Acoustic Emission Characteristics and Crack Types Evolution of Soft and Hard Interbedded Rock-Like Specimens under Uniaxial Compression
-
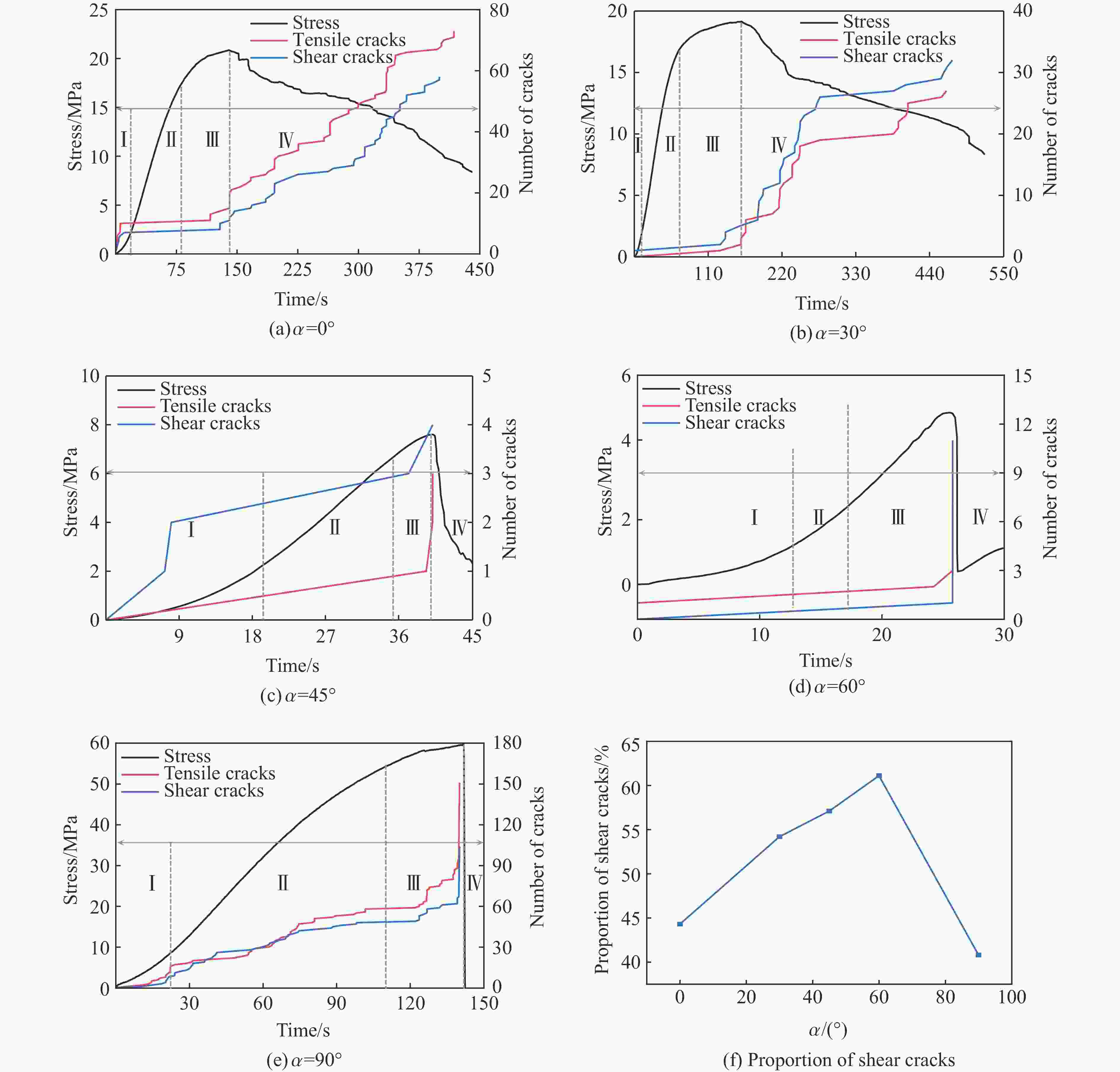
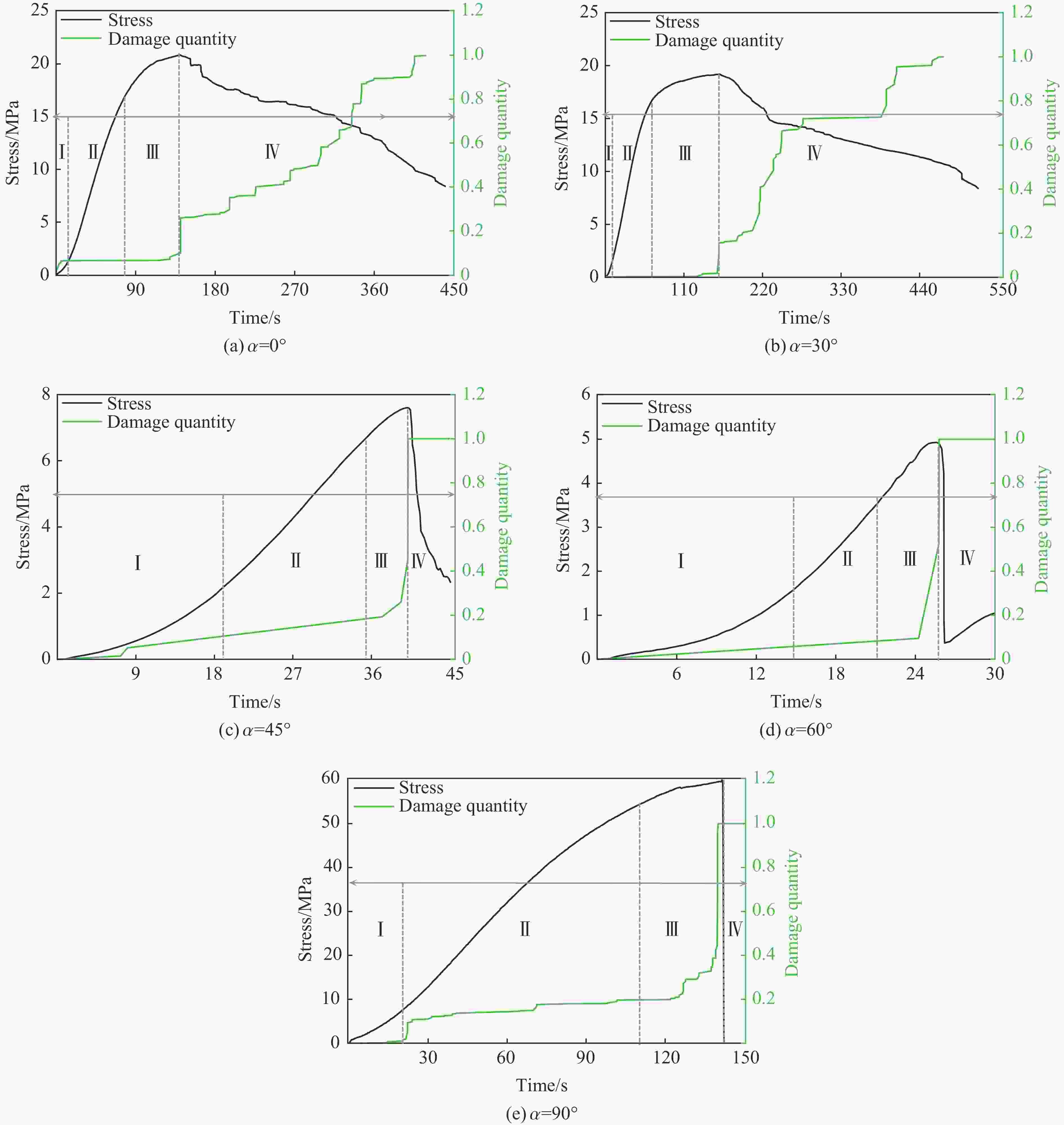
摘要: 为进一步揭示不同层理倾角的软硬互层岩在单轴压缩下的声发射特性和裂纹扩展规律,采用类岩石材料制备了软硬互层类岩石试样,基于搭载DS-5型声发射监测系统的RMT-150B型岩石力学试验系统,开展了不同层理倾角(0°、30°、45°、60°和90°)的软硬互层类岩石试样的单轴压缩试验,分析了层理倾角对岩样声发射特性、损伤演化和裂纹扩展的影响。结果表明:试样的声发射活动呈现明显的阶段性特征,且不同层理倾角下其分布特征具有明显差异,声发射特征参数表现出明显的层面效应,声发射累计振铃计数和累计能量随着层理倾角的增大先减小后增大;低频-超高幅信号的突然出现或占比增加可作为软硬互层类岩石试样的破坏前兆,低角度(0°、30°)试样表现为大尺度裂纹稳步扩展破坏,中角度(45°、60°)试样为大尺度裂纹突发失稳扩展破坏,高角度(90°)试样为小尺度裂纹突发失稳扩展破坏,60°层理倾角为试样破坏的最不利角度;试样的损伤累积过程同样具有明显的阶段性特征,在峰值应力前,试样的损伤累积主要集中在高速率损伤阶段,中等角度(45°、60°)的层理面加快了试样的损伤累积过程;不同层理倾角对软硬互层类岩石试样的拉剪裂纹演化的影响差异明显,水平层理面促进了拉剪裂纹的产生,层理倾角的逐渐增大促进了类岩石试样拉剪裂纹的发育,在层理面与岩石基体共同作用下,随着层理倾角的逐渐增大,类岩石试样的剪切裂纹占比先增大后减小,且剪切裂纹数目处于较高水平。研究结果对地下工程围岩结构的稳定性评估具有一定的参考作用。Abstract: In order to further reveal the acoustic emission characteristics and crack propagation law of soft and hard interbedded rock with different bedding plane dip angles under uniaxial compression, the soft and hard interbedded rock-like samples were prepared by rock-like materials. Based on the RMT-150B rock mechanics test system equipped with DS-5 acoustic emission monitoring system, uniaxial compression experiments were carried out on soft and hard interbedded rock-like samples with different bedding plane dip angles (0°, 30°, 45°, 60°, and 90°). Accordingly, the influences of bedding plane dip angle on acoustic emission characteristics, damage evolution and crack propagation of rock samples were analyzed. The results show that the acoustic emission activity of the sample presents obvious stage characteristics, and its distribution characteristics are obviously different under different bedding plane dip angles. The acoustic emission characteristic parameters show obvious bedding effect, and the cumulative ringing count and cumulative energy of acoustic emission decrease first and then increase with the increase of bedding plane dip angle. The sudden appearance or increase in the proportion of low frequency-ultra high amplitude signals can be used as a precursor information for the failure of soft-hard interbedded rock samples. The failure of low-angle (0° and 30°) samples is the steady expansion of large-scale cracks. The failure of medium-angle (45° and 60°) samples is the sudden instability expansion of large-scale cracks. The failure of high-angle (90°) samples is the sudden instability expansion of small-scale cracks. The dip angle of 60° is the most unfavorable angle for sample failure. The damage accumulation process of the specimens also has obvious stage characteristics. Before the peak stress, the damage accumulation of the specimens is mainly concentrated in the high rate damage stage, and the medium angle (45° and 60°) bedding surfaces accelerate the damage accumulation process of the specimens. The influence of different bedding plane dip angles on the evolution of tensile-shear cracks in soft-hard interbedded rock-like samples is obviously different. The horizontal bedding plane promotes the generation of tensile-shear cracks, and the gradual increase of bedding plane inclination angle promotes the development of tensile-shear cracks in rock-like samples. Under the joint action of bedding plane and rock matrix, with the gradual increase of bedding plane dip angle, the proportion of shear cracks in rock-like samples increases first and then decreases, and the number of shear cracks is at a high level. The research results have certain reference value for the stability evaluation of surrounding rock structure in underground engineering.
-
Key words:
- soft and hard interbedded rocks /
- acoustic emission /
- bedding effect /
- damage evolution /
- crack types
-
表 1 2种类岩石材料的质量比和材料参数
Table 1. Mass ratio and material parameters of the two kinds of rock-like materials
Material Color Mass ratio fc/MPa E/GPa Hard layers White 1∶0.6∶0.1∶0.5 39.90 10.07 Soft layers Black 1∶0.20∶0.40∶0.65 9.47 2.00 -
[1] 冯夏庭, 肖亚勋, 丰光亮, 等. 岩爆孕育过程研究 [J]. 岩石力学与工程学报, 2019, 38(4): 649–673.FENG X T, XIAO Y X, FENG G L, et al. Study on the development process of rockbursts [J]. Chinese Journal of Rock Mechanics and Engineering, 2019, 38(4): 649–673. [2] 钱七虎. 依托中国的独特优势, 加速迈向科技强国的伟大目标 [J]. 科技导报, 2020, 38(10): 1–2.QIAN Q H. Relying on unique advantages of China, towards the great goal of becoming a powerful country in science and technology [J]. Science & Technology Review, 2020, 38(10): 1–2. [3] 邓华锋, 李涛, 李建林, 等. 层状岩体各向异性声学和力学参数计算方法研究 [J]. 岩石力学与工程学报, 2020, 39(Suppl 1): 2725–2732.DENG H F, LI T, LI J L, et al. Study on calculation method of anisotropic acoustic and mechanical parameters of layered rock [J]. Chinese Journal of Rock Mechanics and Engineering, 2020, 39(Suppl 1): 2725–2732. [4] JAEGER J C. Friction of rocks and stability of rock slopes [J]. Geéotechnique, 1971, 21(2): 97–134. [5] TALIERCIO A, SACCHI LANDRIANI G. A failure condition for layered rock [J]. International Journal of Rock Mechanics and Mining Sciences & Geomechanics Abstracts, 1988, 25(5): 299–305. [6] 张桂民, 李银平, 杨长来, 等. 软硬互层盐岩变形破损物理模拟试验研究 [J]. 岩石力学与工程学报, 2012, 31(9): 1813–1820.ZHANG G M, LI Y P, YANG C L, et al. Physical simulation of deformation and failure mechanism of soft and hard interbedded salt rocks [J]. Chinese Journal of Rock Mechanics and Engineering, 2012, 31(9): 1813–1820. [7] 黄书岭, 钟鹏举, 丁秀丽. 绿泥石片岩单轴压缩特征强度各向异性特征研究 [J]. 岩石力学与工程学报, 2021, 40(Suppl 2): 3182–3190.HUANG S L, ZHONG P J, DING X L. Study on characteristic strength anisotropy of layered chlorite schist under uniaxial compression [J]. Chinese Journal of Rock Mechanics and Engineering, 2021, 40(Suppl 2): 3182–3190. [8] TIEN Y M, KUO M C, JUANG C H. An experimental investigation of the failure mechanism of simulated transversely isotropic rocks [J]. International Journal of Rock Mechanics and Mining Sciences, 2006, 43(8): 1163–1181. doi: 10.1016/j.ijrmms.2006.03.011 [9] 丁恩理, 刘越, 吴继敏, 等. 软硬互层状类岩石试样力学特性的三轴试验研究 [J]. 地下空间与工程学报, 2020, 16(Suppl 1): 39–46.DING E L, LIU Y, WU J M, et al. Triaxial test study on the mechanical properties of soft-hard interbedded rocklike specimens [J]. Chinese Journal of Underground Space and Engineering, 2020, 16(Suppl 1): 39–46. [10] 刘小亮, 陈新, 宋笑凡. 软硬互层岩体变形破坏机制物理模拟试验研究 [J]. 岩石力学与工程学报, 2023, 42(Suppl 2): 3980–3995.LIU X L, CHEN X, SONG X F. Physical simulation test on deformation and failure mechanism of soft and hard interbedded rock masses [J]. Chinese Journal of Rock Mechanics and Engineering, 2023, 42(Suppl 2): 3980–3995. [11] 姜德义, 谢凯楠, 蒋翔, 等. 页岩单轴压缩破坏过程中声发射能量分布的统计分析 [J]. 岩石力学与工程学报, 2016, 35(Suppl 2): 3822–3828.JIANG D Y, XIE K N, JIANG X, et al. Statistical analysis of acoustic emission energy distribution during uniaxial compression of shale [J]. Chinese Journal of Rock Mechanics and Engineering, 2016, 35(Suppl 2): 3822–3828. [12] WANG J, XIE L Z, XIE H P, et al. Effect of layer orientation on acoustic emission characteristics of anisotropic shale in Brazilian tests [J]. Journal of Natural Gas Science and Engineering, 2016, 36: 1120–1129. doi: 10.1016/j.jngse.2016.03.046 [13] 陈旭, 肖义, 汤明高, 等. 多级等幅循环荷载作用下砂岩变形、渗透及声发射特征试验研究 [J]. 岩石力学与工程学报, 2024, 43(8): 1923–1935.CHEN X, XIAO Y, TANG M G, et al. Experimental study on deformation, permeability and AE characteristics of sandstone under multi-stage cyclic loading with a constant amplitude [J]. Chinese Journal of Rock Mechanics and Engineering, 2024, 43(8): 1923–1935. [14] 张凯, 张东晓, 赵勇强, 等. 损伤岩石声发射演化特征及响应机制试验研究 [J]. 煤田地质与勘探, 2024, 52(3): 96–106. doi: 10.12363/issn.1001-1986.23.09.0548ZHANG K, ZHANG D X, ZHAO Y Q, et al. Experimental study on acoustic emission evolution characteristics and response mechanism of damaged rocks [J]. Coal Geology & Exploration, 2024, 52(3): 96–106. doi: 10.12363/issn.1001-1986.23.09.0548 [15] 黄彦华, 杨圣奇, 刘相如. 类岩石材料力学特性的试验及数值模拟研究 [J]. 实验力学, 2014, 29(2): 239–249.HUANG Y H, YANG S Q, LIU X R. Experimental and numerical study on the mechanical characteristics of rock-like materials [J]. Journal of Experimental Mechanics, 2014, 29(2): 239–249. [16] KOVARI K, TISA A, EINSTEIN H H. Suggested methods for determining the strength of rock materials in triaxial compression: revised version [J]. International Journal of Rock Mechanics and Mining Sciences & Geomechanics Abstracts, 1983, 20(6): 285−290. [17] 张恒源, 郭佳奇, 孙飞跃, 等. 不同试验条件和含水状态下花岗岩的声发射与破裂演化特征 [J]. 高压物理学报, 2022, 36(6): 064102.ZHANG H Y, GUO J Q, SUN F Y, et al. Acoustic emission and fracture evolution characteristics of granite under different testing and moisture conditions [J]. Chinese Journal of High Pressure Physics, 2022, 36(6): 064102. [18] YAO Q L, CHEN T, TANG C J, et al. Influence of moisture on crack propagation in coal and its failure modes [J]. Engineering Geology, 2019, 258: 105156. doi: 10.1016/j.enggeo.2019.105156 [19] 张艳博, 王博, 梁鹏, 等. 大理岩单轴压缩破坏次声波特征的加载速率效应研究 [J/OL]. 煤炭学报, (2024-03-13)[2024-05-13]. https://doi.org/10.13225/j.cnki.jccs.2023.1440.ZHANG Y B, WANG B, LIANG P, et al. Loading rate effects on infrasound characterization of uniaxial compression damage in marble [J/OL]. Journal of China Coal Society, (2024-03-13)[2024-05-13]. https://doi.org/10.13225/j.cnki.jccs.2023.1440. [20] CHENG J L, YANG S Q, CHEN K, et al. Uniaxial experimental study of the acoustic emission and deformation behavior of composite rock based on 3D digital image correlation (DIC) [J]. Acta Mechanica Sinica, 2017, 33(6): 999–1021. doi: 10.1007/s10409-017-0706-3 [21] 郑蕾, 许晓静, 许王亮, 等. 预制孔洞凝灰岩破坏声发射响应特性及预警 [J/OL]. 土木与环境工程学报(中英文), (2023-09-12)[2024-05-13]. http://kns.cnki.net/kcms/detail/50.1218.TU.20230911.1021.002.html.ZHENG L, XU X J, XU W L, et al. Acoustic emission response characteristics and early warning of prefabricated hole tuff failure [J/OL]. Journal of Civil and Environmental Engineering, (2023-09-12)[2024-05-13]. http://kns.cnki.net/kcms/detail/50.1218.TU.20230911.1021.002.html. [22] CAI M, KAISER P K, MORIOKA H, et al. FLAC/PFC coupled numerical simulation of AE in large-scale underground excavations [J]. International Journal of Rock Mechanics and Mining Sciences, 2007, 44(4): 550–564. doi: 10.1016/j.ijrmms.2006.09.013 [23] ZHANG H Y, GUO J Q, SUN F Y, et al. Experimental study on acoustic emission characteristics in the fracture process of granite under dry and saturated state [J]. Geotechnical and Geological Engineering, 2022, 40(10): 5213–5231. doi: 10.1007/s10706-022-02212-8 [24] KONG B, WANG E Y, LI Z H, et al. Acoustic emission signals frequency-amplitude characteristics of sandstone after thermal treated under uniaxial compression [J]. Journal of Applied Geophysics, 2017, 136: 190–197. doi: 10.1016/j.jappgeo.2016.11.008 [25] 郝宪杰, 魏英楠, 杨科, 等. 煤储集层起裂强度和损伤强度的各向异性特征 [J]. 石油勘探与开发, 2021, 48(1): 211–221. doi: 10.11698/PED.2021.01.20HAO X J, WEI Y N, YANG K, et al. Anisotropy of crack initiation strength and damage strength of coal reservoirs [J]. Petroleum Exploration and Development, 2021, 48(1): 211–221. doi: 10.11698/PED.2021.01.20 [26] LU H J, ZHANG R, REN L, et al. Damage characterization of shale under uniaxial compression by acoustic emission monitoring [J]. Frontiers of Earth Science, 2021, 15(4): 817–830. doi: 10.1007/s11707-021-0911-z [27] DONG T, CAO P, WANG F, et al. Strain field evolution and crack coalescence mechanism of composite strength rock-like specimens with sawtooth interface [J]. Theoretical and Applied Fracture Mechanics, 2023, 126: 103947. doi: 10.1016/j.tafmec.2023.103947 [28] HAO X J, WEI Y N, YANG K, et al. Anisotropy of crack initiation strength and damage strength of coal reservoirs [J]. Petroleum Exploration and Development, 2021, 48(1): 243–255. doi: 10.1016/S1876-3804(21)60020-4 [29] ZHAO K, YANG D X, GONG C, et al. Evaluation of internal microcrack evolution in red sandstone based on time-frequency domain characteristics of acoustic emission signals [J]. Construction and Building Materials, 2020, 260: 120435. doi: 10.1016/j.conbuildmat.2020.120435 [30] 朱子辉, 郭佳奇, 孙飞跃, 等. 不同含水状态下裂隙砂岩的声发射及裂纹扩展试验研究 [J]. 高压物理学报, 2023, 37(5): 054103.ZHU Z H, GUO J Q, SUN F Y, et al. Experimental study on acoustic emission and crack propagation of fissured sandstone with different moisture states [J]. Chinese Journal of High Pressure Physics, 2023, 37(5): 054103. [31] OHNO K, OHTSU M. Crack classification in concrete based on acoustic emission [J]. Construction and Building Materials, 2010, 24(12): 2339–2346. doi: 10.1016/j.conbuildmat.2010.05.004 [32] 康玉梅, 谷今, 魏梦琦. 不同加载速率下软硬互层类岩石力学及声发射特性 [J]. 东北大学学报(自然科学版), 2023, 44(3): 399–407.KANG Y M, GU J, WEI M Q. Mechanical properties and acoustic emission characteristics of soft-hard interbedded rocks under different loading rates [J]. Journal of Northeastern University (Natural Science), 2023, 44(3): 399–407. [33] 陈宇龙, 张宇宁, 李科斌, 等. 单轴压缩下软硬互层岩石破裂过程的离散元数值分析 [J]. 采矿与安全工程学报, 2017, 34(4): 795–802, 816.CHEN Y L, ZHANG Y N, LI K B, et al. Distinct element numerical analysis of failure process of interlayered rock subjected to uniaxial compression [J]. Journal of Mining & Safety Engineering, 2017, 34(4): 795–802, 816. -

下载: