Analysis of Influencing Factors of Failure for Cylindrical Lithium-Ion Batteries under Compression/Impact Conditions
-
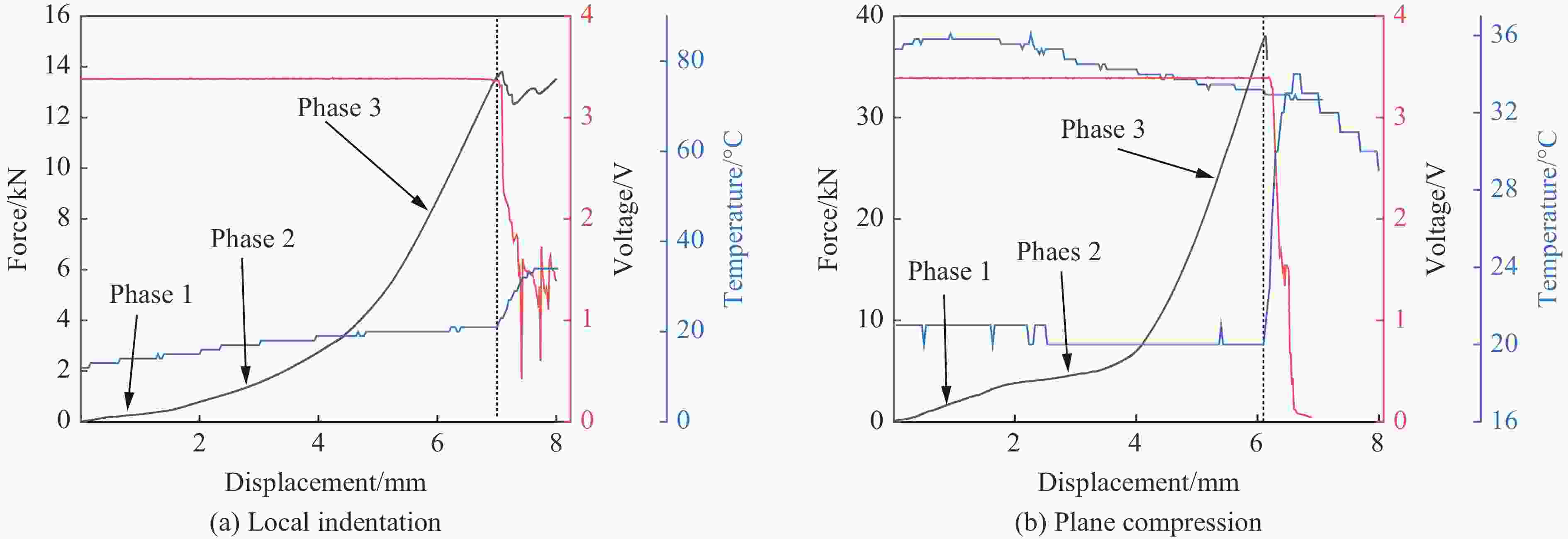
摘要: 锂离子电池在受到挤压、冲击载荷时会发生内部短路而引发热失控,因此,研究电池失效影响因素对电池结构耐撞性设计具有重要意义。以圆柱形锂离子电池为研究对象,利用自制的平面压缩和局部压痕实验系统,研究不同挤压/冲击工况下锂离子电池的力-电-热响应,并与有限元模拟结果进行对比分析,结果表明,实验与有限元模拟结果具有较好的一致性。基于显式非线性有限元方法,研究了加载速度、压头形状和压头直径对锂离子电池失效行为和力学响应的影响。研究表明:局部压痕相较于平面压缩更容易导致锂离子电池失效;随着压头直径的减小,电池的峰值力显著降低,失效位移相应减小;失效位移随着冲击速度的增加而增大,但当冲击速度超过15 m/s时,失效位移开始减小。研究结果将对锂离子电池的耐撞性多目标优化设计和安全性评估提供一定的指导。Abstract: Lithium-ion batteries (LIBs) will cause internal short-circuits and even induce thermal runaway when they are subjected to compression and impact loadings. It is of great significance to explore the influencing factors of battery failure under different mechanical abuses for the crashworthiness design of the cells. In this paper, taking cylindrical LIBs as the research object, the force-electrical-thermal responses of the cells under different compression/impact conditions were studied by using a self-made plane compression and local indentation experimental system. The experimental results were compared with the corresponding finite element (FE) ones, and there was in good agreement with each other. Based on the explicit nonlinear FE method, the effects of loading velocity, indenter shape, and indenter diameter on the failure behaviors and mechanical responses of LIBs were also discussed. It is shown that localized indentation is more likely to induce the failure of the cells compared with plane compression. The peak force significantly decreases with the decrease of the indenter diameter, and the failure displacement also decreases correspondingly. It is noted that the failure displacement increases with the increase of the impact velocity, however, the failure displacement will decrease gradually when the impact velocity is more than 15 m/s. These results will provide some guidance for the multi-objective optimal design and safety assessment of LIBs.
-
Key words:
- lithium-ion battery /
- failure mechanism /
- mechanical responses /
- impact /
- finite element simulation
-
表 1 NCR18650圆柱形锂离子电池参数
Table 1. Parameters of the NCR18650 cylindrical lithium-ion battery
Rated capacity/
(mA·h)Diameter/mm Length/mm Nominal voltage/V Charge termination
voltage/VDischarge cut-off
voltage/V3400 18 65 3.7 4.2 2.75 表 2 有限元模型材料参数
Table 2. Finite element model material parameters
Component Material type Poisson’s ratio Density/(kg·m−3) Elasticity modulus/GPa Indenter MAT_20 0.30 7800 210 Shell MAT_24 0.30 2700 69 Inner core MAT_63 0.01 2000 0.38 -
[1] 来鑫, 陈权威, 顾黄辉, 等. 面向“双碳”战略目标的锂离子电池生命周期评价: 框架、方法与进展 [J]. 机械工程学报, 2022, 58(22): 3–18. doi: 10.3901/JME.2022.22.003LAI X, CHEN Q W, GU H H, et al. Life cycle assessment of lithium-ion batteries for carbon-peaking and carbon-neutrality: framework, methods, and progress [J]. Journal of Mechanical Engineering, 2022, 58(22): 3–18. doi: 10.3901/JME.2022.22.003 [2] 刘南南, 张新春, 董思捷, 等. 不同挤压载荷下方形锂离子电池的力学响应特性研究 [J/OL]. 应用力学学报, 2024, 1−7. http://kns.cnki.net/kcms/detail/61.1112.O3.20221207.1750.012.html.LIU N N, ZHANG X C, DONG S J, et al. Mechanical response of square lithium-ion battery under different compression loadings [J/OL]. Chinese Journal of Applied Mechanics, 2024, 1−7. http://kns.cnki.net/kcms/detail/61.1112.O3.20221207.1750.012.html. [3] ZHANG X C, ZHANG T, LIU N N, et al. Dynamic crushing behaviors and failure of cylindrical lithium-ion batteries subjected to impact loading [J]. Engineering Failure Analysis, 2023, 154: 107653. doi: 10.1016/j.engfailanal.2023.107653 [4] 尹啸笛, 张涛, 张新春, 等. 机械滥用下锂离子电池的力学响应及安全性预测研究进展 [J]. 材料导报, 2024, 38(2): 22070154. doi: 10.11896/cldb.22070154YIN X D, ZHANG T, ZHANG X C, et al. Research progress on mechanical responses and safety prediction of lithium-ion batteries under mechanical abuse [J]. Materials Reports, 2024, 38(2): 22070154. doi: 10.11896/cldb.22070154 [5] ATTAR P, GALOS J, BEST A S, et al. Compression properties of multifunctional composite structures with embedded lithium-ion polymer batteries [J]. Composite Structures, 2020, 237: 111937. doi: 10.1016/j.compstruct.2020.111937 [6] 董思捷, 张新春, 汪玉林, 等. 不同挤压载荷下圆柱形锂离子电池的失效机理试验研究 [J]. 中国机械工程, 2022, 33(8): 915–920, 951. doi: 10.3969/j.issn.1004-132X.2022.08.005DONG S J, ZHANG X C, WANG Y L, et al. Experimental study of failure mechanism of cylindrical lithium-ion batteries under different compression loadings [J]. China Mechanical Engineering, 2022, 33(8): 915–920, 951. doi: 10.3969/j.issn.1004-132X.2022.08.005 [7] GREVE L, FEHRENBACH C. Mechanical testing and macro-mechanical finite element simulation of the deformation, fracture, and short circuit initiation of cylindrical lithium ion battery cells [J]. Journal of Power Sources, 2012, 214: 377–385. doi: 10.1016/j.jpowsour.2012.04.055 [8] JIA Y K, GAO X, MOUILLET J B, et al. Effective thermo-electro-mechanical modeling framework of lithium-ion batteries based on a representative volume element approach [J]. Journal of Energy Storage, 2021, 33: 102090. doi: 10.1016/j.est.2020.102090 [9] LIU B H, ZHANG J J, ZHANG C, et al. Mechanical integrity of 18650 lithium-ion battery module: packing density and packing mode [J]. Engineering Failure Analysis, 2018, 91: 315–326. doi: 10.1016/j.engfailanal.2018.04.041 [10] BEAUMONT R, MASTERS I, DAS A, et al. Methodology for developing a macro finite element model of lithium-ion pouch cells for predicting mechanical behaviour under multiple loading conditions [J]. Energies, 2021, 14(7): 1921. doi: 10.3390/en14071921 [11] 李志杰, 陈吉清, 兰凤崇, 等. 机械外力下动力电池包的系统安全性分析与评价 [J]. 机械工程学报, 2019, 55(12): 137–148. doi: 10.3901/JME.2019.12.137LI Z J, CHEN J Q, LAN F C, et al. Analysis and evaluation on system safety of power battery pack under mechanical loading [J]. Journal of Mechanical Engineering, 2019, 55(12): 137–148. doi: 10.3901/JME.2019.12.137 [12] WANG L B, YIN S, XU J. A detailed computational model for cylindrical lithium-ion batteries under mechanical loading: from cell deformation to short-circuit onset [J]. Journal of Power Sources, 2019, 413: 284–292. doi: 10.1016/j.jpowsour.2018.12.059 [13] ZHOU M Z, HU L L, CHEN S R, et al. Different mechanical-electrochemical coupled failure mechanism and safety evaluation of lithium-ion pouch cells under dynamic and quasi-static mechanical abuse [J]. Journal of Power Sources, 2021, 497: 229897. doi: 10.1016/j.jpowsour.2021.229897 [14] HU L L, ZHANG Z W, ZHOU M Z, et al. Crushing behaviors and failure of packed batteries [J]. International Journal of Impact Engineering, 2020, 143: 103618. doi: 10.1016/j.ijimpeng.2020.103618 [15] JIA Y K, YIN S, LIU B H, et al. Unlocking the coupling mechanical-electrochemical behavior of lithium-ion battery upon dynamic mechanical loading [J]. Energy, 2019, 166: 951–960. doi: 10.1016/j.energy.2018.10.142 [16] ZHANG H J, ZHOU M Z, HU L L, et al. Mechanism of the dynamic behaviors and failure analysis of lithium-ion batteries under crushing based on stress wave theory [J]. Engineering Failure Analysis, 2020, 108: 104290. doi: 10.1016/j.engfailanal.2019.104290 [17] XING B B, XIAO F Y, KOROGI Y, et al. Direction-dependent mechanical-electrical-thermal responses of large-format prismatic Li-ion battery under mechanical abuse [J]. Journal of Energy Storage, 2021, 43: 103270. doi: 10.1016/j.est.2021.103270 [18] PAN Z X, LI W, XIA Y. Experiments and 3D detailed modeling for a pouch battery cell under impact loading [J]. Journal of Energy Storage, 2020, 27: 101016. doi: 10.1016/j.est.2019.101016 [19] XU J, LIU B H, WANG X Y, et al. Computational model of 18650 lithium-ion battery with coupled strain rate and SOC dependencies [J]. Applied Energy, 2016, 172: 180–189. doi: 10.1016/j.apenergy.2016.03.108 [20] WIERZBICKI T, SAHRAEI E. Homogenized mechanical properties for the jellyroll of cylindrical lithium-ion cells [J]. Journal of Power Sources, 2013, 241: 467–476. doi: 10.1016/j.jpowsour.2013.04.135 [21] 兰凤崇, 郑文杰, 李志杰, 等. 车用动力电池的挤压载荷变形响应及内部短路失效分析 [J]. 华南理工大学学报(自然科学版), 2018, 46(6): 65–72. doi: 10.3969/j.issn.1000-565X.2018.06.009LAN F C, ZHENG W J, LI Z J, et al. Compression load-deformation response and internal short circuit failure analysis of vehicle powered batteries [J]. Journal of South China University of Technology (Natural Science Edition), 2018, 46(6): 65–72. doi: 10.3969/j.issn.1000-565X.2018.06.009 [22] XU J, LIU B H, WANG L B, et al. Dynamic mechanical integrity of cylindrical lithium-ion battery cell upon crushing [J]. Engineering Failure Analysis, 2015, 53: 97–110. doi: 10.1016/j.engfailanal.2015.03.025 [23] SAHRAEI E, MEIER J, WIERZBICKI T. Characterizing and modeling mechanical properties and onset of short circuit for three types of lithium-ion pouch cells [J]. Journal of Power Sources, 2014, 247: 503–516. doi: 10.1016/j.jpowsour.2013.08.056 -

下载: