Shock Wave Propagation Law of Curved Tunnel and Curved Diffusion Tunnel
-
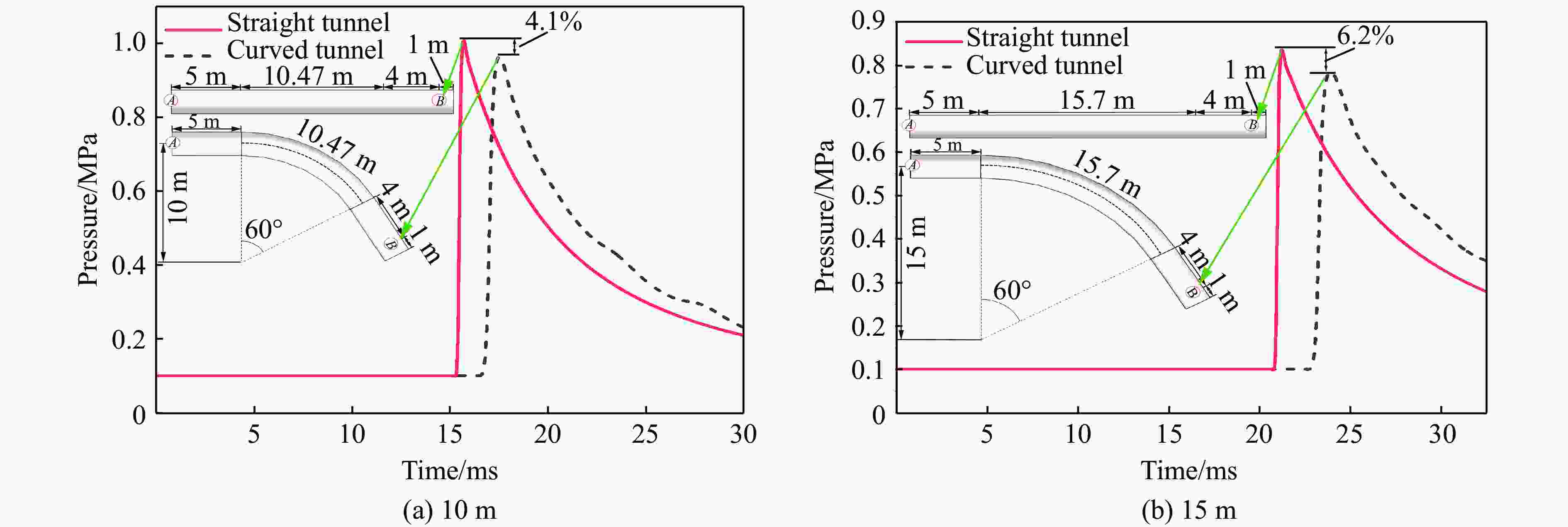
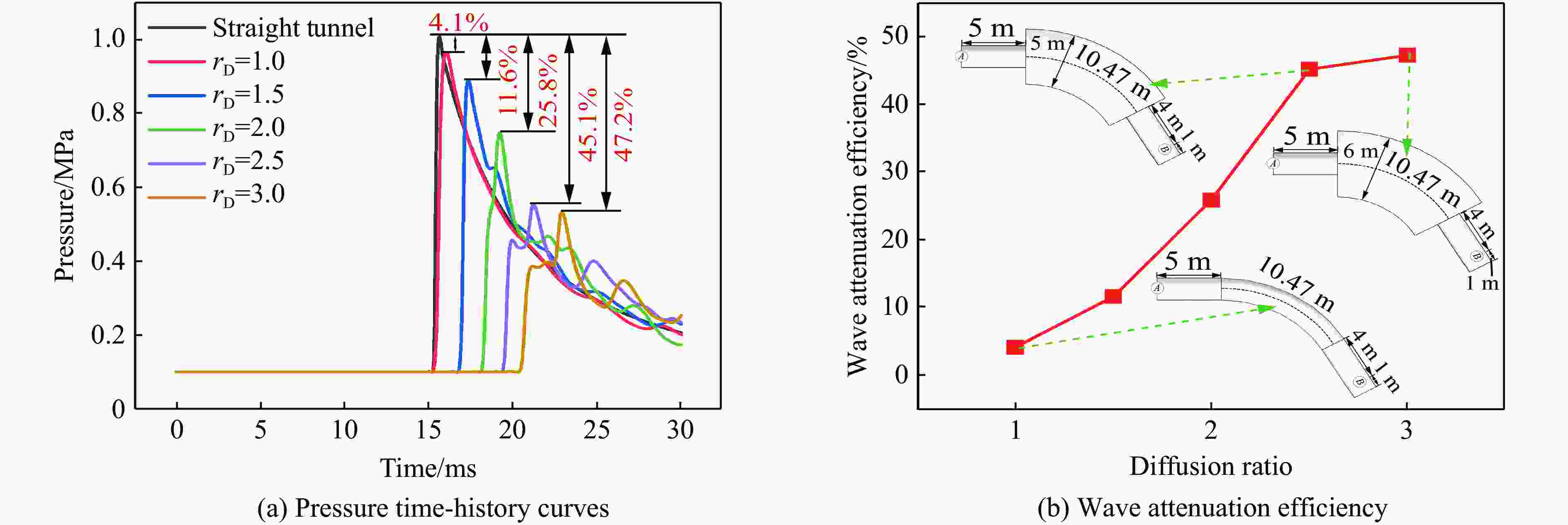
摘要: 针对弧形拐弯坑道内冲击波衰减规律不清的问题,研究了半径和拐弯角度对弧形坑道中冲击波传播的影响,发现半径和拐弯角度对消波效率的影响有限,且弧形坑道与同角度直接拐弯坑道的消波效率相近,基本均小于7.2%。为提高拐弯坑道对冲击波的衰减效率,提出了以弧形坑道为基础设置扩散室构建弧形扩散坑道的防护新思想,并探讨了扩散比、扩散形式(外侧扩散、内侧扩散和两侧扩散)和冲击波特征参数对弧形扩散坑道消波效率的影响规律。计算结果表明,弧形扩散坑道可大幅提高冲击波的衰减效率,衰减率最高可达55.9%。外侧扩散型弧形坑道的消波效率最高,内侧扩散型和两侧扩散型的消波效率次之,且消波效率随扩散比的提升而不断升高。随着冲击波压力峰值的增大,弧形扩散坑道的消波效率有所提高,可以达到64.4%;继续提升压力峰值时,弧形扩散坑道的消波效率略有下降但基本保持不变;弧形扩散坑道的消波效率随冲击波正压时间的增长而降低,在正压持续时间为100 ms时,消波效率降至25.4%,但随着正压时间的进一步增长,弧形扩散坑道的消波效率几乎保持不变。Abstract: In view of the unclear attenuation law of shock wave in curved tunnel is unclear, the influence of radius and turning angle on shock wave propagation in curved tunnel was analyzed. It was found that its influence on the wave dissipation efficiency is limited, and the wave attenuation efficiency of curved tunnel is similar to that of direct turning tunnel with the same angle, which is basically less than 7.2%. In order to improve the wave attenuation efficiency of shock wave in curved tunnel, a new protective idea of constructing arc-shaped diffusion tunnels based on arc-shaped tunnels by setting up diffusion chambers was proposed. The influence laws of diffusion ratio and diffusion forms (inner diffusion, two-side diffusion and outer diffusion) on the wave attenuation efficiency of curved diffusion tunnels were also discussed. The calculation shows that curved diffusion tunnel can greatly improve the wave attenuation efficiency of shock wave, and the wave attenuation efficiency can reach 55.9%. Among them, the outer diffusion curved tunnel has the highest wave attenuation efficiency, followed by the inner diffusion type and the two-sided diffusion type. Moreover, the wave attenuation efficiency increases continuously with the increase of the diffusion ratio. As the peak pressure of the shock wave increases, the wave attenuation efficiency of the curved diffusion tunnel also improves, reaching up to 64.4%. When the peak pressure continues to increase, the wave attenuation efficiency of the curved diffusion tunnel slightly decreases but remains basically unchanged. The wave attenuation efficiency of the curved diffusion tunnel decreases with the increase of the positive pressure duration of the shock wave. When the positive pressure duration is 100 ms, the wave attenuation efficiency drops to 25.4%. However, as the positive pressure duration further increases, the wave attenuation efficiency of the curved diffusion tunnel remains almost unchanged.
-
Key words:
- curved tunnel /
- curved diffusion tunnel /
- shock wave /
- propagation law /
- wave attenuation efficiency
-
Pr cV/(J·g−1·K−1) cp/(J·g−1·K−1) c1/(m·s−1) c2 0.72 7.135×10−6 1.002×10−6 1.458×10−3 110.4 表 2 不同扩散比工况
Table 2. Different diffusion ratio cases
Case W/m rD 1 2 1.0 2 3 1.5 3 4 2.0 4 5 2.5 5 6 3.0 -
[1] 杨科之, 杨秀敏. 坑道内化爆冲击波的传播规律 [J]. 爆炸与冲击, 2003, 23(1): 37–40. doi: 10.11883/1001-1455(2003)01-0037-4YANG K Z, YANG X M. Shock waves propagation inside tunnels [J]. Explosion and Shock Waves, 2003, 23(1): 37–40. doi: 10.11883/1001-1455(2003)01-0037-4 [2] 张玉磊, 王胜强, 袁建飞, 等. 方形坑道内爆炸冲击波传播规律 [J]. 含能材料, 2020, 28(1): 46–51. doi: 10.11943/CJEM2018305ZHANG Y L, WANG S Q, YUAN J F, et al. Experimental study on the propagation law of blast waves in a square tunnel [J]. Chinese Journal of Energetic Materials, 2020, 28(1): 46–51. doi: 10.11943/CJEM2018305 [3] 纪玉国, 张国凯, 李干, 等. 坑道口部温压炸药爆炸热效应与冲击波传播规律实验研究 [J]. 南京理工大学学报, 2022, 46(6): 649–658. doi: 10.14177/j.cnki.32-1397n.2022.46.06.001JI Y G, ZHANG G K, LI G, et al. Experimental study on thermal effect and shock wave propagation of thermobaric explosives at tunnel entrance [J]. Journal of Nanjing University of Science and Technology, 2022, 46(6): 649–658. doi: 10.14177/j.cnki.32-1397n.2022.46.06.001 [4] 纪玉国, 张国凯, 李干, 等. 坑道内爆炸条件下温压炸药的爆炸特性及其影响因素 [J]. 爆炸与冲击, 2024, 44(3): 032301. doi: 10.11883/bzycj-2023-0011JI Y G, ZHANG G K, LI G, et al. Explosion characteristics of thermobaric explosive (TBX) detonated inside a tunnel and the related influential factors [J]. Explosion and Shock Waves, 2024, 44(3): 032301. doi: 10.11883/bzycj-2023-0011 [5] 徐利娜, 雍顺宁, 王凤丹, 等. 直坑道内爆炸冲击波超压传播规律研究 [J]. 测试技术学报, 2014, 28(2): 114–118. doi: 10.3969/j.issn.1671-7449.2014.02.005XU L N, YONG S N, WANG F D, et al. Study of blast wave overpressure propagation inside straight tunnel [J]. Journal of Test and Measurement Technology, 2014, 28(2): 114–118. doi: 10.3969/j.issn.1671-7449.2014.02.005 [6] 孔霖, 苏健军, 李芝绒, 等. 不同装药坑道内爆炸冲击波传播规律的试验研究 [J]. 火工品, 2012(3): 21–24. doi: 10.3969/j.issn.1003-1480.2012.03.006KONG L, SU J J, LI Z R, et al. Test study on explosion shock wave propagation of different explosives inside tunnels [J]. Initiators & Pyrotechnics, 2012(3): 21–24. doi: 10.3969/j.issn.1003-1480.2012.03.006 [7] 李晓军, 张殿臣, 李清献, 等. 常规武器破坏效应与工程防护技术 [R]. 洛阳: 总参工程兵科研三所, 2001: 180–181. [8] 杨科之, 袁正如. 冲击波在坑道直角转弯处的衰减规律 [J]. 防护工程, 2012, 34(3): 20–24.YANG K Z, YUAN Z R. Shock wave attenuation at the orthogonal turning point in tunnels [J]. Protective Engineering, 2012, 34(3): 20–24. [9] 屈康康, 闫云聚, 刘洋, 等. 爆炸冲击波在长直坑道和复杂坑道内传播规律的对比研究 [J]. 应用力学学报, 2011, 28(4): 434–438.QU K K, YAN Y J, LIU Y, et al. Comparative study on propagation rules of explosive shock-wave in long straight and complex tunnel [J]. Chinese Journal of Applied Mechanics, 2011, 28(4): 434–438. [10] 中华人民共和国建设部, 中华人民共和国国家质量监督检验检疫总局. 人民防空地下室设计规范: GB 50038—2005 [S]. 北京: 中国计划出版社, 2005.Ministry of Construction of the People’s Republic of China, General Administration of Quality Supervision, Inspection and Quarantine of the People’s Republic of China. Code for design of civil air defence basement: GB 50038—2005 [S]. Beijing: China Planning Press, 2005. [11] 余雯君, 陈胜云, 邓树新, 等. 爆炸冲击波在变截面通道中传播规律数值研究 [J]. 兵器装备工程学报, 2024, 45(2): 166–173, 203. doi: 10.11809/bqzbgcxb2024.02.021YU W J, CHEN S Y, DENG S X, et al. Numerical simulation of propagation law of explosion shock wave in variable cross-section channel [J]. Journal of Ordnance Equipment Engineering, 2024, 45(2): 166–173, 203. doi: 10.11809/bqzbgcxb2024.02.021 [12] SHIN J, PANG S, KIM W. Enhancing blast mitigation in tunnels with expansion chamber subjected to high explosives detonations for protecting underground facilities [J]. Tunnelling and Underground Space Technology, 2024, 147: 105720. doi: 10.1016/j.tust.2024.105720 [13] 陈虎林, 李广新, 任新见. 坑道口部内爆炸情况下扩散室中冲击波的数值分析 [J]. 爆破, 2010, 27(3): 105–109, 117. doi: 10.3963/j.issn.1001-487X.2010.03.030CHEN H L, LI G X, REN X J. Numerical analysis on propagation effect of shock wave in diffuser chambers under internal blast in the entrance of tunnel [J]. Blasting, 2010, 27(3): 105–109, 117. doi: 10.3963/j.issn.1001-487X.2010.03.030 [14] GRIPPON E, VAN DORSSELAER N, LAPOUJADE V. A contribution to CESE method validation in LS-DYNA [C]//10th European LS-DYNA Conference. Würzburg, Germany: DYNAmore GmbH, 2015. [15] ANSYS Inc. LS-DYNA keyword user’s manual: Version R16.0. 0, Vol. Ⅰ–Ⅲ [Z]. Canonsburg, PA, USA: ANSYS Inc. , 2025. [16] 赵蓓蕾, 赵继广, 崔村燕, 等. 扰流板结构参数对冲击波衰减特性影响的仿真分析 [J]. 高压物理学报, 2018, 32(2): 025202. doi: 10.11858/gywlxb.20170585ZHAO B L, ZHAO J G, CUI C Y, et al. Simulation analysis of influence of spoiler structural parameters on shock wave attenuation characteristics [J]. Chinese Journal of High Pressure Physics, 2018, 32(2): 025202. doi: 10.11858/gywlxb.20170585 [17] 邓烨, 陶西贵, 赵健, 等. 复杂坑道内爆炸冲击波传播快速算法研究 [J]. 地下空间与工程学报, 2022, 18(4): 1127–1137. doi: 10.20174/j.juse.2022.04.010DENG Y, TAO X G, ZHAO J, et al. Study on fast algorithm of blast wave propagation in complex tunnel [J]. Chinese Journal of Underground Space and Engineering, 2022, 18(4): 1127–1137. doi: 10.20174/j.juse.2022.04.010 -

下载: