Influence of Ammonium Formate Content on Rheological and Thermal Decomposition Properties of On-Site Mixed Emulsion Matrix
-
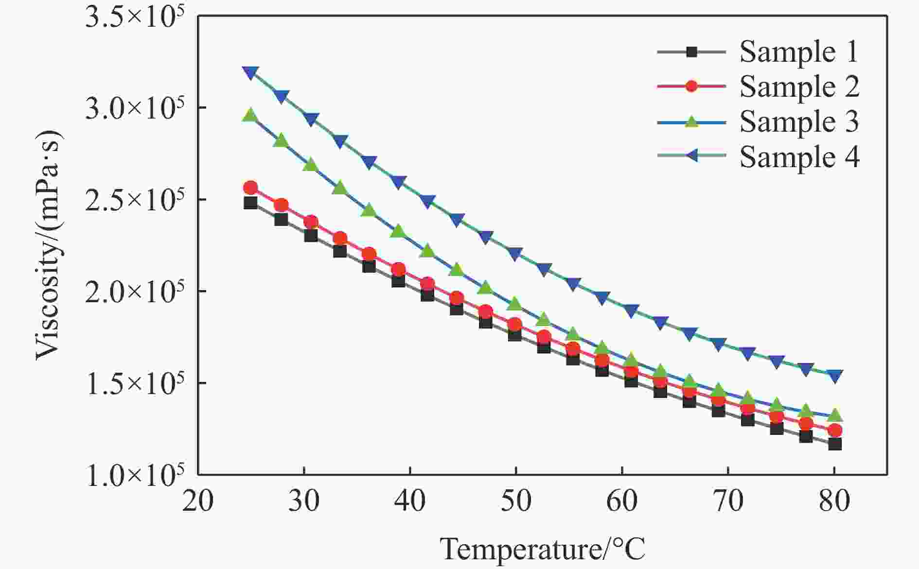
摘要: 为提高现场混装乳化炸药的耐高温性能,制备了4种不同甲酸铵含量的现场混装乳化炸药基质样品。采用旋转流变仪和同步热分析仪研究了4种样品的流动性、黏弹性、黏温及其热分解性能。结果表明:加入甲酸铵可以提高现场混装乳胶基质的黏度,且随着甲酸铵质量分数的增加,样品的黏度出现先增大后减小的趋势;与未添加甲酸铵的样品相比,加入甲酸铵的样品的弹性模量增大,稳定性增强;当甲酸铵的质量分数不大于9%时,在50 ℃左右的温度下,乳胶基质的黏度均能够满足泵送要求;甲酸铵的加入对乳胶基质的热分解过程没有明显影响;随着甲酸铵质量分数的增加,其外推起始分解温度、活化能、热爆炸临界温度和自加速分解温度均有所增加,现场混装乳胶基质的热稳定性和热安全性得到提升。
-
关键词:
- 现场混装乳化炸药基质 /
- 甲酸铵 /
- 流变性能 /
- 热分解性能
Abstract: To enhance the heat-resistant performance of on-site mixed emulsion explosives, four kinds of on-site mixed emulsion explosive matrix samples were prepared by adding ammonium formate with different concentrations into corresponding aqueous phase system, respectively. The fluidity, viscoelasticity, viscosity-temperature, and thermal decomposition properties of the four kinds of samples were investigated through rotational rheometer and synchronous thermal analyzer. The results revealed that the addition of ammonium formate increases the viscosity of the on-site mixed emulsion matrix, and the viscosity of the four kinds of samples exhibits a trend of first increase and then decrease with the increase of ammonium formate mass fraction. Compared with the sample without ammonium formate, the addition of ammonium formate improve the elastic modulus of the emulsion matrix and enhances its stability. When the mass fraction of ammonium formate is not greater than 9%, the viscosity of the emulsion matrix at around 50 ℃ meets the pumping requirements. The addition of ammonium formate shows no significant influence on the thermal decomposition process of the emulsion matrix. However, as ammonium formate mass fraction increases, the extrapolated initial decomposition temperature, activation energy, thermal explosion critical temperature, as well as self-accelerating decomposition temperature all increase, leading to improved thermal stability and thermal safety of the on-site mixed emulsion matrix. -
表 1 乳胶基质配方
Table 1. Formulation of emulsion matrix
Samples Mass fraction/% AN SN Water Ammonium formate Engine oil Diesel Span-80 1 72 5 16 0 2.5 2.5 2 2 69 5 16 3 2.5 2.5 2 3 66 5 16 6 2.5 2.5 2 4 63 5 16 9 2.5 2.5 2 表 2 乳胶基质的$G'_{\mathrm{m}} $、$\gamma_{\mathrm{cr}} $与内聚力
Table 2. Emulsion matrix $G'_{\mathrm{m}} $,$\gamma_{\mathrm{cr}} $ and cohesion
Samples $G'_{\mathrm{m}} $/Pa $\gamma_{\mathrm{cr}} $/% Cohesion/Pa 1 815 4.59 37.41 2 861 4.36 37.53 3 984 4.26 41.92 4 1 010 3.94 39.79 表 3 4种样品的热分解特征温度
Table 3. Thermal decomposition characteristic temperatures of the four kinds of samples
Samples Tonset/℃ Tp/℃ Te/℃ 1 238.36 264.83 278.35 2 245.41 266.24 285.73 3 251.76 282.42 295.08 4 256.65 282.71 296.10 表 4 Kissger法计算得到的$E_\text{a}$和${\mathrm{lg}}\;A_{\mathrm{k}} $
Table 4. $E_\text{a} $ and ${\mathrm{lg}}\;A_{\mathrm{k}} $ calculated through Kissinger method
Samples $E_\text{a} $/(kJ·mol−1) lg Ak/(kJ·mol−1) R2 1 103.61 6.69 0.984 2 2 124.33 8.75 0.995 9 3 151.42 10.97 0.989 0 4 178.06 13.58 0.995 0 表 5 4种样品的$T_{\mathrm{b}} $和$T_{{\mathrm{SADT}}} $
Table 5. $T_{\mathrm{b}} $ and $T_{{\mathrm{SADT}}} $ of four kinds of samples
Samples Tb/℃ TSADT/℃ 1 229.52 188.96 2 261.12 222.94 3 268.01 240.67 4 282.67 248.81 表 6 4种样品的$\Delta {H^ \ne } $、$\Delta {S^ \ne } $和$\Delta {G^ \ne } $
Table 6. $\Delta {H^ \ne } $、 $\Delta {S^ \ne } $ and $\Delta {G^ \ne } $ of four kinds of samples
Samples ΔH≠/(kJ·mol−1) ∆S≠/(J·mol−1·K−1) ∆G≠/(kJ·mol−1) 1 99.60 −63.47 130.21 2 120.04 −24.45 132.65 3 146.94 17.63 137.44 4 173.67 67.74 137.94 -
[1] 汪旭光. 乳化炸药 [M]. 2版. 北京: 冶金工业出版社, 2008: 3−5.WANG X G. Emulsion explosives [M]. 2nd ed. Beijing: Metallurgical Industry Press, 2008: 3−5. [2] 陈皓楠. 酰化磷脂复合乳化剂对现场混装乳化炸药基质稳定性能的影响 [D]. 淮南: 安徽理工大学, 2023: 13−14.CHEN H N. Effect of acylated phospholipid emulsifier on properties of field mixed emulsion explosive [D]. Huainan: Anhui University of Science and Technology, 2023: 13−14. [3] OXLEY J C, SMITH J L, ROGERS E, et al. Ammonium nitrate: thermal stability and explosivity modifiers [J]. Thermochimica Acta, 2002, 384(1/2): 23–45. doi: 10.1016/S0040-6031(01)00775-4 [4] KALJUVEE T, EDRO E, KUUSIK R. Influence of lime-containing additives on the thermal behaviour of ammonium nitrate [J]. Journal of Thermal Analysis and Calorimetry, 2008, 92(1): 215–221. doi: 10.1007/s10973-007-8769-1 [5] DJERDJEV A M, PRIYANANDA P, GORE J, et al. Safer emulsion explosives resulting from NO x inhibition [J]. Chemical Engineering Journal, 2021, 403: 125713. doi: 10.1016/j.cej.2020.125713 [6] 邸云信, 冯超. 硫化矿内现场混装乳化炸药自燃自爆影响因素分析 [J]. 工程爆破, 2023, 29(4): 138–142. doi: 10.19931/j.EB.20230147DI Y X, FENG C. Analysis of influencing factors of spontaneous combustion and spontaneous explosion of on-site mixed emulsion explosive in sulfide ore [J]. Engineering Blasting, 2023, 29(4): 138–142. doi: 10.19931/j.EB.20230147 [7] 刘伟, 郭子如, 王洋, 等. 耐热型铵油炸药的制备及性能 [J]. 火炸药学报, 2020, 43(4): 372–377. doi: 10.14077/j.issn.1007-7812.201908002LIU W, GUO Z R, WANG Y, et al. Preparation and properties of heat-resistant ammonium nitrate fuel oil explosive [J]. Chinese Journal of Explosives & Propellants, 2020, 43(4): 372–377. doi: 10.14077/j.issn.1007-7812.201908002 [8] 林谋金, 代永富, 陆路, 等. 吸水树脂对粉状乳化炸药耐热及爆炸性能影响 [J]. 爆破, 2022, 39(4): 148–152, 170. doi: 10.3963/j.issn.1001-487X.2022.04.021LIN M J, DAI Y F, LU L, et al. Effect of super absorbent polymer on heat-resistant and explosive performance of powder emulsion explosives [J]. Blasting, 2022, 39(4): 148–152, 170. doi: 10.3963/j.issn.1001-487X.2022.04.021 [9] 汪扬文, 何志伟, 孟涛, 等. 多孔粒状铵油炸药热分解抑制剂的研究 [J]. 火工品, 2021(4): 52–55. doi: 10.3969/j.issn.1003-1480.2021.04.014WANG Y W, HE Z W, MENG T, et al. Study on thermal decomposition inhibitor of porous granular ANFO explosive [J]. Initiators & Pyrotechnics, 2021(4): 52–55. doi: 10.3969/j.issn.1003-1480.2021.04.014 [10] 吴春来. 尿素对乳化炸药水相的负面影响 [J]. 采矿技术, 2016, 16(2): 94–96. doi: 10.13828/j.cnki.ckjs.2016.02.034 [11] 张功震, 何志伟, 冉宪文, 等. ANPyO@PDA复合材料的制备、表征及热分解性能 [J]. 高压物理学报, 2023, 37(6): 063402. doi: 10.11858/gywlxb.20230697ZHANG G Z, HE Z W, RAN X W, et al. Preparation, characterization and thermal decomposition properties of ANPyO@PDA composites [J]. Chinese Journal of High Pressure Physics, 2023, 37(6): 063402. doi: 10.11858/gywlxb.20230697 [12] 杨有万, 赵海荣, 张凯铭, 等. 现场混装乳化炸药基质的流变性研究 [J]. 爆破器材, 2018, 47(3): 14–18. doi: 10.3969/j.issn.1001-8352.2018.03.003YANG Y W, ZHAO H R, ZHANG K M, et al. Study on rheology of bulk emulsion explosive matrix [J]. Explosive Materials, 2018, 47(3): 14–18. doi: 10.3969/j.issn.1001-8352.2018.03.003 [13] 吴红波, 杨柳, 沈占军, 等. 二甲基亚砜对乳胶基质耐低温性能及热分解特性的影响 [J]. 含能材料, 2022, 30(3): 242–249. doi: 10.11943/CJEM2021176WU H B, YANG L, SHEN Z J, et al. Effect of dimethyl sulfoxide on low temperature resistance and thermal decomposition of emulsion explosive matrix [J]. Chinese Journal of Energetic Materials, 2022, 30(3): 242–249. doi: 10.11943/CJEM2021176 [14] 蒋小华, 王玮, 宫敬. 稠油包水乳状液的表观黏度 [J]. 化工学报, 2008, 59(3): 721–727. doi: 10.3321/j.issn:0438-1157.2008.03.029JIANG X H, WANG W, GONG J. Apparent viscosity of water-in-heavy crude oil emulsion [J]. Journal of Chemical Industry and Engineering (China), 2008, 59(3): 721–727. doi: 10.3321/j.issn:0438-1157.2008.03.029 [15] 马平, 谭本岭, 叶辉, 等. 乳胶基质黏度影响因素研究 [J]. 工程爆破, 2015, 21(3): 9–12. doi: 10.3969/j.issn.1006-7051.2015.03.003MA P, TAN B L, YE H, et al. Studies on the influence factors of emulsion matrix viscosity [J]. Engineering Blasting, 2015, 21(3): 9–12. doi: 10.3969/j.issn.1006-7051.2015.03.003 [16] 欧阳顺利, 张明哲, 胡庆成, 等. 二甲基亚砜水溶液表面张力及粘度与氢键的拉曼光谱研究 [J]. 光谱学与光谱分析, 2018, 38(9): 2778–2781. doi: 10.3964/j.issn.1000-0593(2018)09-2778-04OUYANG S L, ZHANG M Z, HU Q C, et al. Hydrogen bonding effect on the surface tension and viscosity of DMSO aqueous solutions studied by Raman spectroscopy [J]. Spectroscopy and Spectral Analysis, 2018, 38(9): 2778–2781. doi: 10.3964/j.issn.1000-0593(2018)09-2778-04 [17] 龚悦, 何杰, 汪旭光, 等. 钛粉对乳化炸药爆轰性能和热分解特性的影响 [J]. 含能材料, 2017, 25(4): 304–308. doi: 10.11943/j.issn.1006-9941.2017.04.006GONG Y, HE J, WANG X G, et al. Influence of titanium powder on detonation performances and thermal decomposition characteristics of emulsion explosive [J]. Chinese Journal of Energetic Materials, 2017, 25(4): 304–308. doi: 10.11943/j.issn.1006-9941.2017.04.006 [18] 武海英. 高分子乳化剂对现场混装乳化炸药稳定性的影响 [D]. 北京: 北京理工大学, 2016: 23−27.WU H Y. Effects of polymer emulsifiers on stability of site-mixed emulsion explosives [D]. Beijing: Beijing Institute of Technology, 2016: 23−27. [19] 黄胜松, 赵明生, 张义平, 等. 水相pH对现场混装乳化炸药基质储存稳定性的影响研究 [J]. 矿业研究与开发, 2020, 40(7): 111–114. doi: 10.13827/j.cnki.kyyk.2020.07.022HUANG S S, ZHAO M S, ZHANG Y P, et al. Effect of pH value of aqueous phase on storage stability of on-site mixed emulsion explosive matrix [J]. Mining Research and Development, 2020, 40(7): 111–114. doi: 10.13827/j.cnki.kyyk.2020.07.022 [20] 魏国, 刘锋, 吴攀宇, 等. 油相配比对现场混装乳胶基质黏度及爆轰参数的影响 [J]. 工程爆破, 2022, 28(2): 105–110. doi: 10.19931/j.eb.20210048WEI G, LIU F, WU P Y, et al. Effect of oil phase ratio on viscosity and detonation parameters of on-site mixed emulsion matrix [J]. Engineering Blasting, 2022, 28(2): 105–110. doi: 10.19931/j.eb.20210048 [21] 牛草原, 黄文尧, 刘小辉, 等. 多孔粒状硝酸铵含量对现场混装乳化炸药的性能影响 [J]. 火炸药学报, 2023, 46(11): 999–1006. doi: 10.14077/j.issn.1007-7812.202302017NIU C Y, HUANG W Y, LIU X H, et al. Influence of porous granular ammonium nitrate content on the performance of field mixed emulsion explosive [J]. Chinese Journal of Explosives & Propellants, 2023, 46(11): 999–1006. doi: 10.14077/j.issn.1007-7812.202302017 [22] WANG S, XU Z X, WANG Q. Thermal decomposition mechanism of emulsion explosives with phosphatide [J]. Journal of Thermal Analysis and Calorimetry, 2016, 124(2): 1053–1062. doi: 10.1007/s10973-015-5187-7 [23] 胡洁, 黄文尧, 孙彦臣, 等. 六亚甲基四胺含量对铵胺炸药性能的影响 [J]. 高压物理学报, 2023, 37(5): 055201. doi: 10.11858/gywlxb.20230691HU J, HUANG W Y, SUN Y C, et al. Effect of hexamethylenetetramine content on the performance of ammonium-amine explosives [J]. Chinese Journal of High Pressure Physics, 2023, 37(5): 055201. doi: 10.11858/gywlxb.20230691 [24] 束学来, 郑炳旭, 郭子如, 等. 耐热炸药机理分析与优化浅析 [J]. 工程爆破, 2014, 20(5): 59–63. doi: 10.3969/j.issn.1006-7051.2014.05.013SHU X L, ZHENG B X, GUO Z R, et al. Mechanism and optimization analysis of heat-resistant explosives [J]. Engineering Blasting, 2014, 20(5): 59–63. doi: 10.3969/j.issn.1006-7051.2014.05.013 [25] XIAO L B, GAO H X, ZHAO F Q, et al. Thermal behavior and safety of dihydroxylammonium 3,3’-dinitroamino-4,4’-azoxyfurazanate [J]. Chinese Journal of Explosives & Propellants, 2020, 43(1): 24–27, 32. doi: 10.14077/j.issn.1007-7812.201901016 [26] 汤崭, 杨利, 乔小晶, 等. HMX热分解动力学与热安全性研究 [J]. 含能材料, 2011, 19(4): 396–400. doi: 10.3969/j.issn.1006-9941.2011.04.010TANG Z, YANG L, QIAO X J, et al. On thermal decomposition kinetics and thermal safety of HMX [J]. Chinese Journal of Energetic Materials, 2011, 19(4): 396–400. doi: 10.3969/j.issn.1006-9941.2011.04.010 -

下载: