Bubble Dynamics Characteristics Near Double-Layer Cylindrical Structures with a Hole Based on PIV Experiments
-
摘要: 近场水下爆炸冲击波破坏双壳体潜艇外壳结构后,后续的气泡脉动和射流载荷会对潜艇的内壳体继续造成严重毁伤,因此研究破口附近的气泡脉动和气泡载荷特性具有重要意义。基于受冲击波毁伤后的双壳体潜艇结构,制作预制圆形破口的双层圆柱结构模型,将电火花装置作为气泡发生源,开展了不同爆距参数(爆距与气泡的最大直径之比)和不同破口参数(破口直径与气泡的最大直径之比)条件下气泡与带破口双层圆柱结构的相互作用实验。通过高速摄影机捕捉气泡在双层圆柱结构附近的脉动和射流形成过程,采用粒子图像测速技术对爆炸流场速度进行测试,得到气泡溃灭后产生的水射流速度,同时采用压力传感器测量内层圆柱壳壁面处的压力载荷。实验结果表明:爆距参数决定了内板壁面所受压力的载荷形式、气泡溃灭后是否产生有效射流以及产生的射流速度;当爆距参数在一定范围内时,破口参数影响气泡的脉动以及气泡溃灭后产生的水射流方向。Abstract: After the outer shell of the double-shell submarine is damaged by the near-field underwater explosion shock wave, the subsequent bubble pulsation and jet load will continue to cause serious damage to the inner shell of the submarine. Therefore, it is of great significance to study the characteristics of bubble pulsation and bubble load near the hole. Based on the double-shell submarine structure damaged by the shock wave, a double-layer cylindrical structure model with a prefabricated circular hole is made. Using an electric spark device as the bubble generator, the interaction experiments between bubbles and double-layer cylindrical structure with a hole under different explosion distance parameters (the ratio of explosion distance to the maximum diameter of bubbles) and different hole parameters (the ratio of hole diameter to the maximum diameter of bubbles) are carried out. A high-speed camera is used to capture the bubble pulsation and jet formation process near the double-layer cylindrical structure. The particle image velocimetry technology is used to test the velocity of the explosion flow field to obtain the jet velocity after the bubble collapse. At the same time, a pressure sensor is used to measure the pressure load on the inner cylindrical shell wall. The experimental results show that the detonation distance parameters determine the form of pressure load on the inner wall, whether effective jet is generated after the bubble collapse, and the jet velocity. When the detonation distance parameters are within a certain range, the hole parameters will affect the bubble pulsation and the direction of the water jet generated after the bubble collapse.
-
表 1 双层圆柱模型的尺寸以及参数
Table 1. Dimensions and parameters of the double layered cylindrical model
Model No. Outer radius/mm Inner radius/mm Plate thickness/mm dW/mm dN/mm 1 70 45 5 10 6 2 70 45 5 20 6 3 70 45 5 30 6 表 2 模型1~模型3的实验工况
Table 2. Experimental cases for Model 1–Model 3
Model Case $ \lambda $ $ \gamma $ 1 M1-1 0.2 0 M1-2 0.2 0.1 M1-3 0.2 0.2 M1-4 0.2 0.3 M1-5 0.2 0.4 M1-6 0.2 0.6 M1-7 0.2 0.8 2 M2-1 0.4 0 M2-2 0.4 0.1 M2-3 0.4 0.2 M2-4 0.4 0.3 M2-5 0.4 0.4 M2-6 0.4 0.6 M2-7 0.4 0.8 3 M3-1 0.6 0 M3-2 0.6 0.1 M3-3 0.6 0.2 M3-4 0.6 0.3 M3-5 0.6 0.4 M3-6 0.6 0.6 M3-7 0.6 0.8 表 3 炸药的材料模型及状态方程参数
Table 3. Material model and equation of state parameter of the explosive
$ {\rho }_{0} $/($ \mathrm{k}\mathrm{g}\cdot {\mathrm{m}}^{-3} $) $ D_{\mathrm{C}\mathrm{J}} $/$ \left(\mathrm{m}\cdot {\mathrm{s}}^{-1}\right) $ $ p_{\mathrm{C}\mathrm{J}} $/GPa EZ/GPa A/GPa B/GPa $ {R}_{1} $ $ {R}_{2} $ $ \omega $ 1630 6930 21.0 7.17 373.7 3.74 4.15 0.9 0.35 表 4 水的材料模型及状态方程参数
Table 4. Material model and equation of state parameter of water
$ {\rho }_{0} $/($ \mathrm{k}\mathrm{g}\cdot {\mathrm{m}}^{-3} $) $ {C}_{0} $/GPa $ {C}_{1} $/GPa $ {C}_{2} $/GPa $ {C}_{3} $/GPa $ {C}_{4} $ $ {C}_{5} $ $ {C}_{6} $ EC $ 1010 $ $ 1.01\times {10}^{-4} $ 2.036 8.432 8.014 0.4934 1.3937 0 $ 2.05\times {10}^{-4} $ 表 5 实验与数值模拟结果对比
Table 5. Comparison between experimental and simulation results
db Tb vb Exp./cm Sim./cm Error/% Exp./ms Sim./ms Error/% Exp./(m·s−1) Sim./(m·s−1) Error/% 5.00 4.99 0.2 4.80 4.42 8.5 43.118 49.069 12.1 表 6 自由场压力测量实验结果
Table 6. Experimental results of free field pressure measurement
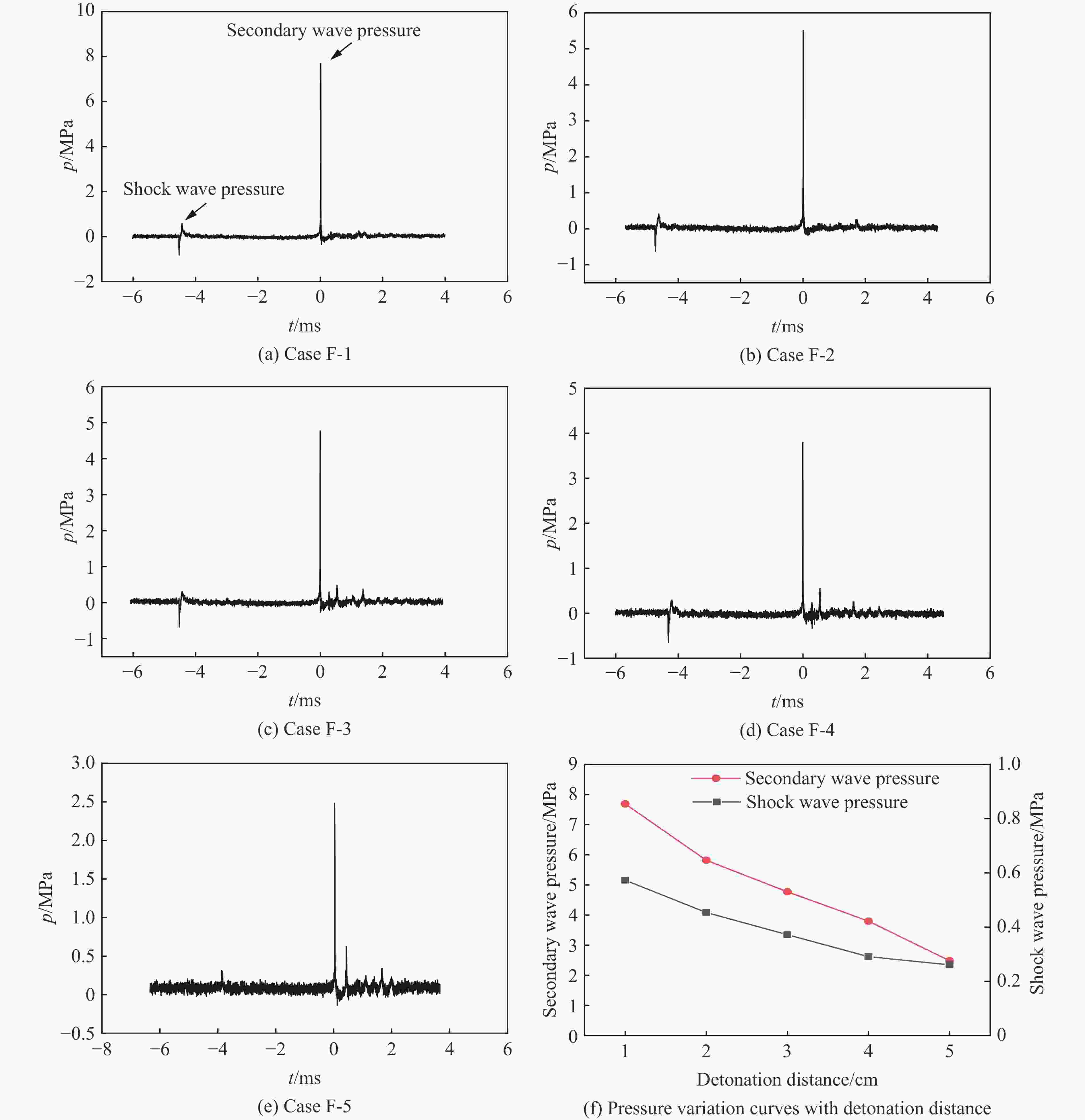
Case DF/cm Shock wave pressure/MPa Pressure of bubble secondary wave/MPa F-1 4 0.573 7.692 F-2 5 0.454 5.818 F-3 6 0.372 4.772 F-4 7 0.291 3.798 F-5 8 0.261 2.482 表 7 模型2的压力实验结果
Table 7. Pressure experiment results of Model 2
Case D/cm $ \gamma $ Shock wave
pressure/MPaPressure of secondary
wave/MPaPressure of triple
wave/MPaBubble jet
load/MPaM-1 1 0.2 0.594 3.575 1.025 M-2 2 0.4 0.466 2.085 1.297 M-3 3 0.6 0.381 6.325 2.338 0.404 M-4 4 0.8 0.284 7.317 3.032 M-5 5 1.0 0.267 2.332 0.372 表 8 模型1的气泡脉动实验结果
Table 8. Bubble pulsation experiment results of Model 1
Case $ \gamma $ Maximum bubble
diameter/cmBubble pulsation
period/msJet direction Instantaneous jet
velocity/($ \mathrm{m}\cdot {\mathrm{s}}^{-1} $)Mean jet velocity/
($ \mathrm{m}\cdot {\mathrm{s}}^{-1} $)M1-1 0 4.50 4.0 Upward and downward 34.75 19.55 M1-2 0.1 4.95 4.5 Upward and downward 41.44 25.56 M1-3 0.2 5.08 4.9 Upward and downward 38.56 17.49 M1-4 0.3 4.95 5.0 Upward and downward 38.88 12.68 M1-5 0.4 5.02 5.1 Upward and downward 41.68 12.01 M1-6 0.6 5.01 5.0 Upward 24.51 7.85 M1-7 0.8 5.02 4.9 表 9 模型2的气泡脉动实验结果
Table 9. Bubble pulsation experiment results of Model 2
Case $ \gamma $ Maximum bubble
diameter/cmBubble pulsation
period/msJet direction Instantaneous jet
velocity/($ \mathrm{m}\cdot {\mathrm{s}}^{-1} $)Mean jet velocity/
($ \mathrm{m}\cdot {\mathrm{s}}^{-1} $)M2-1 0 4.97 4.4 Upward and downward 44.74 25.08 M2-2 0.1 4.95 4.8 Upward and downward 42.18 23.03 M2-3 0.2 5.15 5.0 Upward and downward 44.31 17.88 M2-4 0.3 5.05 4.9 Upward and downward 42.01 12.94 M2-5 0.4 5.00 4.7 Upward 40.13 10.42 M2-6 0.6 5.19 5.1 Upward 5.61 M2-7 0.8 5.00 5.0 表 10 模型3的气泡脉动实验结果
Table 10. Bubble pulsation experiment results of Model 3
Case $ \gamma $ Maximum bubble
diameter/cmBubble pulsation
period/msJet direction Instantaneous jet
velocity/($ \mathrm{m}\cdot {\mathrm{s}}^{-1} $)Mean jet velocity/
($ \mathrm{m}\cdot {\mathrm{s}}^{-1} $)M3-1 0 5.37 4.8 Upward 40.91 30.49 M3-2 0.1 4.90 4.9 Upward 43.17 26.92 M3-3 0.2 4.75 5.0 Upward 42.79 16.37 M3-4 0.3 5.01 5.0 Upward 46.51 17.69 M3-5 0.4 4.95 4.8 Upward 28.76 9.38 M3-6 0.6 4.98 4.9 Upward 2.88 M3-7 0.8 5.00 5.0 -
[1] 王玉, 卢熹, 张方方, 等. 反潜鱼雷战斗部对典型潜艇目标毁伤效应研究 [J]. 兵器装备工程学报, 2021, 42(12): 112–116. doi: 10.11809/bqzbgcxb2021.12.016WANG Y, LU X, ZHANG F F, et al. Damage effect of anti-submarine torpedo warhead on typical submarine targets [J]. Journal of Ordnance Equipment Engineering, 2021, 42(12): 112–116. doi: 10.11809/bqzbgcxb2021.12.016 [2] 贺铭, 张阿漫, 刘云龙. 近场水下爆炸气泡与双层破口结构的相互作用 [J]. 爆炸与冲击, 2020, 40(11): 111402. doi: 10.11883/bzycj-2020-0110HE M, ZHANG A M, LIU Y L. Interaction of the underwater explosion bubbles and nearby double-layer structures with circular holes [J]. Explosion and Shock Waves, 2020, 40(11): 111402. doi: 10.11883/bzycj-2020-0110 [3] 吴林杰, 侯海量, 朱锡, 等. 水下接触爆炸下防雷舱舷侧空舱的内压载荷特性仿真研究 [J]. 兵工学报, 2017, 38(1): 143–150. doi: 10.3969/j.issn.1000-1093.2017.01.019WU L J, HOU H L, ZHU X, et al. Numerical simulation on inside load characteristics of broadside cabin of defensive structure subjected to underwater contact explosion [J]. Acta Armamentarii, 2017, 38(1): 143–150. doi: 10.3969/j.issn.1000-1093.2017.01.019 [4] 杨棣, 姚熊亮, 张玮, 等. 水下近场及接触爆炸作用下双层底结构损伤试验研究 [J]. 振动与冲击, 2015, 34(2): 161–165, 186. doi: 10.13465/j.cnki.jvs.2015.02.028YANG D, YAO X L, ZHANG W, et al. Experimental on double bottom’s structural damage under underwater near-field and contact explosions [J]. Journal of Vibration and Shock, 2015, 34(2): 161–165, 186. doi: 10.13465/j.cnki.jvs.2015.02.028 [5] 苏标, 姚熊亮, 孙龙泉, 等. 水下接触爆炸作用下双层加筋板架结构的损伤特征 [J]. 兵工学报, 2021, 42(Suppl 1): 127–134. doi: 10.3969/j.issn.1000-1093.2021.S1.016SU B, YAO X L, SUN L Q, et al. Damage characteristics of double-layer stiffened shell subjected to underwater contact explosion [J]. Acta Armamentarii, 2021, 42(Suppl 1): 127–134. doi: 10.3969/j.issn.1000-1093.2021.S1.016 [6] 孙远翔, 刘新, 陈岩武, 等. 水下爆炸气泡射流载荷及对结构毁伤研究进展 [J]. 舰船科学技术, 2024, 46(1): 1–7. doi: 10.3404/j.issn.1672-7649.2024.01.001SUN Y X, LIU X, CHEN Y W, et al. Research progress of underwater explosion bubble jet and its damage to structures [J]. Ship Science and Technology, 2024, 46(1): 1–7. doi: 10.3404/j.issn.1672-7649.2024.01.001 [7] 刘靖晗, 唐廷, 韦灼彬, 等. 刚性柱附近浅水爆炸荷载特性研究 [J]. 高压物理学报, 2019, 33(5): 055104. doi: 10.11858/gywlxb.20180704LIU J H, TANG T, WEI Z B, et al. Pressure characteristics of shallow water explosion near the rigid column [J]. Chinese Journal of High Pressure Physics, 2019, 33(5): 055104. doi: 10.11858/gywlxb.20180704 [8] 姚熊亮, 刘文韬, 张阿漫, 等. 水下爆炸气泡及其对结构毁伤研究综述 [J]. 中国舰船研究, 2016, 11(1): 36–45. doi: 10.3969/j.issn.1673-3185.2016.01.006YAO X L, LIU W T, ZHANG A M, et al. Review of the research on underwater explosion bubbles and the corresponding structural damage [J]. Chinese Journal of Ship Research, 2016, 11(1): 36–45. doi: 10.3969/j.issn.1673-3185.2016.01.006 [9] QUAH E W, KARRI B, OHL S W, et al. Expansion and collapse of an initially off-centered bubble within a narrow gap and the effect of a free surface [J]. International Journal of Multiphase Flow, 2018, 99: 62–72. doi: 10.1016/j.ijmultiphaseflow.2017.09.013 [10] CHEN Y Y, YAO X L, CUI X W, et al. Experimental investigation of bubble dynamics near a double-layer plate with a circular hole [J]. Ocean Engineering, 2021, 239: 109715. doi: 10.1016/j.oceaneng.2021.109715 [11] 陈岩武, 孙远翔, 王成. 水下爆炸载荷下舰船双层底部结构的毁伤特性 [J]. 兵工学报, 2023, 44(3): 670–681. doi: 10.12382/bgxb.2022.0390CHEN Y W, SUN Y X, WANG C. Damage characteristics of ship’s double bottom structure subjected to underwater explosion [J]. Acta Armamentarii, 2023, 44(3): 670–681. doi: 10.12382/bgxb.2022.0390 -

下载: