ja00297a012 [15] WHEELER R A, WHANGBO M H, HUGHBANKS T, et al. Symmetric vs. asymmetric linear M-X-M linkages in molecules, polymers, and extended networks [J]. Journal of the American Chemical Society, 1986, 108(9): 2222–2236. doi: 10.1021/ja00269a018 [16] MILLER G J. The “coloring problem” in solids: how it affects structure, composition and properties [J]. European Journal of Inorganic Chemistry, 1998, 1998(5): 523–536. doi: 10.1002/(SICI)1099-0682(199805)1998:5<523::AID-EJIC523>3.0.CO;2-L [17] DOMNICH V, REYNAUD S, HABER R A, et al. Boron carbide: structure, properties, and stability under stress [J]. Journal of the American Ceramic Society, 2011, 94(11): 3605–3628. doi: 10.1111/j.1551-2916.2011.04865.x [18] LONIE D C, ZUREK E. XtalOpt: an open-source evolutionary algorithm for crystal structure prediction [J]. Computer Physics Communications, 2011, 182(2): 372–387. doi: 10.1016/j.cpc.2010.07.048 [19] WANG Y C, LV J, ZHU L, et al. Crystal structure prediction via particle-swarm optimization [J]. Physical Review B, 2010, 82(9): 094116. doi: 10.1103/PhysRevB.82.094116 [20] WANG Y C, LV J, ZHU L, et al. CALYPSO: a method for crystal structure prediction [J]. Computer Physics Communications, 2012, 183(10): 2063–2070. doi: 10.1016/j.cpc.2012.05.008 [21] LU C, LI Q, MA Y M, et al. Extraordinary indentation strain stiffening produces superhard tungsten nitrides [J]. Physical Review Letters, 2017, 119(11): 115503. doi: 10.1103/PhysRevLett.119.115503 [22] LU S H, WANG Y C, LIU H Y, et al. Self-assembled ultrathin nanotubes on diamond (100) surface [J]. Nature Communications, 2014, 5(1): 3666. doi: 10.1038/ncomms4666 [23] HE X L, ZHAO W B, XIE Y, et al. Predicted hot superconductivity in LaSc2H24 under pressure [J]. Proceedings of the National Academy of Sciences of the United States of America, 2024, 121(26): e2401840121. doi: 10.1073/pnas.2401840121 [24] MA C H, MA Y, WANG H, et al. Hydrogen-vacancy-induced stable superconducting niobium hydride at high pressure [J]. Journal of the American Chemical Society, 2025, 147(13): 11028–11035. doi: 10.1021/jacs.4c15868 [25] LUO X Y, YANG J H, LIU H Y, et al. Predicting two-dimensional boron-carbon compounds by the global optimization method [J]. Journal of the American Chemical Society, 2011, 133(40): 16285–16290. doi: 10.1021/ja2072753 [26] WANG Y, LI F, LI Y F, et al. Semi-metallic Be5C2 monolayer global minimum with quasi-planar pentacoordinate carbons and negative Poisson’s ratio [J]. Nature Communications, 2016, 7(1): 11488. doi: 10.1038/ncomms11488 [27] TANG C, KOUR G, DU A J. Recent progress on the prediction of two-dimensional materials using CALYPSO [J]. Chinese Physics B, 2019, 28(10): 107306. doi: 10.1088/1674-1056/ab41ea [28] MONKHORST H J, PACK J D. Special points for Brillouin-zone integrations [J]. Physical Review B, 1976, 13(12): 5188–5192. doi: 10.1103/PhysRevB.13.5188 [29] COLLE R, SALVETTI O. Approximate calculation of the correlation energy for the closed shells [J]. Theoretica Chimica Acta, 1975, 37(4): 329–334. doi: 10.1007/BF01028401 [30] PERDEW J P, CHEVARY J A, VOSKO S H, et al. Atoms, molecules, solids, and surfaces: applications of the generalized gradient approximation for exchange and correlation [J]. Physical Review B, 1992, 46(11): 6671–6687. doi: 10.1103/PhysRevB.46.6671 [31] METHFESSEL M, PAXTON A T. High-precision sampling for Brillouin-zone integration in metals [J]. Physical Review B, 1989, 40(6): 3616–3621. doi: 10.1103/PhysRevB.40.3616 [32] NYE J F. Physical properties of crystals: their representation by tensors and matrices [J]. Acta Crystallographica Section A, 1985, 41(6): 624–624. [33] WANG V, XU N, LIU J C, et al. VASPKIT: a user-friendly interface facilitating high-throughput computing and analysis using VASP code [J]. Computer Physics Communications, 2021, 267: 108033. doi: 10.1016/j.cpc.2021.108033 [34] MOUHAT F, COUDERT F X. Necessary and sufficient elastic stability conditions in various crystal systems [J]. Physical Review B, 2014, 90(22): 224104. doi: 10.1103/PhysRevB.90.224104 [35] 方俊鑫, 陆栋. 固体物理学[M]. 上海: 上海科学技术出版社, 1980. [36] CHANDRASEKAR S, SANTHANAM S. A calculation of the bulk modulus of polycrystalline materials [J]. Journal of Materials Science, 1989, 24(12): 4265–4267. doi: 10.1007/BF00544497 [37] PANDA K B, CHANDRAN K S R. Determination of elastic constants of titanium diboride (TiB2) from first principles using FLAPW implementation of the density functional theory [J]. Computational Materials Science, 2006, 35(2): 134–150. doi: 10.1016/j.commatsci.2005.03.012 [38] YAN H Y, ZHANG M G, WEI Q, et al. Elastic anisotropy and thermodynamic properties of tetrahedrally bonded dense C2N2 (NH) under high pressure and high temperature [J]. Physica Status Solidi B, 2013, 250(7): 1293–1299. doi: 10.1002/pssb.201248225 [39] CAZZANI A, ROVATI M. Extrema of Young’s modulus for elastic solids with tetragonal symmetry [J]. International Journal of Solids and Structures, 2005, 42(18/19): 5057–5096. doi: 10.1016/j.ijsolstr.2005.02.018 [40] HE Y, SCHWARZ R B, MIGLIORI A, et al. Elastic constants of single crystal γ-TiAl [J]. Journal of Materials Research, 1995, 10(5): 1187–1195. doi: 10.1557/JMR.1995.1187 -

下载: