高温-冲击双循环下花岗岩的动力学特性与损伤

郭昊 左旭超 钟康杰 吴俊 刘磊

郭昊, 左旭超, 钟康杰, 吴俊, 刘磊. 高温-冲击双循环下花岗岩的动力学特性与损伤[J]. 高压物理学报, 2025, 39(12): 124101. doi: 10.11858/gywlxb.20251091
引用本文: 郭昊, 左旭超, 钟康杰, 吴俊, 刘磊. 高温-冲击双循环下花岗岩的动力学特性与损伤[J]. 高压物理学报, 2025, 39(12): 124101. doi: 10.11858/gywlxb.20251091
GUO Hao, ZUO Xuchao, ZHONG Kangjie, WU Jun, LIU Lei. Dynamic Mechanical Properties and Damage Evolution in Granite under Coupled High-Temperature-Impact Cyclic Loading[J]. Chinese Journal of High Pressure Physics, 2025, 39(12): 124101. doi: 10.11858/gywlxb.20251091
Citation: GUO Hao, ZUO Xuchao, ZHONG Kangjie, WU Jun, LIU Lei. Dynamic Mechanical Properties and Damage Evolution in Granite under Coupled High-Temperature-Impact Cyclic Loading[J]. Chinese Journal of High Pressure Physics, 2025, 39(12): 124101. doi: 10.11858/gywlxb.20251091

高温-冲击双循环下花岗岩的动力学特性与损伤

doi: 10.11858/gywlxb.20251091
基金项目: 云南省“兴滇英才支持计划”(KKXX202521089);云南省重大科技专项(202202AG050014)
详细信息
    作者简介:

    郭 昊(2001-),男,硕士研究生,主要从事高温岩石力学研究. E-mail:2556900676@qq.com

    通讯作者:

    刘 磊(1981-),男,博士,教授,主要从事工程爆破、岩土工程、火灾安全研究. E-mail:kgliulei@kust.edu.cn

  • 中图分类号: O347; O521.9

Dynamic Mechanical Properties and Damage Evolution in Granite under Coupled High-Temperature-Impact Cyclic Loading

  • 摘要: 为研究高温-冲击双循环累积损伤对花岗岩动态力学特性的影响,以高径比为0.8的花岗岩试样为研究对象,测得100、300和500 ℃高温下分别循环2、4和6次前后的纵波波速,利用分离式霍普金森压杆试验装置进行冲击气压为0.25、0.30和0.35 MPa的等幅循环冲击试验,研究温度、高温循环次数、冲击气压和冲击次数对花岗岩试样动力学特征的影响,同时基于Lemaitre连续损伤本构模型和应变等价原理定义循环高温和循环冲击累积损伤因子,分析高温-冲击双循环临界累积损伤因子。结果表明:随着初始高温累积损伤和冲击气压的增加,花岗岩试样第一次冲击的裂纹形态由单一裂纹向复杂裂纹演化,贯通度增加,峰值应力依次减小,峰值应变依次增大;花岗岩试样循环冲击中,第一次冲击和最后一次冲击的峰值应力与峰值应变变化显著;对循环高温处理后花岗岩试样的循环动态冲击累积损伤的影响由大到小依次为冲击气压、温度、高温循环次数,得出临界高温-冲击累积损伤因子在0.625~0.676之间,可为深部资源地下开采安全评估提供理论支撑。

     

  • 图  部分花岗岩试样

    Figure  1.  Some granite samples

    图  试样处理流程

    Figure  2.  Specimen processing procedure

    图  循环高温后花岗岩的表观形貌变化

    Figure  3.  Apparent morphological changes of granite after high-temperature circulation

    图  SHPB试验系统

    Figure  4.  SHPB test system

    图  应力平衡验证

    Figure  5.  Stress balance verification

    图  第一次冲击后部分花岗岩试样的表观形貌

    Figure  6.  Apparent morphologies of some granite samples after the first impact

    图  第一次冲击下花岗岩试样的动态应力-应变曲线

    Figure  7.  First impact dynamic stress-strain curves of granite specimens

    图  第一次冲击下花岗岩试样的峰值应力变化

    Figure  8.  Change of peak stress of granite samples after the first impact

    图  花岗岩试样第一次冲击峰值应变变化

    Figure  9.  Change of peak strain of granite samples after the first impact

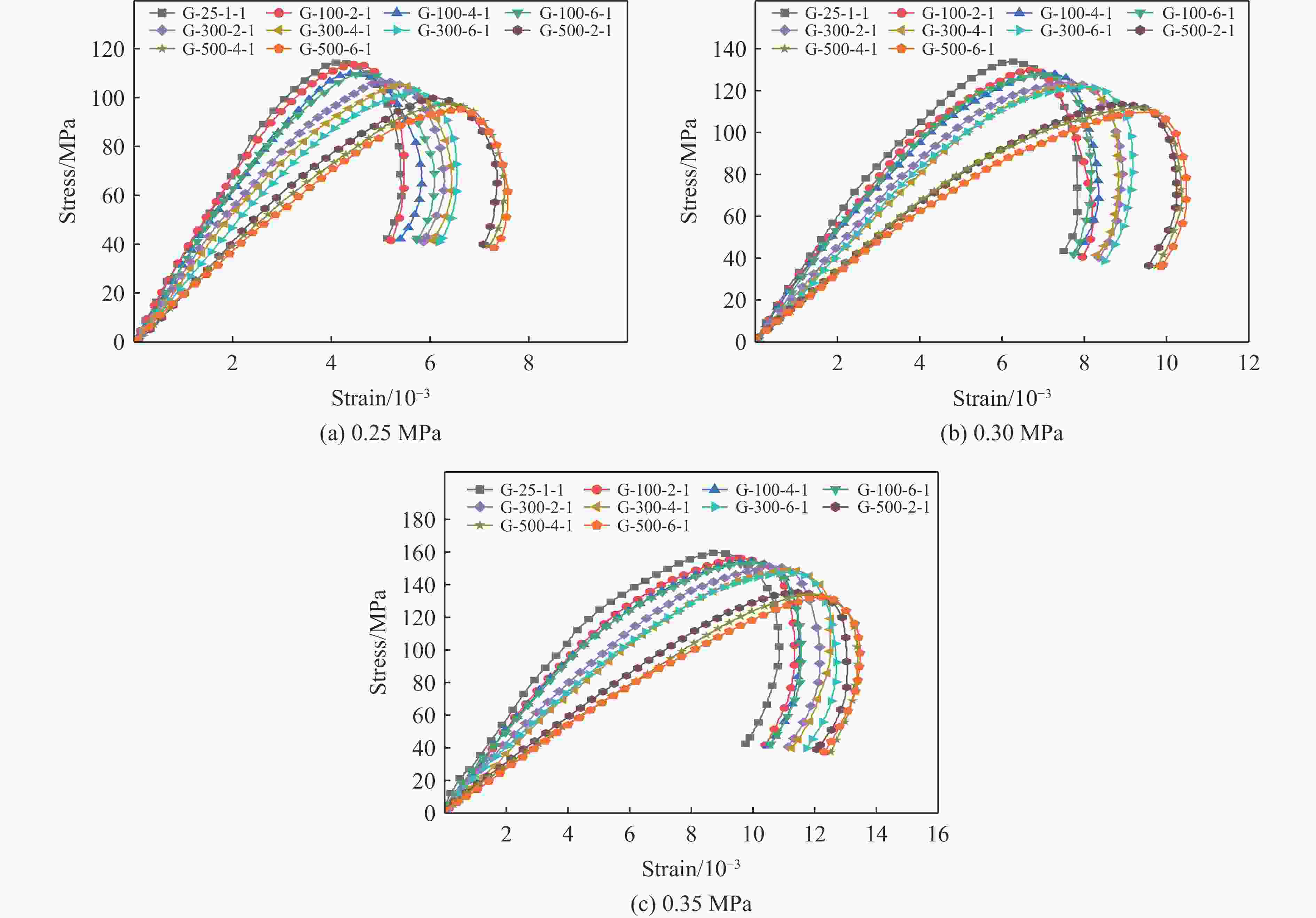
    图  10  花岗岩试样循环冲击部分的动态应力-应变曲线

    Figure  10.  Partial dynamic stress-strain curves of granite specimens under cyclic impact

    图  11  循环冲击下花岗岩试样的峰值应力变化

    Figure  11.  Change of peak stress of granite samples during cyclic impact process

    图  12  循环冲击下花岗岩试样的峰值应变变化

    Figure  12.  Change of peak strain of granite samples during cyclic impact process

    图  13  4次高温循环冲击后花岗岩试样的破坏形貌

    Figure  13.  Failure morphologies of granite specimens after four high-temperature cycles and impact cycles

    图  14  花岗岩试样纵波波速测量

    Figure  14.  Measurement of longitudinal wave velocity of granite samples

    图  15  高温循环下花岗岩高温累积损伤因子变化

    Figure  15.  Variation of granite high-temperature damage factor under high-temperature cycles

    图  16  循环冲击下花岗岩的冲击累积损伤因子变化

    Figure  16.  Variation of impact cumulative damage factor of granite under cyclic impact

    图  17  循环冲击下花岗岩高温-冲击累积损伤因子的变化

    Figure  17.  Variation of high-temperature and impact cumulative damage factor of granite under cyclic impact

  • [1] 朱万成, 唐春安, 左宇军. 深部岩体动态损伤与破裂过程 [M]. 北京: 科学出版社, 2014: 1−3.

    ZHU W C, TANG C A, ZUO Y J. Dynamic damage and fracture process of deep rock mass [M]. Beijing: Science Press, 2014: 1−3.
    [2] 张鸿忠. 热冷循环后花岗岩物理参数演化规律与动态压缩性能研究 [D]. 长沙: 中南大学, 2023: 1−2.

    ZHANG H Z. Study on the evolution of physical parameters and dynamic compression properties of granite after heating and cooling cycles [D]. Changsha: Central South University, 2023: 1−2.
    [3] 谢和平. 深部岩体力学与开采理论研究进展 [J]. 煤炭学报, 2019, 44(5): 1283–1305. doi: 10.13225/j.cnki.jccs.2019.6038

    XIE H P. Research review of the state key research development program of China: deep rock mechanics and mining theory [J]. Journal of China Coal Society, 2019, 44(5): 1283–1305. doi: 10.13225/j.cnki.jccs.2019.6038
    [4] XIA K W, YAO W. Dynamic rock tests using split Hopkinson (Kolsky) bar system—a review [J]. Journal of Rock Mechanics and Geotechnical Engineering, 2015, 7(1): 27–59. doi: 10.1016/j.jrmge.2014.07.008
    [5] XIE H P, ZHANG K, ZHOU C T, et al. Dynamic response of rock mass subjected to blasting disturbance during tunnel shaft excavation: a field study [J]. Geomechanics and Geophysics for Geo-Energy and Geo-Resources, 2022, 8(2): 52. doi: 10.1007/s40948-022-00358-6
    [6] XIE H P, ZHU J B, ZHOU T, et al. Novel three-dimensional rock dynamic tests using the true triaxial electromagnetic Hopkinson bar system [J]. Rock Mechanics and Rock Engineering, 2021, 54(4): 2079–2086. doi: 10.1007/s00603-020-02344-4
    [7] 谢和平, 周宏伟, 薛东杰, 等. 煤炭深部开采与极限开采深度的研究与思考 [J]. 煤炭学报, 2012, 37(4): 535–542. doi: 10.13225/j.cnki.jccs.2012.04.011

    XIE H P, ZHOU H W, XUE D J, et al. Research and consideration on deep coal mining and critical mining depth [J]. Journal of China Coal Society, 2012, 37(4): 535–542. doi: 10.13225/j.cnki.jccs.2012.04.011
    [8] 田诺成. 循环荷载作用下花岗岩动力学性能与累积损伤演化规律研究 [D]. 合肥: 合肥工业大学, 2021: 1−3.

    TIAN N C. Research on dynamic properties and evolution law of cumulative damage of granite under cyclic loading [D]. Hefei: Hefei University of Technology, 2021: 1−3.
    [9] CHEN B, ZHANG S C, SHEN B T, et al. Mechanical properties and failure characteristics of granite treated with a combined water-air cooling cycle [J]. Case Studies in Thermal Engineering, 2022, 34: 101964. doi: 10.1016/j.csite.2022.101964
    [10] RONG G, SHA S, LI B W, et al. Experimental investigation on physical and mechanical properties of granite subjected to cyclic heating and liquid nitrogen cooling [J]. Rock Mechanics and Rock Engineering, 2021, 54(5): 2383–2403. doi: 10.1007/s00603-021-02390-6
    [11] BRAUNAGEL M J, GRIFFITH W A. A split Hopkinson pressure bar method for controlled rapid stress cycling using an oscillating double striker bar [J]. Rock Mechanics and Rock Engineering, 2020, 53: 3845–3851.
    [12] 詹金武, 周亚来, 王雨, 等. 高温-冷却-冲击循环下花岗岩物理损伤及力学劣化试验研究 [J]. 岩土力学, 2024, 45(8): 2362–2372, 2386. doi: 10.16285/j.rsm.2023.1429

    ZHAN J W, ZHOU Y L, WANG Y, et al. Experimental study on physical damage and mechanical degradation of granite subjected to high-temperature cooling impact cycling [J]. Rock and Soil Mechanics, 2024, 45(8): 2362–2372, 2386. doi: 10.16285/j.rsm.2023.1429
    [13] 余莉, 彭海旺, 李国伟, 等. 花岗岩高温-水冷循环作用下的试验研究 [J]. 岩土力学, 2021, 42(4): 1025–1035. doi: 10.16285/j.rsm.2020.1154

    YU L, PENG H W, LI G W, et al. Experimental study on granite under high temperature-water cooling cycle [J]. Rock and Soil Mechanics, 2021, 42(4): 1025–1035. doi: 10.16285/j.rsm.2020.1154
    [14] 王志亮, 杨辉, 田诺成. 单轴循环冲击下花岗岩力学特性与损伤演化机理 [J]. 哈尔滨工业大学学报, 2020, 52(2): 59–66. doi: 10.11918/201811085

    WANG Z L, YANG H, TIAN N C. Mechanical property and damage evolution mechanism of granite under uniaxial cyclic impact [J]. Journal of Harbin Institute of Technology, 2020, 52(2): 59–66. doi: 10.11918/201811085
    [15] 齐文超, 蔡勇智, 何童, 等. 高温水冷循环后玄武岩静态压缩力学特性及宏微观损伤演化规律 [J]. 长江科学院院报, 2025, 42(2): 145–154. doi: 10.11988/ckyyb.20230920

    QI W C, CAI Y Z, HE T, et al. Mechanical characteristics and macromicro damage evolution of basalt under static compression after high temperature water cooling cycles [J]. Journal of Yangtze River Scientific Research Institute, 2025, 42(2): 145–154. doi: 10.11988/ckyyb.20230920
    [16] 刘康琦, 刘红岩, 周月智, 等. 循环冲击荷载作用下单节理岩体的动态力学行为 [J]. 爆炸与冲击, 2025, 45(6): 061423. doi: 10.11883/bzycj-2024-0353

    LIU K Q, LIU H Y, ZHOU Y Z, et al. Dynamic mechanical behaviors of single-jointed rock mass under cyclic impact loadings [J]. Explosion and Shock Waves, 2025, 45(6): 061423. doi: 10.11883/bzycj-2024-0353
    [17] 王伟, 刘泽, 牛庆合, 等. 循环冲击作用下砂岩裂缝扩展及渗透率响应特征 [J]. 爆炸与冲击, 2025, 45(6): 061421. doi: 10.11883/bzycj-2024-0346

    WANG W, LIU Z, NIU Q H, et al. Characteristics of fracture propagation and permeability response of sandstone under cyclic impact effect [J]. Explosion and Shock Waves, 2025, 45(6): 061421. doi: 10.11883/bzycj-2024-0346
    [18] 杨逾, 魏珂, 刘文洲. 基于Lemaitre原理改进砂岩蠕变损伤模型研究 [J]. 力学季刊, 2018, 39(1): 164–170.

    YANG Y, WEI K, LIU W Z. Study on the creep damage model of sandstone based on the principle of lemaitre improvement [J]. Chinese Quarterly of Mechanics, 2018, 39(1): 164–170.
    [19] ZHOU Y X, XIA K, LI X B, et al. Suggested methods for determining the dynamic strength parameters and mode-Ⅰ fracture toughness of rock materials [J]. International Journal of Rock Mechanics and Mining Sciences, 2012, 49: 105–112. doi: 10.1016/j.ijrmms.2011.10.004
    [20] HUDSON J A, HARRISON J P. Rock dynamics and time-dependent aspects [M]//HUDSON J A, HARRISON J P. Engineering Rock Mechanics: An Introduction to the Principles. Amsterdam: Elsevier, 1997: 207−221.
    [21] FAIRHURST C E, HUDSON J A. Draft ISRM suggested method for the complete stress-strain curve for intact rock in uniaxial compression [J]. International Journal of Rock Mechanics and Mining Sciences, 1999, 36(3): 281–289. doi: 10.1016/S0148-9062(99)00006-6
    [22] 杨科, 刘文杰, 马衍坤, 等. 煤岩组合体冲击动力学特征试验研究 [J]. 煤炭学报, 2022, 47(7): 2569–2581. doi: 10.13225/j.cnki.jccs.2021.1279

    YANG K, LIU W J, MA Y K, et al. Experimental research on dynamic characteristics of coal-rock combined specimen [J]. Journal of China Coal Society, 2022, 47(7): 2569–2581. doi: 10.13225/j.cnki.jccs.2021.1279
    [23] 王倩倩. 基于不同循环静载的损伤砂岩静动态力学性能研究 [D]. 淮南: 安徽理工大学, 2021: 55−56.

    WANG Q Q. Study on static and dynamic mechanical properties of damaged sandstone under different cyclic static loads [D]. Huainan: Anhui University of Science and Technology, 2021: 55−56.
    [24] 张蓉蓉, 沈永辉, 马冬冬, 等. 循环冲击作用下冻融红砂岩动力学特性与损伤机理 [J]. 爆炸与冲击, 2024, 44(8): 081443. doi: 10.11883/bzycj-2023-0449

    ZHANG R R, SHEN Y H, MA D D, et al. Dynamic characteristics and damage mechanism of freeze-thaw treated red sandstone under cyclic impact [J]. Explosion and Shock Waves, 2024, 44(8): 081443. doi: 10.11883/bzycj-2023-0449
    [25] 中华人民共和国国家质量监督检验检疫总局, 中国国家标准化管理委员会. 煤和岩石物理力学性质测定方法 第8部分: 煤和岩石变形参数测定方法: GB/T 23561.8—2009 [S]. 北京: 中国标准出版社, 2009.

    General Administration of Quality Supervision, Inspection and Quarantine of the People’s Republic of China, Standardization Administration of the People’s Republic of China. Methods for determining the physical and mechanical properties of coal and rock—part 8: methods for determining the deformation parameters of coal and rock: GB/T 23561.8—2009 [S]. Beijing: Standards Press of China, 2009.
    [26] ASTM. Standard test methods for compressive strength and elastic moduli of intact rock core specimens under varying states of stress and temperatures: ASTM D7012-14e1 [S]. Pennsylvania: ASTM International, 2014.
    [27] MA D D, XIANG H S, MA Q Y, et al. Dynamic damage constitutive model of frozen silty soil with prefabricated crack under uniaxial load [J]. Journal of Engineering Mechanics, 2021, 147(6): 04021033. doi: 10.1061/(ASCE)EM.1943-7889.0001933
  • 加载中
图(17)
计量
  • 文章访问数:  413
  • HTML全文浏览量:  217
  • PDF下载量:  32
出版历程
  • 收稿日期:  2025-05-14
  • 修回日期:  2025-06-09
  • 网络出版日期:  2025-06-11
  • 刊出日期:  2025-12-05

目录

    /

    返回文章
    返回