Molecular Dynamics Simulation Study on Spallation Failure of [100] Single Crystal Aluminum under Different Waveform Loadings
-
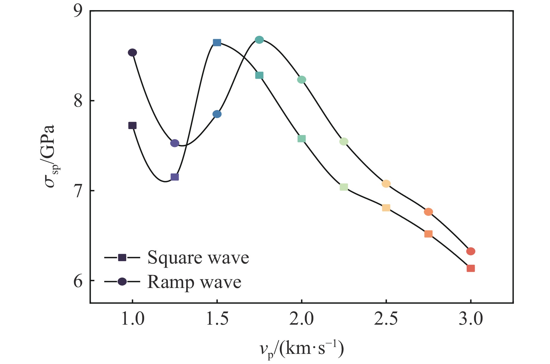
摘要: 采用分子动力学方法模拟了[100]单晶铝在等冲量斜波和方波作用下的形变和层裂行为,分析了加载波形与层裂行为之间的相关性。研究表明,脉冲形状与热力学路径的协同作用影响了材料层裂。不同加载波形下单晶铝层裂强度的差异并非受缺陷主导的非均匀孔洞形核影响,而是由不同热力学路径下温升的差异决定。例如:当最大加载速度为3.00 km/s时,单晶铝均经历均匀层裂,但斜波加载下铝的层裂强度较方波加载时提升56.6%。斜波加载会产生逐渐增强的压缩波,使单晶铝产生相比于冲击加载更轻度的损伤。这一现象随着加载速度的提高而变得更加显著。Abstract: In this study, molecular dynamics method was used to simulate the deformation and spallation behavior of [100] single crystal aluminum under the action of equivalent ramp waves and square waves. Accordingly, the correlation between loading waveform and spallation behavior was analyzed. The results showed that the synergistic effect of the pulse shape transition and the thermodynamic path affected the material spallation. The nucleation of non-uniform holes dominated by defects was not the decisive factor affecting the spallation strength of materials. The difference of spallation characteristics of materials under different loading waveforms was mainly determined by the difference of temperature rise under different thermodynamic paths, which led to uniform spallation at maximum velocity of 3.00 km/s, but the spall strength of ramp wave group was 56.6% higher than that of square wave group. Due to the gradual compression and slight temperature softening effect, the ramp wave loading made the material presented milder damage than the impact loading, which became more significant with the increase of loading speed.
-
Key words:
- spallation /
- single crystal aluminum /
- molecular dynamics simulation /
- ramp wave loading
-
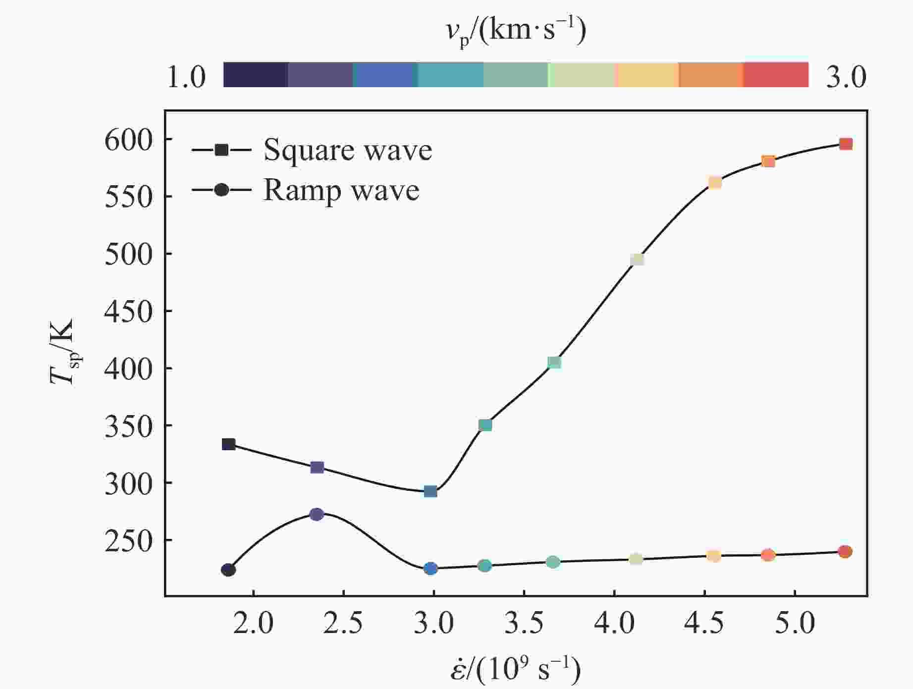
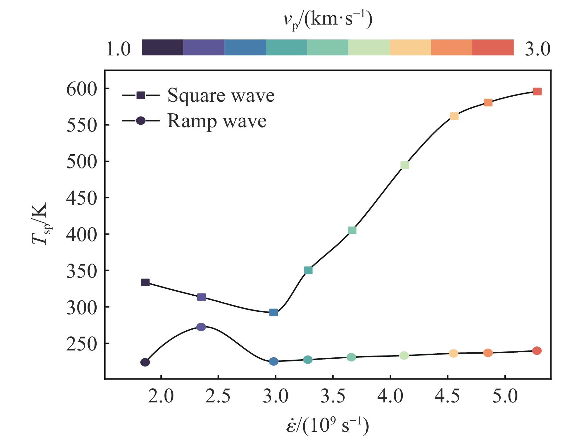
表 1 不同工况下的层裂强度、应变速率和层裂温度
Table 1. Spall strength, strain rate, and spall temperature of different cases
Group vp/(km·s−1) σsp/GPa $ \dot{\varepsilon }$/(109 s−1) Tsp/K From bulk From surface Ramp wave 1.00 9.748 8.536 1.864 223.82 1.25 8.814 7.528 2.350 272.24 1.50 9.847 7.851 2.983 224.95 1.75 9.941 8.678 3.282 227.39 2.00 10.084 8.233 3.664 230.75 2.25 10.358 7.546 4.123 233.08 2.50 10.321 7.077 4.556 236.06 2.75 10.308 6.764 4.855 236.80 3.00 10.261 6.325 5.284 239.73 Square wave 1.00 8.180 7.725 2.287 333.47 1.25 8.228 7.151 2.477 313.84 1.50 9.511 8.646 2.670 291.85 1.75 9.227 8.282 3.263 350.29 2.00 8.689 7.578 3.611 404.72 2.25 7.977 7.039 4.055 494.94 2.50 7.293 6.809 4.461 561.94 2.75 6.900 6.518 4.901 579.97 3.00 6.551 6.135 5.312 594.51 -
[1] LI C, LI B, HUANG J Y, et al. Spall damage of a mild carbon steel: effects of peak stress, strain rate and pulse duration [J]. Materials Science and Engineering: A, 2016, 660: 139–147. doi: 10.1016/j.msea.2016.02.080 [2] LI C, YANG K, TANG X C, et al. Spall strength of a mild carbon steel: effects of tensile stress history and shock-induced microstructure [J]. Materials Science and Engineering: A, 2019, 754: 461–469. doi: 10.1016/j.msea.2019.03.019 [3] NGUYEN T, LUSCHER D J, WILKERSON J W. A physics-based model and simple scaling law to predict the pressure dependence of single crystal spall strength [J]. Journal of the Mechanics and Physics of Solids, 2020, 137: 103875. doi: 10.1016/j.jmps.2020.103875 [4] LI C, YANG K, GAO Y H, et al. Dislocation-dominated void nucleation in shock-spalled single crystal copper: mechanism and anisotropy [J]. International Journal of Plasticity, 2022, 155: 103331. doi: 10.1016/j.ijplas.2022.103331 [5] REMINGTON T P, HAHN E N, ZHAO S, et al. Spall strength dependence on grain size and strain rate in tantalum [J]. Acta Materialia, 2018, 158: 313–329. doi: 10.1016/j.actamat.2018.07.048 [6] PANG B, CASE S, JONES I P, et al. The defect evolution in shock loaded tantalum single crystals [J]. Acta Materialia, 2018, 148: 482–491. doi: 10.1016/j.actamat.2017.11.052 [7] HAHN E N, FENSIN S J, GERMANN T C, et al. Orientation dependent spall strength of tantalum single crystals [J]. Acta Materialia, 2018, 159: 241–248. doi: 10.1016/j.actamat.2018.07.073 [8] DONGARE A M, LAMATTINA B, RAJENDRAN A M. Atomic scale studies of spall behavior in single crystal Cu [J]. Procedia Engineering, 2011, 10: 3636–3641. doi: 10.1016/j.proeng.2011.04.598 [9] MACKENCHERY K, VALISETTY R R, NAMBURU R R, et al. Dislocation evolution and peak spall strengths in single crystal and nanocrystalline Cu [J]. Journal of Applied Physics, 2016, 119(4): 044301. doi: 10.1063/1.4939867 [10] MA K, CHEN J, DONGARE A M. Role of pre-existing dislocations on the shock compression and spall behavior in single-crystal copper at atomic scales [J]. Journal of Applied Physics, 2021, 129(17): 175901. doi: 10.1063/5.0040802 [11] WANG J, WANG F, ZENG X G, et al. Unraveling the plasticity performance and melting in single crystal tantalum damaged by shock compression [J]. Engineering Fracture Mechanics, 2022, 276: 108921. doi: 10.1016/J.ENGFRACMECH.2022.108921 [12] KRASNIKOV V S, MAYER A E. Plasticity driven growth of nanovoids and strength of aluminum at high rate tension: molecular dynamics simulations and continuum modeling [J]. International Journal of Plasticity, 2015, 74: 75–91. doi: 10.1016/j.ijplas.2015.06.007 [13] ZHOU T T, HE A M, WANG P, et al. Spall damage in single crystal Al with helium bubbles under decaying shock loading via molecular dynamics study [J]. Computational Materials Science, 2019, 162: 255–267. doi: 10.1016/j.commatsci.2019.02.019 [14] TANG F, JIAN Z Y, XIAO S F, et al. Molecular dynamics simulation of cylindrically converging shock response in single crystal Cu [J]. Computational Materials Science, 2020, 183: 109845. doi: 10.1016/j.commatsci.2020.109845 [15] XIONG Q L, KITAMURA T, LI Z H. Cylindrical voids induced deformation response of single crystal coppers during low-speed shock compressions: a molecular dynamics study [J]. Mechanics of Materials, 2019, 138: 103167. doi: 10.1016/j.mechmat.2019.103167 [16] TIAN X, CUI J Z, MA K P, et al. Shock-induced plasticity and damage in single-crystalline Cu at elevated temperatures by molecular dynamics simulations [J]. International Journal of Heat and Mass Transfer, 2020, 158: 120013. doi: 10.1016/j.ijheatmasstransfer.2020.120013 [17] LIAO Y, XIANG M Z, ZENG X G, et al. Molecular dynamics studies of the roles of microstructure and thermal effects in spallation of aluminum [J]. Mechanics of Materials, 2015, 84: 12–27. doi: 10.1016/j.mechmat.2015.01.007 [18] HAWKINS M C, THOMAS S A, FENSIN S J, et al. Spall and subsequent recompaction of copper under shock loading [J]. Journal of Applied Physics, 2020, 128(4): 045901. doi: 10.1063/5.0011645 [19] ZHU Y L, HU J N, WEI Q Q, et al. Enhanced spall strength of single crystal aluminum by temperature rise mitigation and structural phase transition under shock pulse [J]. Mechanics of Materials, 2023, 186: 104809. doi: 10.1016/j.mechmat.2023.104809 [20] 黄海军, 沈强, 罗国强, 等. 利用多层阻抗梯度飞片产生准等熵压缩的理论解析 [J]. 物理学报, 2007, 56(3): 1538–1542. doi: 10.3321/j.issn:1000-3290.2007.03.050HUANG H J, SHEN Q, LUO G Q, et al. Theoritical analysis of quasi-isentropic compression via flier-plate with grade wave impadence [J]. Acta Physica Sinica, 2007, 56(3): 1538–1542. doi: 10.3321/j.issn:1000-3290.2007.03.050 [21] ZHU Y L, HU J N, HUANG S L, et al. Molecular dynamics simulation on spallation of [111] Cu/Ni nano-multilayers: voids evolution under different shock pulse duration [J]. Computational Materials Science, 2022, 202: 110923. doi: 10.1016/J.COMMATSCI.2021.110923 [22] ZHAKHOVSKII V V, INOGAMOV N A, PETROV Y V, et al. Molecular dynamics simulation of femtosecond ablation and spallation with different interatomic potentials [J]. Applied Surface Science, 2009, 255(24): 9592–9596. doi: 10.1016/j.apsusc.2009.04.082 [23] JIANG D D, SHAO J L, WU B, et al. Sudden change of spall strength induced by shock defects based on atomistic simulation of single crystal aluminum [J]. Scripta Materialia, 2022, 210: 114474. doi: 10.1016/j.scriptamat.2021.114474 [24] KADAU K, GERMANN T C, LOMDAHL P S, et al. Atomistic simulations of shock-induced transformations and their orientation dependence in bcc Fe single crystals [J]. Physical Review B, 2005, 72(6): 064120. doi: 10.1103/PhysRevB.72.064120 [25] SRINIVASAN S G, BASKES M I, WAGNER G J. Atomistic simulations of shock induced microstructural evolution and spallation in single crystal nickel [J]. Journal of Applied Physics, 2007, 101(4): 043504. doi: 10.1063/1.2423084 [26] ASHITKOV S I, AGRANAT M B, KANEL’ G I, et al. Behavior of aluminum near an ultimate theoretical strength in experiments with femtosecond laser pulses [J]. JETP Letters, 2010, 92(8): 516–520. doi: 10.1134/S0021364010200051 [27] ELIEZER S, MOSHE E, ELIEZER D, et al. Laser-induced tension to measure the ultimate strength of metals related to the equation of state [J]. Laser and Particle Beams, 2002, 20(1): 87–92. doi: 10.1017/S0263034602201123 [28] GARKUSHIN G V, KANEL G I, RAZORENOV S V, et al. Resistance to deformation and fracture of aluminum AD1 under shock-wave loading at temperatures of 20 and 600 ℃ [J]. Physics of The Solid State, 2010, 52(11): 2369–2375. doi: 10.1134/S1063783410110247 [29] KANEL G I, RAZORENOV S V, GRADY D E, et al. Spall fracture properties of aluminum and magnesium at high temperatures [J]. Journal of Applied Physics, 1996, 79(11): 8310–8317. doi: 10.1063/1.362542 [30] RAZORENOV S V, KANEL G I, FORTOV V E, et al. Submicrosecond strength of aluminum and alloy AMg6M at normal and elevated temperatures [J]. Fizika Metallov Ⅰ Metallovedenie, 2003, 95(1): 91–96. [31] KANEL G I, RAZORENOV S V, SINGER J, et al. Dynamic yield and tensile strength of aluminum single crystals at temperatures up to the melting point [J]. Journal of Applied Physics, 2001, 90(1): 136–143. doi: 10.1063/1.1374478 [32] STRACHAN A, ÇAĞIN T, GODDARD Ⅲ W A. Critical behavior in spallation failure of metals [J]. Physical Review B, 2001, 63(6): 060103. doi: 10.1103/PhysRevB.63.060103 -

下载: