Generalized Stacking Fault Energies of Diamond and Silicon under ⟨111⟩ Uniaxial Loading
-
摘要: 晶体中原子层面剪切所带来的能量称为广义层错能,它是描述晶体中纳米尺度塑性变形的关键参数,如位错分解、成核和孪晶。在冲击加载过程中,弹塑性转变发生在一维弹性应变之后,因此,单轴应变下的广义层错能对于理解塑性流动的发生具有重要意义。应用基于密度泛函理论的第一性原理,计算了在
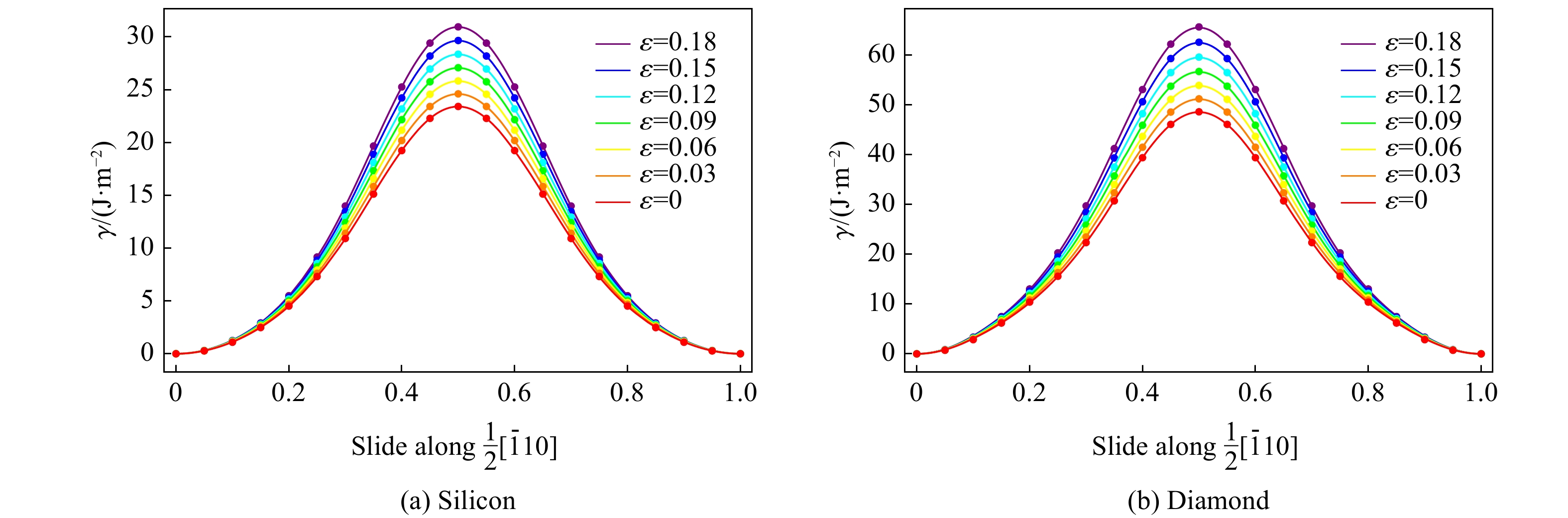
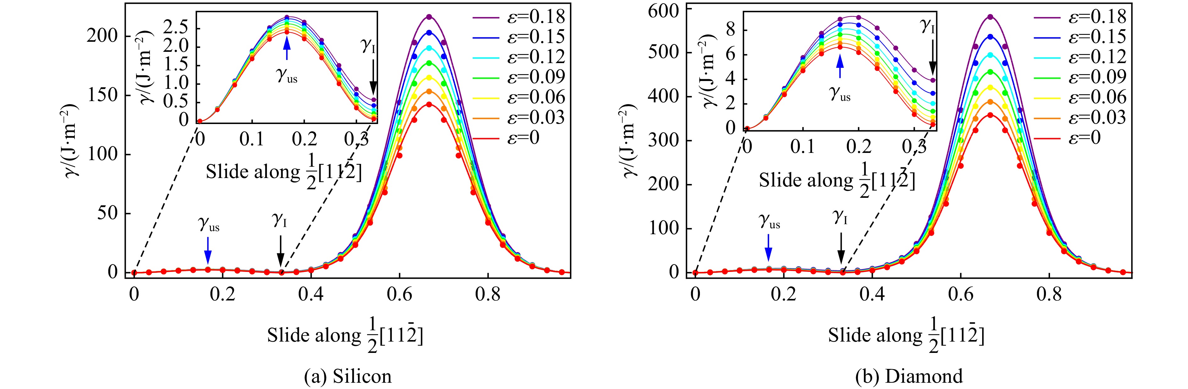
$ \text{[}\text{111}\text{]} $ 方向单轴应变下硅和金刚石的glide (111)面的广义层错能面。基于广义层错能面的平移对称性,通过傅里叶级数展开,拟合得到了广义层错能面的表达式,并给出了$ [\overline{\text{1}}\text{10}\text{]} $ (111)和$ \text{[}\text{11}\overline{\text{2}}\text{]} $ (111)方向的广义层错能曲线。结果表明,随着应变的增加,本征层错能和不稳定层错能出现明显的变化,且不稳定层错能与本征层错能之比减小,说明在$ \left\langle{\text{111}}\right\rangle $ 方向的单轴应变下晶体中的位错不容易发生分解。该结果解释了在四代光源上开展的位错演化动态实验结果,即沿$ \left\langle{\text{111}}\right\rangle $ 方向加载的层错信号出现的速度和强度均远不如沿$\left\langle{\text{110}}\right\rangle $ 方向和$\left\langle{\text{100}}\right\rangle $ 方向加载的结果。Abstract: The energy caused by atomic level shear in a crystal is called generalized fault energy (GSFE), This is an important material property for describing nanoscale plastic phenomena in crystalline materials, such as dislocation decomposition, nucleation, and twinning. During the shock loading process, the elastoplastic transition occurs after one-dimensional elastic strain, so the generalized stacking fault energy is of great significance in understanding the occurrence of plastic flow. Here, we calculate the generalized GSFE surface of glide (111) surface of silicon and diamond under uniaxial strain in [111] direction by using the first principles of density functional theory. Based on the translation symmetry of GSFE surface, we fit the GSFE surface expression obtained by Fourier series expansion and the generalized stacking fault energy curves for the$ [{\overline{1}10}] $ (111) and$ [ 11\overline{2}]$ (111) directions are given. With the increase of strain, the intrinsic fault energy (γI) and the unstable fault energy (γus) have obvious changes, and the ratio of the unstable stacking fault energy to the intrinsic stacking fault energy (γus/γI) decreases indicating that dislocations in crystals are not easily decomposed under uniaxial strain in the$ \left\langle{111}\right\rangle $ direction. This result explains the results of dynamic experiments of dislocation evolution at four generations of light sources that the speed and strength of fault signals loaded along$ \left\langle{111}\right\rangle $ direction are much lower than those loaded along$ \left\langle{110}\right\rangle $ direction and$ \left\langle{100}\right\rangle $ direction. -
图 1 glide (111)面示意图(蓝色原子为下半无限大晶体的最上层原子,灰色原子为上半无限大晶体的最下层原子,R为OB的距离,C点为本征层错位置,D点为不稳定层错位置)
Figure 1. Schematic diagram of glide (111) surface (Blue atoms are the topmost layer of atoms in the lower half of the infinity crystal, and gray atoms are the bottom layer of atoms in the upper half of the infinity crystal; R is the distance of OB, the point C is the location of intrinsic stacking fault, and the point D is the location of unstable stacking fault.)
图 3 不同应变下由式(4)拟合得到的硅的glide (111)面的GSFE面(图中的点为第一性原理计算结果,[
$ 11\overline{2} $ ]方向上的第1个能量峰值为不稳定层错能,第1个能量最小值为本征层错能,GSFE面沿[$ \overline{1}10 $ ]方向的投影是对称的)Figure 3. GSFE surface of the glide (111) surface of silicon fitted by Eq. (4) for different strains (The points in the figures are the results of first principles calculations, the first energy peak in the [
$ 11\overline{2} $ ] direction is the unstable stacking fault energy, the first energy minimum is the intrinsic stacking fault energy, and the GSFE surface is symmetric along the projection in the [$ \overline{1}10 $ ] direction.)图 4 不同应变下由式(4)拟合得到的金刚石的glide (111)面的GSFE面(图中的点为第一性原理计算结果,[
$ 11\overline{2} $ ]方向上的第1个能量峰值为不稳定层错能,第1个能量最小值为本征层错能,GSFE面沿[$ \overline{1}10 $ ]方向的投影是对称的)Figure 4. GSFE surface of the glide (111) surface of diamond fitted by Eq. (4) for different strains (The points in the figures are the results of first principles calculations, the first energy peak in the [
$ 11\overline{2} $ ] direction is the unstable stacking fault energy, the first energy minimum is the intrinsic stacking fault energy, and the GSFE surface is symmetric along the projection in the [$ \overline{1}10 $ ] direction.)表 1 不同超胞的硅的本征层错能和不稳定层错能
Table 1. Intrinsic stacking faults energies and unstable stacking faults energies for silicon with different supercells
Layers γI/(eV·Å−2) γus/(eV·Å−2) Layers γI/(eV·Å−2) γus/(eV·Å−2) 6 0.002 0.085 18 0.003 0.106 10 0.004 0.098 22 0.003 0.107 14 0.004 0.104 表 2 不同应变下由式(4)描述的GSFE面的拟合参数
Table 2. Fitting parameters of the GSFE surface described by Eq. (4) for different strains
Material ε Fitting parameters/(J·m−2) c0 c1 c2 c3 c4 c5 Silicon 0 24.085 −12.658 7.490 −2.221 −0.471 0.257 0.03 25.623 −13.568 8.163 −2.439 −0.521 0.295 0.06 27.235 −14.531 8.882 −2.674 −0.573 0.337 0.09 28.911 −15.538 9.646 −2.924 −0.631 0.383 0.12 30.631 −16.577 10.446 −3.183 −0.696 0.432 0.15 32.372 −17.634 11.265 −3.445 −0.764 0.482 0.18 34.143 −18.720 12.112 −3.720 −0.834 0.537 Material ε Fitting parameters/(J·m−2) c6 s1 s2 s3 s4 s5 Silicon 0 0.046 21.901 −3.797 0.849 −0.020 −0.013 0.03 0.050 23.465 −4.160 0.944 −0.026 −0.016 0.06 0.054 25.114 −4.548 1.046 −0.033 −0.020 0.09 0.059 26.835 −4.960 1.157 −0.041 −0.023 0.12 0.064 28.604 −5.391 1.275 −0.046 −0.025 0.15 0.069 30.395 −5.833 1.397 −0.048 −0.027 0.18 0.077 32.225 −6.289 1.527 −0.054 −0.032 Material ε Fitting parameters/(J·m−2) c0 c1 c2 c3 c4 c5 Diamond 0 55.327 −29.945 20.276 −6.548 −1.668 0.852 0.03 62.026 −34.033 23.583 −7.701 −1.944 1.084 0.06 69.519 −38.668 27.417 −9.054 −2.268 1.371 0.09 77.951 −43.959 31.877 −10.654 −2.641 1.717 0.12 87.438 −50.002 37.078 −12.544 −3.070 2.129 0.15 97.852 −56.793 43.166 −14.733 −3.638 2.648 0.18 109.070 −64.368 50.293 −17.270 −4.382 3.312 Material ε Fitting parameters/(J·m−2) c6 s1 s2 s3 s4 s5 Diamond 0 0.260 51.709 −11.059 3.080 −0.125 −0.059 0.03 0.278 58.586 −12.938 3.634 −0.175 −0.079 0.06 0.297 66.292 −15.122 4.294 −0.238 −0.102 0.09 0.318 74.966 −17.651 5.078 −0.325 −0.133 0.12 0.335 84.742 −20.561 5.996 −0.439 −0.167 0.15 0.369 95.601 −23.980 7.099 −0.515 −0.208 0.18 0.441 107.721 −28.001 8.429 −0.528 −0.264 表 3 在不同应变下式(6)描述的
$ [\overline{{\boldsymbol{1}}}{\boldsymbol{10}}] $ (111)方向的GSFE面的拟合参数Table 3. Fitting parameters of the GSFE surface for
$ [\overline{{\boldsymbol{1}}}{\boldsymbol{10}}] $ (111) slip direction described by Eq. (6) at different strainsMaterial ε μγ/(GJ·m−3) $\varDelta_1 $ $\varDelta_2 $ Material ε μγ/(GJ·m−3) $\varDelta_1 $ $\varDelta_2 $ Silicon 0 16.297 −1.002 0.495 Dimond 0 121.297 −1.149 0.850 0.03 16.612 −1.013 0.496 0.03 125.646 −1.150 0.825 0.06 16.898 −1.025 0.496 0.06 129.464 −1.150 0.797 0.09 17.151 −1.035 0.495 0.09 132.670 −1.148 0.768 0.12 17.369 −1.045 0.492 0.12 135.093 −1.145 0.735 0.15 17.545 −1.053 0.489 0.15 136.433 −1.141 0.694 0.18 17.665 −1.060 0.481 0.18 136.151 −1.129 0.629 -
[1] JOHNSTON W G, GILMAN J J. Dislocation multiplication in lithium fluoride crystals [J]. Journal of Applied Physics, 1960, 31(4): 632–643. doi: 10.1063/1.1735655 [2] HIRTH J P, KUBIN L. Preface [J]. Dislocations in Solids, 2009. [3] MADEC R, DEVINCRE B, KUBIN L, et al. The role of collinear interaction in dislocation-induced hardening [J]. Science, 2003, 301(5641): 1879–1882. doi: 10.1126/science.1085477 [4] SHEHADEH M A, BRINGA E M, ZBIB H M, et al. Simulation of shock-induced plasticity including homogeneous and heterogeneous dislocation nucleations [J]. Applied Physics Letters, 2006, 89(17): 171918. doi: 10.1063/1.2364853 [5] GERMANN T C, HOLIAN B L, LOMDAHL P S, et al. Dislocation structure behind a shock front in fcc perfect crystals: atomistic simulation results [J]. Metallurgical and Materials Transactions A, 2004, 35(9): 2609–2615. doi: 10.1007/s11661-004-0206-5 [6] KANEL G I, FORTOV V E, RAZORENOV S V. Shock-wave phenomena and the properties of condensed matter [M]. New York: Springer, 2004. [7] MACDONALD M J, MCBRIDE E E, GALTIER E, et al. Using simultaneous X-ray diffraction and velocity interferometry to determine material strength in shock-compressed diamond [J]. Applied Physics Letters, 2020, 116(23): 234104. doi: 10.1063/5.0013085 [8] ZEPEDA-RUIZ L A, STUKOWSKI A, OPPELSTRUP T, et al. Probing the limits of metal plasticity with molecular dynamics simulations [J]. Nature, 2017, 550(7677): 492–495. doi: 10.1038/nature23472 [9] FAN H D, WANG Q Y, EL-AWADY J A, et al. Strain rate dependency of dislocation plasticity [J]. Nature Communications, 2021, 12(1): 1845. doi: 10.1038/s41467-021-21939-1 [10] GUMBSCH P, GAO H J. Dislocations faster than the speed of sound [J]. Science, 1999, 283(5404): 965–968. doi: 10.1126/science.283.5404.965 [11] TEUTONICO L J. Dynamical behavior of dislocations in anisotropic media [J]. Physical Review, 1961, 124(4): 1039–1045. doi: 10.1103/PhysRev.124.1039 [12] TEUTONICO L J. Uniformly moving dislocations of arbitrary orientation in anisotropic media [J]. Physical Review, 1962, 127(2): 413–418. doi: 10.1103/PhysRev.127.413 [13] BLASCHKE D N, CHEN J, FENSIN S, et al. Clarifying the definition of ‘transonic’ screw dislocations [J]. Philosophical Magazine, 2021, 101(8): 997–1018. doi: 10.1080/14786435.2021.1876269 [14] KATAGIRI K, PIKUZ T, FANG L C, et al. Transonic dislocation propagation in diamond [J]. Science, 2023, 382(6666): 69–72. doi: 10.1126/science.adh5563 [15] WESSEL K, ALEXANDER H. On the mobility of partial dislocations in silicon [J]. Philosophical Magazine, 1977, 35(6): 1523–1536. doi: 10.1080/14786437708232975 [16] RABIER J, DEMENET J L. Low temperature, high stress plastic deformation of semiconductors: the silicon case [J]. Physica Status Solidi B, 2000, 222(1): 63–74. doi: 10.1002/1521-3951(200011)222:1<63::AID-PSSB63>3.0.CO;2-E [17] CAI W, BULATOV V V, CHANG J P, et al. Dislocation core effects on mobility [M]//NABARRO F R N, HIRTH J P. Dislocations in Solids, Amsterdam: Elsevier, 2004: 1–80. [18] VITEK V. Intrinsic stacking faults in body-centred cubic crystals [J]. Philosophical Magazine, 1968, 18(154): 773–786. doi: 10.1080/14786436808227500 [19] VITEK V. Theory of the core structures of dislocations in body-centered-cubic metals [J]. Cryst Lattice Defects, 1974, 5: 1–34. [20] THOMSON R. Intrinsic ductility criterion for interfaces in solids [J]. Physical Review B, 1995, 52(10): 7124–7134. doi: 10.1103/PhysRevB.52.7124 [21] SUN Y M, KAXIRAS E. Slip energy barriers in aluminium and implications for ductile-brittle behaviour [J]. Philosophical Magazine A, 1997, 75(4): 1117–1127. doi: 10.1080/01418619708214014 [22] ANDRIC P, YIN B L, CURTIN W A. Stress-dependence of generalized stacking fault energies [J]. Journal of the Mechanics and Physics of Solids, 2019, 122: 262–279. doi: 10.1016/j.jmps.2018.09.007 [23] PERDEW J P, BURKE K, ERNZERHOF M. Generalized gradient approximation made simple [J]. Physical Review Letters, 1996, 77(18): 3865–3868. doi: 10.1103/PhysRevLett.77.3865 [24] PERDEW J P, BURKE K, ERNZERHOF M. Generalized gradient approximation made simple [Phys. Rev. Lett. 77, 3865 (1996)] [J]. Physical Review Letters, 1997, 78(7): 1396. doi: 10.1103/PhysRevLett.78.1396 [25] BLÖCHL P E. Projector augmented-wave method [J]. Physical Review B, 1994, 50(24): 17953–17979. doi: 10.1103/PhysRevB.50.17953 [26] KRESSE G, JOUBERT D. From ultrasoft pseudopotentials to the projector augmented-wave method [J]. Physical Review B, 1999, 59(3): 1758–1775. doi: 10.1103/PhysRevB.59.1758 [27] KRESSE G, HAFNER J. Ab initio molecular dynamics for liquid metals [J]. Physical Review B, 1993, 47(1): 558–561. doi: 10.1103/PhysRevB.47.558 [28] KRESSE G, FURTHMÜLLER J. Efficient iterative schemes for ab initio total-energy calculations using a plane-wave basis set [J]. Physical Review B, 1996, 54(16): 11169–11186. doi: 10.1103/PhysRevB.54.11169 [29] HU X S, HUANG M S, LI Z H, et al. Study on lattice discreteness effect on superdislocation core properties of Ni3Al by improved semi-discrete variational peierls-Nabarro model [J]. Intermetallics, 2022, 151: 107695. doi: 10.1016/j.intermet.2022.107695 [30] ANDERSON P M, HIRTH J P, LOTHE J. Theory of dislocations [M]. 3rd ed. Cambridge: Cambridge University Press, 2017. [31] VAN SWYGENHOVEN H, DERLET P M, FRØSETH A G. Stacking fault energies and slip in nanocrystalline metals [J]. Nature Materials, 2004, 3(6): 399–403. doi: 10.1038/nmat1136 -












下载:













