Effect of Low Temperature Environments on the Explosive Properties of Emulsion Explosives
-
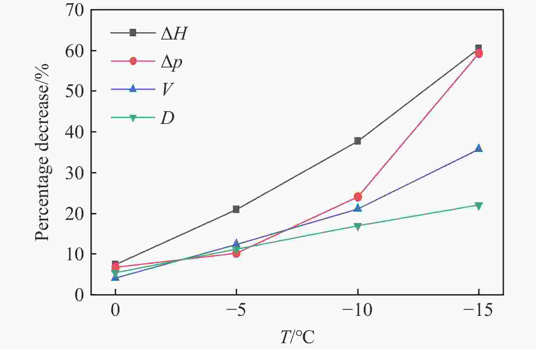
摘要: 在低温条件下乳化炸药爆炸性能的下降会严重影响爆破效果,研究药体温度改变后乳化炸药爆炸性能的变化规律具有一定的工程应用价值。为此,设计了一系列乳化炸药药体温度精确控制装置,对药体温度为25、0、−5、−10、−15 ℃的乳化炸药的爆速、猛度、做功能力及空中爆炸冲击波超压进行测量,并观察乳化炸药的微观结构。实验结果表明:当药体温度由25 ℃降至−15℃时,炸药的爆速由4227 m/s降至3291 m/s,猛度由13.0 mm降至5.2 mm,做功能力由323 mL降至208 mL,爆炸冲击波超压由284.9 kPa降至115.8 kPa。随着药体温度的降低,硝酸铵析晶量增加,乳胶粒子的局部结构被破坏,致使乳化炸药的微观结构发生变化,爆炸性能降低。低温环境对乳化炸药猛度的影响最大,对爆速的影响最小;随着温度的降低,爆炸性能的降幅增大。在工程应用中,需综合考虑爆炸性能的降幅进行爆破参数设计。Abstract: The decline of explosive properties of emulsion explosives will seriously affect the blasting effect in the environment of low temperature. The study on the evolution law of explosive properties of the emulsion explosives in coordination with the temperature variation of the emulsion explosives presents a certain engineering application value. A series of precise temperature control devices for emulsion explosives were designed, and then the detonation velocity, the brisance, the working capacity and the overpressure of air shock wave were measured with various temperature of 25, 0, −5, −10 and −15 ℃. Meanwhile, the microstructure of the emulsion explosives was characterized. The experimental results showed that when the temperature of the emulsion explosives was reduced from 25 ℃ to −15 ℃, the detonation velocity of the explosive was reduced from 4227 m/s to 3291 m/s, the brisance of the explosive was reduced from 13.0 mm to 5.2 mm, the working capacity of the explosives was reduced from 323 mL to 208 mL, and the overpressure of air shock wave was reduced from 284.9 kPa to 115.8 kPa. With the decrease of the temperature of the emulsion explosives, the precipitation of ammonium nitrate crystal increased along with the partial structure failure of the emulsion particles, resulting in changes in the microstructure and declines in the explosive properties of the emulsion explosives. Low-temperature environment mostly affected the brisance of emulsion explosives, but slightly affected the detonation velocity. With the decrease of temperature, the decline amplitude of explosive properties would be accelerated. It is suggested that the design of blasting properties should be adjusted according to the decline amplitude of explosive properties.
-
表 1 不同药体温度下乳化炸药爆炸性能测试结果
Table 1. Test results of explosion properties of emulsion explosives with different body temperatures
T/℃ D/(m·s−1) ΔH/mm V/mL Δp/kPa 25 4227 13.0 323 284.9 0 3994 12.1 310 265.4 −5 3752 10.3 283 255.8 −10 3509 8.1 255 216.3 −15 3291 5.2 208 115.8 -
[1] 汪旭光. 乳化炸药 [M]. 2版. 北京: 冶金工业出版社, 2008.WANG X G. Emulsion explosives [M]. 2nd ed. Beijing: Metallurgical Industry Press, 2008. [2] 吴红波, 高郁凯, 李鹏, 等. 乳化炸药的高原环境适应性研究 [J]. 爆破器材, 2021, 50(5): 34–38. doi: 10.3969/j.issn.1001-8352.2021.05.006WU H B, GAO Y K, LI P, et al. Study on adaptability of emulsion explosive in plateau environment [J]. Explosive Materials, 2021, 50(5): 34–38. doi: 10.3969/j.issn.1001-8352.2021.05.006 [3] 赵晓莉, 夏斌, 刘尊义, 等. 模拟高原环境对炸药爆速影响的试验研究 [J]. 爆破器材, 2015, 44(2): 36–39. doi: 10.3969/j.issn.1001-8352.2015.02.009ZHAO X L, XIA B, LIU Z Y, et al. Experimental research on detonation velocity of explosive in simulated plateau environment [J]. Explosive Materials, 2015, 44(2): 36–39. doi: 10.3969/j.issn.1001-8352.2015.02.009 [4] 李瑞, 李孝臣, 汪泉, 等. 低温和低压环境下炸药爆炸冲击波的传播特性 [J]. 爆炸与冲击, 2023, 43(2): 022301. doi: 10.11883/bzycj-2022-0188LI R, LI X C, WANG Q, et al. Propagation characteristics of blast wave in diminished ambient temperature and pressure environments [J]. Explosion and Shock Waves, 2023, 43(2): 022301. doi: 10.11883/bzycj-2022-0188 [5] 夏曼曼, 吴红波, 徐飞扬, 等. 乳化炸药空中爆炸冲击波衰减规律的研究 [J]. 爆破器材, 2017, 46(4): 21–24. doi: 10.3969/j.issn.1001-8352.2017.04.004XIA M M, WU H B, XU F Y, et al. Attenuation rules of shock wave in air blasting of emulsion explosive [J]. Explosive Materials, 2017, 46(4): 21–24. doi: 10.3969/j.issn.1001-8352.2017.04.004 [6] 牛余雷, 冯晓军, 李媛媛, 等. 炸药爆轰参数与空中爆炸冲击波超压的关系 [J]. 火炸药学报, 2013, 36(4): 42–45, 64. doi: 10.3969/j.issn.1007-7812.2013.04.010NIU Y L, FENG X J, LI Y Y, et al. Relation of air explosion shock wave overpressure and detonation parameters of explosives [J]. Chinese Journal of Explosives & Propellants, 2013, 36(4): 42–45, 64. doi: 10.3969/j.issn.1007-7812.2013.04.010 [7] 齐秀芳, 王杰, 何俊蓉, 等. 耐低温乳胶基质的制备与性能测试 [J]. 火炸药学报, 2019, 42(5): 480–484. doi: 10.14077/j.issn.1007-7812.2019.05.010QI X F, WANG J, HE J R, et al. Preparation and characterization of emulsion matrix with low temperature resistance [J]. Chinese Journal of Explosives & Propellants, 2019, 42(5): 480–484. doi: 10.14077/j.issn.1007-7812.2019.05.010 [8] 张立. 爆破器材性能与爆炸效应测试 [M]. 合肥: 中国科学技术大学出版社, 2006.ZHANG L. Test of blasting material performance and explosion effect [M]. Hefei: University of Science and Technology of China Press, 2006. [9] 孙宝亮, 黄文尧, 汪泉, 等. 硅藻土为载体的低爆速乳化炸药制备与性能 [J]. 含能材料, 2023, 31(1): 26–34. doi: 10.11943/CJEM2022092SUN B L, HUANG W Y, WANG Q, et al. Preparation and performance of diatomite emulsion explosive with low detonation velocity [J]. Chinese Journal of Energetic Materials, 2023, 31(1): 26–34. doi: 10.11943/CJEM2022092 [10] MEDVEDEV A E, FOMIN V M, RESHETNYAK A Y. Mechanism of detonation of emulsion explosives with microballoons [J]. Shock Waves, 2008, 18(2): 107–115. doi: 10.1007/s00193-008-0141-2 [11] 闫国斌, 汪旭光, 王尹军. 乳化炸药微观结构对其宏观性能的影响分析 [J]. 工程爆破, 2016, 22(5): 40–44. doi: 10.3969/j.issn.1006-7051.2016.05.009YAN G B, WANG X G, WANG Y J. Influence of microstructure of emulsion explosive on macro performance [J]. Engineering Blasting, 2016, 22(5): 40–44. doi: 10.3969/j.issn.1006-7051.2016.05.009 -

下载: