Thermal Radiation Characteristics of RDX-Based PBX Explosives during Shock-Induced Ignition Reactions
-
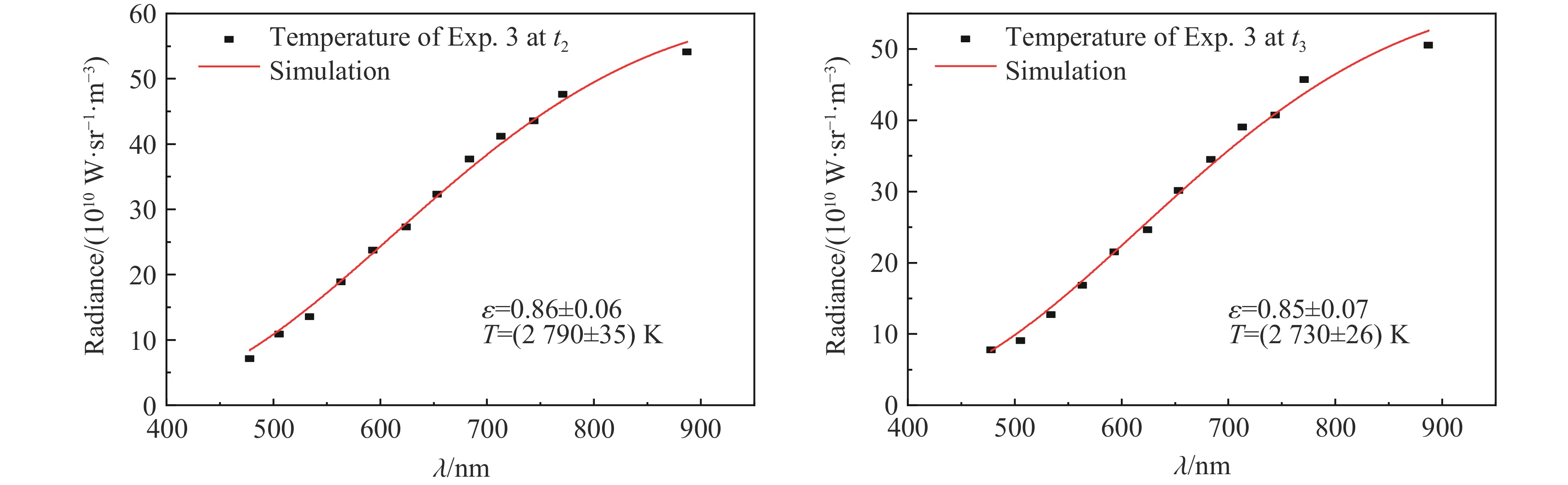
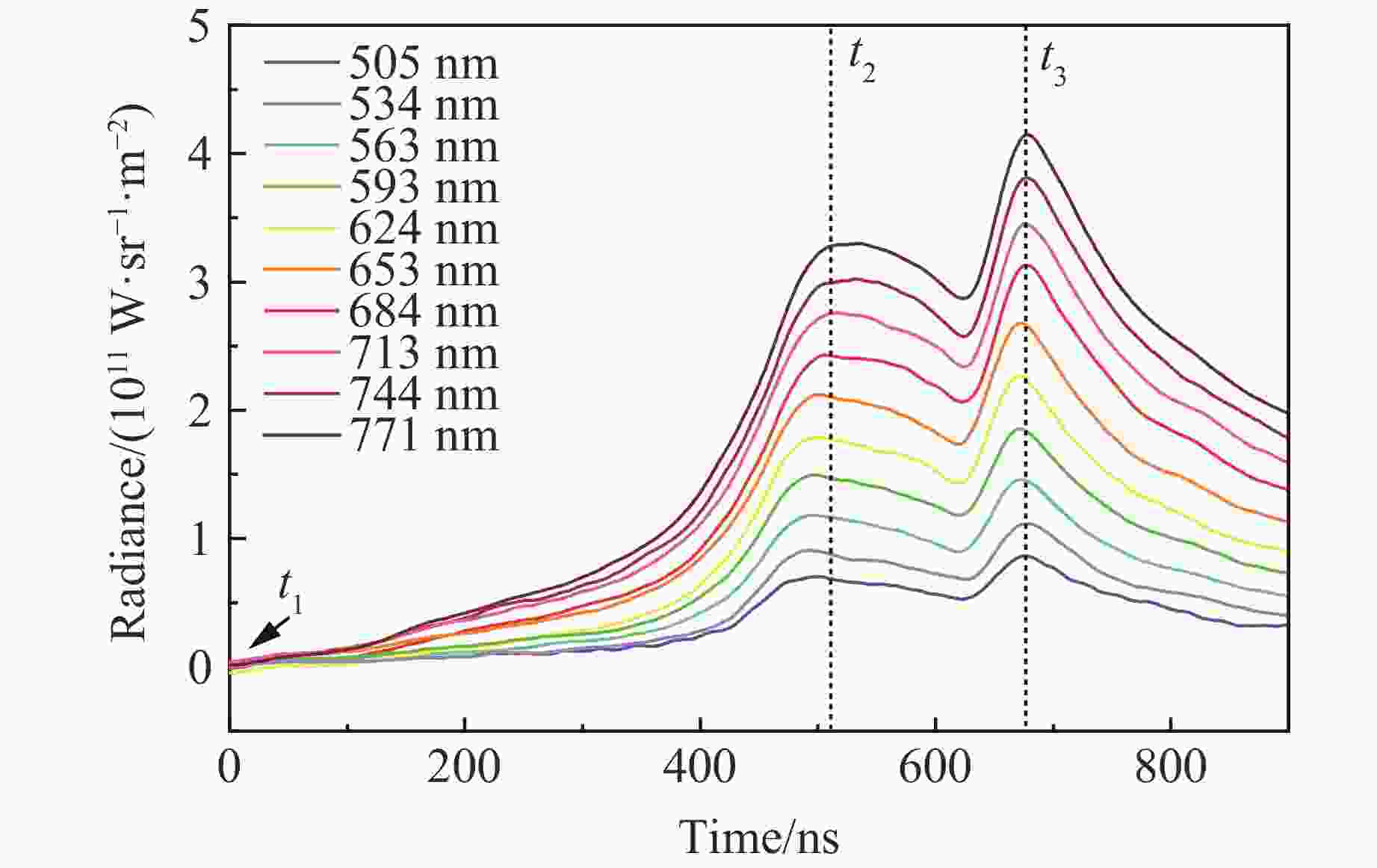
摘要: 研究冲击波流场中聚合物黏结炸药的热辐射特性可能是获取相关物质组分温度数据的重要途径。利用二级轻气炮加载技术、瞬态辐射测温方法及粒子速度剖面测量技术,探讨了聚合物黏结炸药/氟化锂窗口界面的热辐射特性及其与界面压力之间的相关性;同时,还优化了聚合物黏结炸药样品制备方法,显著抑制了包裹气体和界面间隙发光背景,给出了界面辐亮度数据及界面温度数据。结果表明,在连续2次冲击加载过程中,界面温度随时间衰减特征与反应产物的等熵膨胀行为密切相关,界面温度反映了界面处产物温度的演化行为,为直接观测点火反应和起爆释能期间非均质复合炸药的反应产物温度数据提供了一种可行的技术途径。Abstract: Studying the impact initiation radiation and temperature of polymer bonded explosives in the shock wave flow is crucial for understanding and predicting their reaction kinetics and detonation behavior. This work uses the two-stage light gas gun for shock loading, transient radiation pyrometer temperature measurement, and laser displacement interference system, to study the thermal radiation characteristics of the polymer bonded explosive/lithium fluoride window interface and its correlation with the interface pressure. This work optimized the polymer bonded explosives sample preparation method, significantly suppressed the luminous background of the wrapped gas and interface gap, and provided interface radiance data and interface temperature data. The results show that the time attenuation characteristics of the interface temperature during two consecutive impact loading processes are closely related to the isentropic expansion behavior of the reaction products, and the interface temperature reflects the temperature evolution behavior of the products at the interface. It provides a feasible technical way to directly obtained the reaction product temperature of heterogeneous composite explosives during the ignition reaction and energy release.
-
表 1 样品密度及样品靶的几何参数
Table 1. Sample density and geometric parameters of the sample target
Experiment No. ρs/(g·cm−3) vF/(km·s–1) hF/mm hp1/mm hA/mm hp2/mm hs/mm hw/mm 1 1.71 1.32 3.00 1.00 0.40 4.00 2.01 6.02 2 1.71 1.54 3.00 1.00 0.40 3.99 1.86 6.01 3 1.68 1.42 3.00 1.00 0.40 2.26 1.97 3.00 4 1.81 1.38 3.00 0.97 0.41 2.39 1.95 5.20 -
[1] BRADY J J, ARGIRAKIS B L, GORDON A D, et al. Polymorphic phase control of RDX-based explosives [J]. Applied Spectroscopy, 2018, 72(1): 28–36. doi: 10.1177/0003702817712259 [2] YOUNG G, WILSON D P, KESSLER M, et al. Ignition and combustion characteristics of Al/RDX/NC nanostructured microparticles [J]. Combustion Science and Technology, 2021, 193(13): 2259–2275. doi: 10.1080/00102202.2020.1733541 [3] WANG B B, LIAO X, DELUCA L T, et al. Effects of particle size and content of RDX on burning stability of RDX-based propellants [J]. Defence Technology, 2022, 18(7): 1247–1256. doi: 10.1016/j.dt.2021.05.009 [4] GRILLI N, KOSLOWSKI M. The effect of crystal orientation on shock loading of single crystal energetic materials [J]. Computational Materials Science, 2018, 155: 235–245. doi: 10.1016/j.commatsci.2018.08.059 [5] SZALA M. Development trends in artillery ammunition propellants [J]. Materiały Wysokoenergetyczne, 2020, 12(2): 5–16. doi: 10.22211/matwys/0196 [6] LI Y, JIANG C L, WANG Z C, et al. Experimental study on reaction characteristics of PTFE/Ti/W energetic materials under explosive loading [J]. Materials, 2016, 9(11): 936. doi: 10.3390/ma9110936 [7] ZEMAN S, JUNGOVÁ M. Sensitivity and performance of energetic materials [J]. Propellants, Explosives, Pyrotechnics, 2016, 41(3): 426–451. doi: 10.1002/prep.201500351 [8] BRILL T B, RUSSELL T P, TAO W C, et al. Decomposition, combustion, and detonation chemistry of energetic materials [C]//Proceedings of the Materials Research Society Symposium Proceedings. Pittsburgh: Materials Research Society, 1996. [9] MA J C, CHINNAM A K, CHENG G B, et al. 1, 3, 4-oxadiazole bridges: a strategy to improve energetics at the molecular level [J]. Angewandte Chemie, 2021, 133(10): 5557–5564. doi: 10.1002/ange.202014207 [10] 钟凯, 刘建, 王林元, 等. 含能材料中“热点”的理论模拟研究进展 [J]. 含能材料, 2018, 26(1): 11–20. doi: 10.11943/j.issn.1006-9941.2018.01.002ZHONG K, LIU J, WANG L Y, et al. Lssue of ‘hot-spot’ in energetic materials: recent progresses of modeling and calculations [J]. Chinese Journal of Energetic Materials, 2018, 26(1): 11–20. doi: 10.11943/j.issn.1006-9941.2018.01.002 [11] 经福谦, 陈俊祥. 动高压原理与技术 [M]. 北京: 国防工业出版社, 2006: 121−128.JING F Q, CHEN J X. Dynamic high-pressure generation principle and related technologies [M]. Beijing: National Defense Industry Press, 2006: 121−128. [12] BARUA A, HORIE Y, ZHOU M. Energy localization in HMX-estane polymer-bonded explosives during impact loading [J]. Journal of Applied Physics, 2012, 111(5): 054902. doi: 10.1063/1.3688350 [13] BARUA A, KIM S, HORIE Y, et al. Ignition criterion for heterogeneous energetic materials based on hotspot size-temperature threshold [J]. Journal of Applied Physics, 2013, 113(6): 064906. doi: 10.1063/1.4792001 [14] OWENS F J, SHARMA J. X-ray photoelectron spectroscopy and paramagnetic resonance evidence for shock-induced intramolecular bond breaking in some energetic solids [J]. Journal of Applied Physics, 1980, 51(3): 1494–1497. doi: 10.1063/1.327798 [15] BOTCHER T R, WIGHT C A. Explosive thermal decomposition mechanism of RDX [J]. The Journal of Physical Chemistry, 1994, 98(21): 5441–5444. doi: 10.1021/j100072a009 [16] DATTELBAUM D M, SHEFFIELD S A, GUSTAVSEN R L. In-situ electromegnetic gauging and its application to shock compression science and detonation physcis: LA-UR-11-00984 [R]. Los Alamos: Los Alamos National Laboratory, 2011. [17] BOURNE N K, MILNE A M. The temperature of a shock-collapsed cavity [J]. Proceedings of the Royal Society A: Mathematical, Physical and Engineering Sciences, 2003, 459(2036): 1851–1861. doi: 10.1098/rspa.2002.1101 [18] KARAKHANOV S M, PLASTININ A V, BORDZILOVSKII D S, et al. Time of hot-spot formation in shock compression of microballoons in a condensed medium [J]. Combustion, Explosion, and Shock Waves, 2016, 52(3): 350–357. doi: 10.1134/S0010508216030151 [19] BOURNE N K, FIELD J E. Shock-induced collapse and luminescence by cavities [J]. Philosophical Transactions of the Royal Society A: Mathematical, Physical and Engineering Sciences, 1999, 357(1751): 295–311. doi: 10.1098/rsta.1999.0328 [20] WANG Y P, LIU F S, LIU Q J, et al. Raman spectra of liquid nitromethane under singly shocked conditions [J]. Chinese Journal of Chemical Physics, 2016, 29(2): 161–166. doi: 10.1063/1674-0068/29/cjcp1503037 [21] 谭华. 金属的冲击波温度测量(Ⅰ)—高温计的标定和界面温度的确定 [J]. 高压物理学报, 1994, 8(4): 254–263. doi: 10.11858/gywlxb.1994.04.003TAN H. Shock temperature measurements for metal (Ⅰ)—calibration of pyrometers and data reduction for the temperature at the interface [J]. Chinese Journal of High Pressure Physics, 1994, 8(4): 254–263. doi: 10.11858/gywlxb.1994.04.003 [22] SHEN Y R, KUMAR R S, PRAVICA M, et al. Characteristics of silicone fluid as a pressure transmitting medium in diamond anvil cells [J]. Review of Scientific Instruments, 2004, 75(11): 4450–4454. doi: 10.1063/1.1786355 [23] GIBBS T R, POPOLATO A. LASL explosive property data [M]. Berkeley: University of California Press, 1980: 141–151. [24] MITCHELL A C, NELLIS W J. Shock compression of aluminum, copper, and tantalum [J]. Journal of Applied Physics, 1981, 52(5): 3363–3374. doi: 10.1063/1.329160 [25] COPPARI F, LAZICKI A, FRATANDUONO D, et al. New Hugoniot measurements on LiF and diamond from laser-driven compression [C]//Proceedings of the APS Topical Conference on the Shock Compression of Matter, 2015. [26] LU J P. Evaluation of the thermochemical code-CHEETAH 2.0 for modelling explosives performance: DSTO-TR-1199 [R]. Aeronautical and Maritime Research Laboratory, 2001: 1−24. [27] HOBBS M L, BAER M R. Calibrating the BKW-EOS with a large product species data base and measured C-J properties [C]//Proceedings of the 10th Symposium (International) on Detonation. Boston: Office of Naval Research, 1993: 409−418. [28] HENGLEIN F A. Chemical technology [M]. 2nd ed. Oxford: Pergamon Press, 1969: 718−728. [29] RAVINDRAN T R, RAJAN R, VENKATESAN V. Review of phase transformations in energetic materials as a function of pressure and temperature [J]. The Journal of Physical Chemistry C, 2019, 123(48): 29067–29085. doi: 10.1021/acs.jpcc.9b04885 [30] LOBOIKO B G, LUBYATINSKY S N. Reaction zones of detonating solid explosives [J]. Combustion, Explosion, and Shock Waves, 2000, 36(6): 716–733. doi: 10.1023/A:1002898505288 [31] KARIMI M, OCHS B, LIU Z F, et al. Measurement of methane autoignition delays in carbon dioxide and argon diluents at high pressure conditions [J]. Combustion and Flame, 2019, 204: 304–319. doi: 10.1016/j.combustflame.2019.03.020 [32] CHEN J N, LI A N, HUANG Z, et al. Numerical study on CO2 non-equilibrium condensation considering shock waves for the potential of flue gas decarbonization [J]. International Communications in Heat and Mass Transfer, 2023, 144: 106749. doi: 10.1016/j.icheatmasstransfer.2023.106749 -

下载: