Pressure-Induced Polymerization of One-Dimensional Nitrogen Chains in K2N2
doi: 10.11858/gywlxb.20240719
-
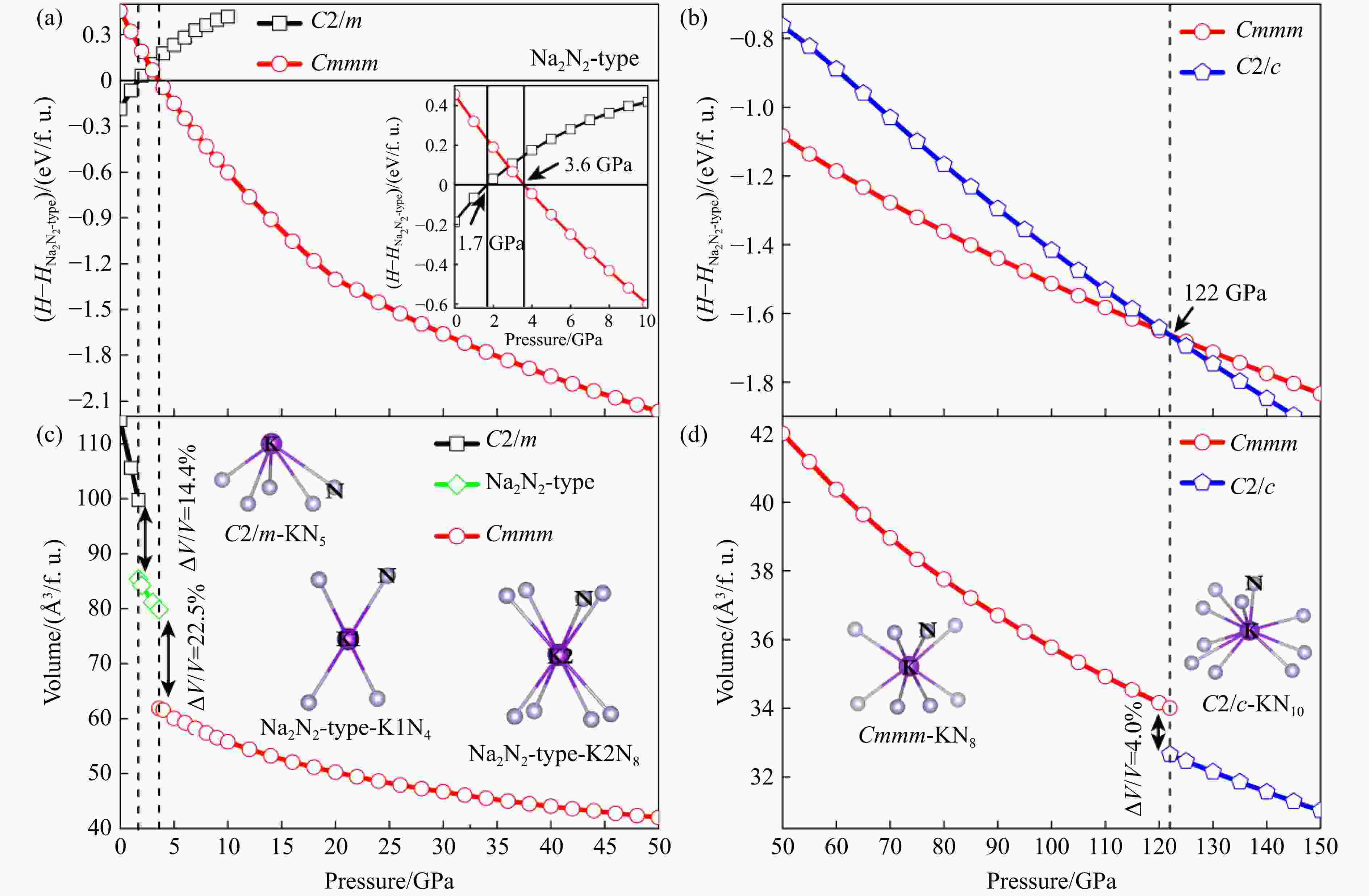
摘要: 采用先进的粒子群晶体结构搜索方法对K2N2在0~150 GPa压强范围内进行晶体结构预测,结果表明,K2N2的基态稳定相为单斜C2/m结构,且在1.7、3.6和122 GPa压强下的结构分别为Na2N2型、Cmmm、C2/c。体积随压强的变化关系显示C2/m→Na2N2型、Na2N2型→Cmmm和Cmmm→C2/c这3个相变均为一级相变,对应的体积坍塌分别为14.4%、22.5%和4.0%。在K2N2高压相变过程中,K原子的配位数从5增加到10,并伴随着N-N成键性质的变化,即从基态C2/m结构中的准分子N=N双键聚合为高压C2/c相中的N―N单键链。C2/m、Na2N2型、Cmmm相表现出金属性,而高压C2/c相表现出半导体(带隙为2.0 eV)性质。电子结构计算和电子局域函数分析表明,K2N2的高压结构相变来源于高压下K-p孤对电子的激活及其与N原子的成键。Abstract: The crystal structure prediction of K2N2 in the pressure range of 0–150 GPa using an advanced particle swarm crystal structure search method was conducted. The results show that the stable ground state phase of K2N2 is a monoclinicC2/mstructure, and three high-pressure structures including Na2N2-type,Cmmm, andC2/care identified at pressures of 1.7, 3.6, 122 GPa, respectively. The volume dependence on pressure shows that the three phase transitions, i. e.,C2/m→Na2N2-type, Na2N2-type→Cmmm, andCmmm→C2/c, are all first order phase transitions, corresponding to volume collapses of 14.4%, 22.5%, and 4.0%, respectively. During the high pressure phase transitions of K2N2, the coordination number of K atom increases from 5 to 10, and a change in the nature of the N-N bonding from N=N dimmer in the ground state ofC2/mstructure to N―N single bond chain in the high-pressureC2/cphase is accompanied. The high-pressureC2/cphase exhibits semiconducting properties with a band gap of 2.0 eV, whileC2/m, Na2N2-type, andCmmmphases have metallic behaviors. Electronic structure calculation and electron-localized function analysis indicate that the high-pressure structural phase transition of K2N2 is due to the K-plone-pair electrons activation and their participation in bonding with N atoms under high pressure.
-
Key words:
- high pressure /
- K2N2 /
- structure predictions /
- phase transitions /
- electronic structures
-
Table 1. Optimized structural parameters of the C2/m, Na2N2-type, Cmmm, and C2/c phases of K2N2
Phase Pressure/GPa Lattice parameters dN-N/Å Atomic fractional coordinates C2/m 0 a = 7.562 Å, b = 3.912 Å, c = 10.923 Å,
α = γ = 90°, β= 134.955°1.192 K 4i (0.613, 0, 0.260)
N 4i (0.519, 0, 0.456)Na2N2-type 2.5 a = 3.326 Å, b = 4.375 Å, c = 5.694 Å,
α = β = γ = 90°1.220 K1 1e (0, 0.500, 0)
K2 1c (0, 0, 0.500)
N 2t (0.500, 0.500, 0.393)Cmmm 20.0 a = 6.896 Å, b = 5.104 Å, c = 2.855 Å,
α = β = γ = 90°1.254 K 4g (0.694, 0, 0)
N 4j (0, 0.877, 0.500)C2/c 135.0 a = 6.971 Å, b = 4.099 Å, c = 4.510 Å,
α = γ = 90°, β= 81.342°1.474, 1.373 K 8f (0.669, 0.909, 0.198)
N 8f (0.041, 0.887, 0.102)Table 2. Calculated Bader charges of K and N atoms in C2/m, Na2N2-type, Cmmm, and C2/c phases
Phase Pressure/GPa Atom Charge value/e Charge transfer/e C2/m 0 K
N8.509 (×2)
5.491 (×2)+0.491
−0.491Na2N2-type 2.5 K1
K2
N8.407
8.303
5.645 (×2)+0.593
+0.697
−0.645Cmmm 20.0 K
N8.310 (×2)
5.690 (×2)+0.690
−0.690C2/c 135.0 K
N8.377 (×2)
5.623 (×2)+0.623
−0.623 -
[1] PIERSON H O. Handbook of refractory carbides and nitrides: properties, characteristics, processing and applications [M]. Westwood: Noyes, 1996. [2] HORVATH-BORDON E, RIEDEL R, ZERR A, et al. High-pressure chemistry of nitride-based materials [J]. Chemical Society Reviews, 2006, 35(10): 987–1014. doi: 10.1039/b517778m [3] CHRISTE K O. Polynitrogen chemistry enters the ring: a cyclo- ${{\mathrm{N}}_5^- }$ anion has been synthesized as a stable salt and characterized [J]. Science, 2017, 355(6323): 351. doi: 10.1126/science.aal5057[4] LANIEL D, WECK G, LOUBEYRE P. Direct reaction of nitrogen and lithium up to 75 GPa: synthesis of the Li3N, LiN, LiN2, and LiN5 compounds [J]. Inorganic Chemistry, 2018, 57(17): 10685–10693. doi: 10.1021/acs.inorgchem.8b01325 [5] YAO Y S, ADENIYI A O. Solid nitrogen and nitrogen-rich compounds as high-energy-density materials [J]. Physica Status Solidi (B), 2021, 258(6): 2000588. doi: 10.1002/pssb.202000588 [6] EREMETS M I, GAVRILIUK A G, TROJAN I A, et al. Single-bonded cubic form of nitrogen [J]. Nature Materials, 2004, 3(8): 558–563. doi: 10.1038/nmat1146 [7] EREMETS M I, GAVRILIUK A G, TROJAN I A. Single-crystalline polymeric nitrogen [J]. Applied Physics Letters, 2007, 90(17): 171904. doi: 10.1063/1.2731679 [8] GREGORYANZ E, GONCHAROV A F, SANLOUP C, et al. High P-T transformations of nitrogen to 170 GPa [J]. The Journal of Chemical Physics, 2007, 126(18): 184505. doi: 10.1063/1.2723069 [9] ZHANG L J, WANG Y C, LV J, et al. Materials discovery at high pressures [J]. Nature Reviews Materials, 2017, 2(4): 17005. doi: 10.1038/natrevmats.2017.5 [10] MEDVEDEV S A, TROJAN I A, EREMETS M I, et al. Phase stability of lithium azide at pressures up to 60 GPa [J]. Journal of Physics: Condensed Matter, 2009, 21(19): 195404. doi: 10.1088/0953-8984/21/19/195404 [11] EREMETS M I, POPOV M Y, TROJAN I A, et al. Polymerization of nitrogen in sodium azide [J]. The Journal of Chemical Physics, 2004, 120(22): 10618–10623. doi: 10.1063/1.1718250 [12] ZHU H Y, ZHANG F X, JI C, et al. Pressure-induced series of phase transitions in sodium azide [J]. Journal of Applied Physics, 2013, 113(3): 033511. doi: 10.1063/1.4776235 [13] ZHOU M, LIU S J, DU M R, et al. High-pressure-induced structural and chemical transformations in NaN3 [J]. The Journal of Physical Chemistry C, 2020, 124(37): 19904–19910. doi: 10.1021/acs.jpcc.0c04107 [14] JI C, ZHANG F X, HOU D B, et al. High pressure X-ray diffraction study of potassium azide [J]. Journal of Physics and Chemistry of Solids, 2011, 72(6): 736–739. doi: 10.1016/j.jpcs.2011.03.005 [15] JI C, ZHENG R, HOU D B, et al. Pressure-induced phase transition in potassium azide up to 55 GPa [J]. Journal of Applied Physics, 2012, 111(11): 112613. doi: 10.1063/1.4726212 [16] WANG Y, BYKOV M, CHEPKASOV I, et al. Stabilization of hexazine rings in potassium polynitride at high pressure [J]. Nature Chemistry, 2022, 14(7): 794–800. doi: 10.1038/s41557-022-00925-0 [17] LI D M, WU X X, JIANG J R, et al. Pressure-induced phase transitions in rubidium azide: studied by in-situ X-ray diffraction [J]. Applied Physics Letters, 2014, 105(7): 071903. doi: 10.1063/1.4893464 [18] LI D M, LI F F, LI Y, et al. High-pressure studies of rubidium azide by Raman and infrared spectroscopies [J]. The Journal of Physical Chemistry C, 2015, 119(29): 16870–16878. doi: 10.1021/acs.jpcc.5b05208 [19] HOU D B, ZHANG F X, JI C, et al. Series of phase transitions in cesium azide under high pressure studied by in situ X-ray diffraction [J]. Physical Review B, 2011, 84(6): 064127. doi: 10.1103/PhysRevB.84.064127 [20] LI D M, ZHU P F, JIANG J R, et al. High-pressure Raman and infrared spectroscopic studies of cesium azide [J]. The Journal of Physical Chemistry C, 2016, 120(47): 27013–27018. doi: 10.1021/acs.jpcc.6b09811 [21] SUI M H, LIU S, WANG P, et al. High-pressure synthesis of fully sp2-hybridized polymeric nitrogen layer in potassium supernitride [J]. Science Bulletin, 2023, 68(14): 1505–1513. doi: 10.1016/j.scib.2023.06.029 [22] ZHANG M G, YAN H Y, WEI Q, et al. Novel high-pressure phase with pseudo-benzene “N6” molecule of LiN3 [J]. Europhysics Letters, 2013, 101(2): 26004. doi: 10.1209/0295-5075/101/26004 [23] WANG X L, LI J F, BOTANA J, et al. Polymerization of nitrogen in lithium azide [J]. The Journal of Chemical Physics, 2013, 139(16): 164710. doi: 10.1063/1.4826636 [24] ZHANG M G, YIN K T, ZHANG X X, et al. Structural and electronic properties of sodium azide at high pressure: a first principles study [J]. Solid State Communications, 2013, 161: 13–18. doi: 10.1016/j.ssc.2013.01.032 [25] ZHANG M G, YAN H Y, WEI Q, et al. A new high-pressure polymeric nitrogen phase in potassium azide [J]. RSC Advances, 2015, 5(16): 11825–11830. doi: 10.1039/C4RA15699D [26] ZHANG X W, ZUNGER A, TRIMARCHI G. Structure prediction and targeted synthesis: a new Na nN2 diazenide crystalline structure [J]. The Journal of Chemical Physics, 2010, 133(19): 194504. doi: 10.1063/1.3488440 [27] SCHNEIDER S B, FRANKOVSKY R, SCHNICK W. High-pressure synthesis and characterization of the alkali diazenide Li2N2 [J]. Angewandte Chemie International Edition, 2012, 51(8): 1873–1875. doi: 10.1002/anie.201108252 [28] SHEN Y Q, OGANOV A R, QIAN G R, et al. Novel lithium-nitrogen compounds at ambient and high pressures [J]. Scientific Reports, 2015, 5: 14204. doi: 10.1038/srep14204 [29] ZHANG J, WANG X L, YANG K S, et al. The polymerization of nitrogen in Li2N2 at high pressures [J]. Scientific Reports, 2018, 8(1): 13144. doi: 10.1038/s41598-018-31355-z [30] WANG Y C, LV J, ZHU L, et al. Crystal structure prediction via particle-swarm optimization [J]. Physical Review B, 2010, 82(9): 094116. doi: 10.1103/PhysRevB.82.094116 [31] WANG Y C, LV J, ZHU L, et al. CALYPSO: a method for crystal structure prediction [J]. Computer Physics Communications, 2012, 183(10): 2063–2070. doi: 10.1016/j.cpc.2012.05.008 [32] LI Y W, FENG X L, LIU H Y, et al. Route to high energy density polymeric nitrogen t-N via He-N compounds [J]. Nature Communications, 2018, 9(1): 722. doi: 10.1038/s41467-018-03200-4 [33] MA L, WANG K, XIE Y, et al. High-temperature superconducting phase in clathrate calcium hydride CaH6 up to 215 K at a pressure of 172 GPa [J]. Physical Review Letters, 2022, 128(16): 167001. doi: 10.1103/PhysRevLett.128.167001 [34] DUAN Q Z, SHEN J Y, ZHONG X, et al. Structural phase transition and superconductivity of ytterbium under high pressure [J]. Physical Review B, 2022, 105(21): 214503. doi: 10.1103/PhysRevB.105.214503 [35] SUN W G, CHEN B L, LI X F, et al. Ternary Na-P-H superconductor under high pressure [J]. Physical Review B, 2023, 107(21): 214511. doi: 10.1103/PhysRevB.107.214511 [36] KRESSE G, FURTHMÜLLER J. Efficient iterative schemes for ab initio total-energy calculations using a plane-wave basis set [J]. Physical Review B, 1996, 54(16): 11169–11186. doi: 10.1103/PhysRevB.54.11169 [37] PERDEW J P, BURKE K, ERNZERHOF M. Generalized gradient approximation made simple [J]. Physical Review Letters, 1996, 77(18): 3865–3868. doi: 10.1103/PhysRevLett.77.3865 [38] BLÖCHL P E. Projector augmented-wave method [J]. Physical Review B, 1994, 50(24): 17953–17979. doi: 10.1103/PhysRevB.50.17953 [39] GRIMME S, ANTONY J, EHRLICH S, et al. A consistent and accurate ab initio parametrization of density functional dispersion correction (DFT-D) for the 94 elements H-Pu [J]. The Journal of Chemical Physics, 2010, 132(15): 154104. doi: 10.1063/1.3382344 [40] MONKHORST H J, PACK J D. Special points for Brillouin-zone integrations [J]. Physical Review B, 1976, 13(12): 5188–5192. doi: 10.1103/PhysRevB.13.5188 [41] TOGO A, TANAKA I. First principles phonon calculations in materials science [J]. Scripta Materialia, 2015, 108: 1–5. doi: 10.1016/j.scriptamat.2015.07.021 [42] GATTI C. Chemical bonding in crystals: new directions [J]. Zeitschrift für Kristallographie-Crystalline Materials, 2005, 220(5/6): 399–457. [43] PENG F, HAN Y X, LIU H Y, et al. Exotic stable cesium polynitrides at high pressure [J]. Scientific reports, 2015, 5(1): 16902. doi: 10.1038/srep16902 [44] BRILL T B, JAMES K J. Kinetics and mechanisms of thermal decomposition of nitroaromatic explosives [J]. Chemical Reviews, 1993, 93(8): 2667–2692. doi: 10.1021/cr00024a005 [45] ZHANG S T, ZHAO Z Y, LIU L L, et al. Pressure-induced stable BeN4 as a high-energy density material [J]. Journal of Power Sources, 2017, 365: 155–161. doi: 10.1016/j.jpowsour.2017.08.086 [46] ZHAI H, XU R, DAI J H, et al. Stabilized nitrogen framework anions in the Ga-N system [J]. Journal of the American Chemical Society, 2022, 144(47): 21640–21647. doi: 10.1021/jacs.2c09056 -

下载: