Superionic Iron Alloys in Earth’s Inner Core and Their Effects
-
摘要: 超离子态介于固态与液态之间,被认为广泛存在于地球和行星内部。计算研究发现,在地球内核温度压力条件下,铁-氢、铁-碳、铁-氧合金处于超离子态,表现为氢、碳、氧等元素在固态铁合金中像液体一样快速流动。流动的轻元素导致铁合金软化及地震波速降低,与地球物理观测到的内核密度亏损和低剪切波速的特征一致。内核超离子态铁-氢合金可以与地磁场发生相互作用,在偶极地磁场的驱动下形成定向排列组构,从而解释了内核的各向异性结构成因。内核超离子态铁-轻元素合金的发现更新了人们对内核物态的认知,对掌握地球内核的结构、组成和演化以及内核结构与地球磁场的关系等具有重要意义。Abstract: Under the conditions of high temperature and high pressure, a series of materials transform into superionic states, which fall between the solid and liquid states and are widely believed to exist in the interior of Earth and exoplanets. Computational research has found that under the temperature and pressure of the Earth’s inner core, iron-hydrogen, iron-carbon, and iron-oxygen alloys transform to superionic states, manifested as elements such as hydrogen, carbon, and oxygen flowing rapidly like liquids in solid iron alloys. The flowing light elements cause softening of Fe alloys and a decrease in seismic wave velocities, explaining the characteristics of core density deficient and low shear wave velocity observed in geophysics. The superionic iron-hydrogen alloy in the core can interact with the geomagnetic field, forming a lattice preferred orientation fiber driven by a dipole geomagnetic field, explaining the origin of the anisotropic structure in the inner core. The discovery of superionic iron-light-element alloys in the inner core has updated our understanding of the state of the inner core, and is of great significance for understanding the structure, composition, and evolution of Earth’s inner core, as well as the relationship between the inner core structure and the Earth’s magnetic field.
-
Key words:
- superionic state /
- Earth’s inner core /
- Fe alloy /
- anisotropic structure /
- first-principles calculations
-
图 4 360 GPa下超离子态hcp相FeH0.25、FeO0.0625和FeC0.0625的纵波波速(vP)和横波波速(vS)随温度的变化(文献中的计算结果:hcp-Fe的波速和预熔化效应(蓝色)[52]、6600 K时bcc-Fe的波速(橙色)[58]、5000 K时bcc-Fe13Si3的Voigt模型波速(青色)以及Voigt-Ruess-Hill(VRH)波速(紫色)[59] )
Figure 4. Compressional (vP) and shear (vS) wave velocities in hcp-FeH0.25, hcp-FeO0.0625 and hcp-FeC0.0625 as a function of temperature at 360 GPa upon superionic transition (In comparison with previous calculation results of pure hcp-Fe with the effect of pre-melting (blue symbols)[52], seismic velocities in bcc-Fe at 6600 K (orange symbols)[58], and seismic velocities in bcc-Fe13Si3 at 5000 K with Voigt and Voigt-Ruess-Hill (VRH) model, respectively (cyan and purple symbols)[59].)
图 5 (a) 内核中地磁场示意图以及随深度变化的各向异性构造变化[36],(b) 蓝色区域的超离子态波速模型与观测值的对比[66],(c) 最内核(绿色区域)模型波速与观测值的对比[22, 27, 67]
Figure 5. (a) Schematic diagram of poloidal and toroidal geomagnetic field in the inner core (IC) and depth-dependent anisotropic texture change[36]; (b) the superionic model at the depth of blue area in comparison with geophysical observation data[66]; (c) the superionic model of innermost inner core (green area) in comparison with geophysical observation data[22, 27, 67]
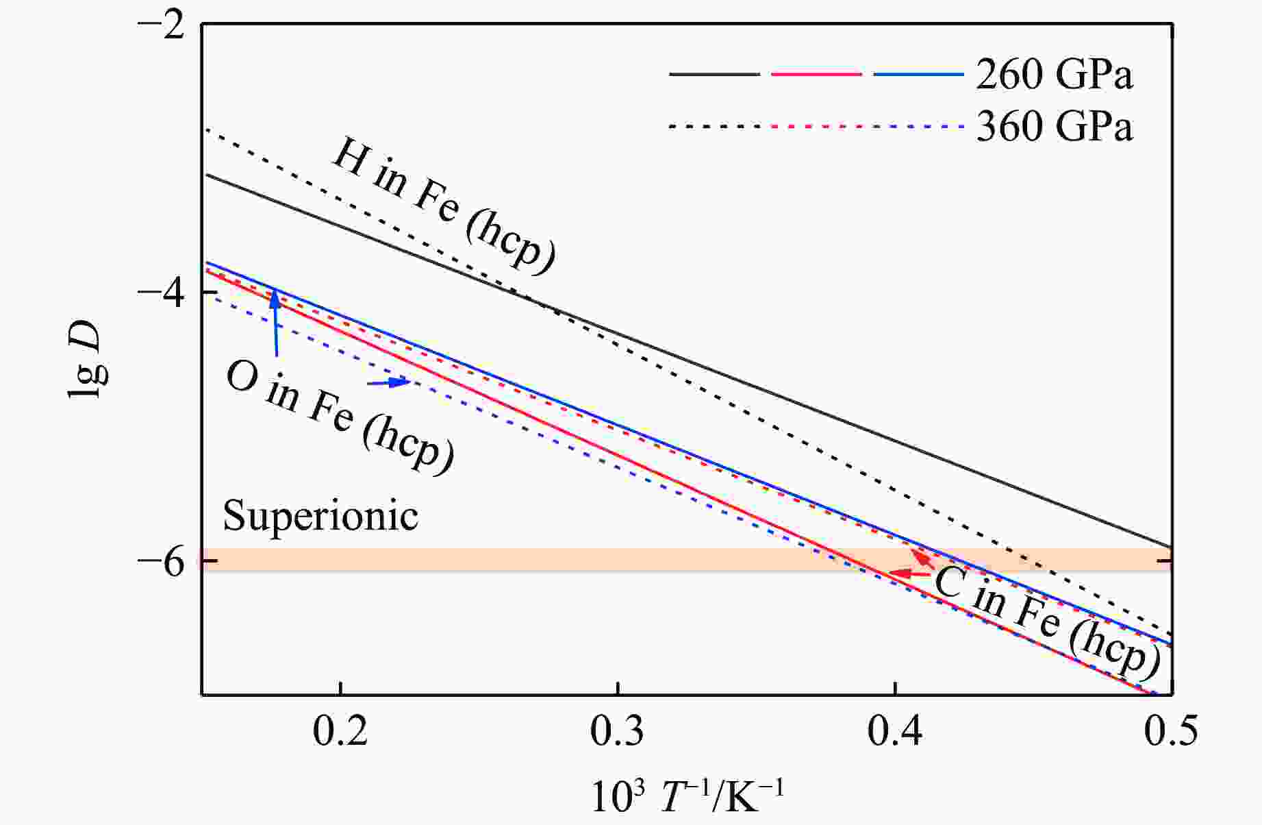
表 1 H、O、C在超离子态铁-轻元素合金中的扩散活化焓和超离子态转变温度
Table 1. Diffusion enthalpy of H, O, and C in superionic Fe-light element alloys and their superionic transition temperatures
Alloy Pressure/GPa D0/(cm2·s−1) ΔH/eV Ts/K FeH0.25 260 0.148 1.58 2000 360 0.317 2.14 2230 FeO0.0625 260 0.079 1.62 2350 360 0.067 1.72 2630 FeC0.0625 260 0.087 1.83 2600 360 0.074 1.60 2360 -
[1] FARADAY M. Ⅶ. experimental researches in electricity: twelfth series [J]. Philosophical Transactions of the Royal Society of London, 1838, 128: 83–123. doi: 10.1098/rstl.1838.0008 [2] TUBANDT C, LORENZ E. Molekularzustand und elektrisches leitvermögen kristallisierter salze [J]. Zeitschrift für Physikalische Chemie, 1914, 87U(1): 513–542. doi: 10.1515/zpch-1914-8737 [3] DEMONTIS P, LESAR R, KLEIN M L. New high-pressure phases of ice [J]. Physical Review Letters, 1988, 60(22): 2284–2287. doi: 10.1103/PhysRevLett.60.2284 [4] MILLOT M, COPPARI F, RYGG J R, et al. Nanosecond X-ray diffraction of shock-compressed superionic water ice [J]. Nature, 2019, 569(7755): 251–255. doi: 10.1038/s41586-019-1114-6 [5] CAVAZZONI C, CHIAROTTI G L, SCANDOLO S, et al. Superionic and metallic states of water and ammonia at giant planet conditions [J]. Science, 1999, 283(5398): 44–46. doi: 10.1126/science.283.5398.44 [6] REDMER R, MATTSSON T R, NETTELMANN N, et al. The phase diagram of water and the magnetic fields of Uranus and Neptune [J]. Icarus, 2011, 211(1): 798–803. doi: 10.1016/j.icarus.2010.08.008 [7] LIU C, GAO H, WANG Y, et al. Multiple superionic states in helium-water compounds [J]. Nature Physics, 2019, 15(10): 1065–1070. doi: 10.1038/s41567-019-0568-7 [8] KIMURA T, MURAKAMI M. Fluid-like elastic response of superionic NH3 in Uranus and Neptune [J]. Proceedings of the National Academy of Sciences of the United States of America, 2021, 118(14): e2021810118. [9] BINNS J, HERMANN A, PEÑA-ALVAREZ M, et al. Superionicity, disorder, and bandgap closure in dense hydrogen chloride [J]. Science Advances, 2021, 7(36): eabi9507. doi: 10.1126/sciadv.abi9507 [10] LI H F, OGANOV A R, CUI H X, et al. Ultrahigh-pressure magnesium hydrosilicates as reservoirs of water in early Earth [J]. Physical Review Letters, 2022, 128(3): 035703. doi: 10.1103/PhysRevLett.128.035703 [11] LI J W, LIN Y H, MEIER T. Silica-water superstructure and one-dimensional superionic conduit in Earth’s mantle [J]. Science Advances, 2023, 9(35): eadh3784. doi: 10.1126/sciadv.adh3784 [12] HOU M Q, HE Y, JANG B G, et al. Superionic iron oxide-hydroxide in Earth’s deep mantle [J]. Nature Geoscience, 2021, 14(3): 174–178. doi: 10.1038/s41561-021-00696-2 [13] HIROSE K, WOOD B, VOČADLO L, et al. Light elements in the Earth’s core [J]. Nature Reviews Earth & Environment, 2021, 2(9): 645–658. doi: 10.1038/s43017-021-00203-6 [14] 刘锦, 吕超甲, 赵超帅. 矿物高压稳定性与深部挥发分循环过程 [J]. 矿物岩石地球化学通报, 2022, 41(2): 245–259. doi: 10.19658/j.issn.1007-2802.2022.41.011LIU J, LYU C J, ZHAO C S. High-pressure stability of minerals and volatiles cycling in the deep Earth [J]. Bulletin of Mineralogy, Petrology and Geochemistry, 2022, 41(2): 245–259. doi: 10.19658/j.issn.1007-2802.2022.41.011 [15] BIRCH F. Elasticity and constitution of the Earth’s interior [J]. Journal of Geophysical Research: Solid Earth, 1952, 57(2): 227–286. doi: 10.1029/JZ057i002p00227 [16] TATENO S, HIROSE K, OHISHI Y, et al. The structure of iron in Earth’s inner core [J]. Science, 2010, 330(6002): 359–361. doi: 10.1126/science.1194662 [17] TURNEAURE S J, SHARMA S M, GUPTA Y M. Crystal structure and melting of Fe shock compressed to 273 GPa: in situ X-ray diffraction [J]. Physical Review Letters, 2020, 125(21): 215702. doi: 10.1103/PhysRevLett.125.215702 [18] KRAUS R G, HEMLEY R J, ALI S J et al. Measuring the melting curve of iron at super-Earth core conditions [J]. Science, 2022, 375(6577): 202–205. doi: 10.1126/science.abm1472 [19] VOČADLO L, ALFÈ D, GILLAN M J, et al. Possible thermal and chemical stabilization of body-centred-cubic iron in the Earth’s core [J]. Nature, 2003, 424(6948): 536–539. doi: 10.1038/nature01829 [20] BELONOSHKO A B, AHUJA R, JOHANSSON B. Stability of the body-centred-cubic phase of iron in the Earth’s inner core [J]. Nature, 2003, 424(6952): 1032–1034. doi: 10.1038/nature01954 [21] BELONOSHKO A B, LUKINOV T, FU J, et al. Stabilization of body-centred cubic iron under inner-core conditions [J]. Nature Geoscience, 2017, 10(4): 312–316. doi: 10.1038/ngeo2892 [22] DZIEWONSKI A M, ANDERSON D L. Preliminary reference Earth model [J]. Physics of the Earth and Planetary Interiors, 1981, 25(4): 297–356. doi: 10.1016/0031-9201(81)90046-7 [23] SONG X D. Anisotropy of the Earth’s inner core [J]. Reviews of Geophysics, 1997, 35(3): 297–313. doi: 10.1029/97RG01285 [24] DEUSS A. Heterogeneity and anisotropy of Earth’s inner core [J]. Annual Review of Earth and Planetary Sciences, 2014, 42: 103–126. doi: 10.1146/annurev-earth-060313-054658 [25] MORELLI A, DZIEWONSKI A M, WOODHOUSE J H. Anisotropy of the inner core inferred from PKIKP travel times [J]. Geophysical Research Letters, 1986, 13(13): 1545–1548. doi: 10.1029/GL013i013p01545 [26] TANAKA S, HAMAGUCHI H. Degree one heterogeneity and hemispherical variation of anisotropy in the inner core from PKP(BC)-PKP(DF) times [J]. Journal of Geophysical Research: Solid Earth, 1997, 102(B2): 2925–2938. doi: 10.1029/96JB03187 [27] ISHII M, DZIEWOŃSKI A M. The innermost inner core of the Earth: evidence for a change in anisotropic behavior at the radius of about 300 km [J]. Proceedings of the National Academy of Sciences of the United States of America, 2002, 99(22): 14026–14030. doi: 10.1073/pnas.172508499 [28] SONG X D, RICHARDS P G. Seismological evidence for differential rotation of the Earth’s inner core [J]. Nature, 1996, 382(6588): 221–224. doi: 10.1038/382221a0 [29] BADDING J V, HEMLEY R J, MAO H K, et al. High-pressure chemistry of hydrogen in metals: in situ study of iron hydride [J]. Science, 1991, 253(5018): 421–424. doi: 10.1126/science.253.5018.421 [30] PÉPIN C M, DEWAELE A, GENESTE G, et al. New iron hydrides under high pressure [J]. Physical Review Letters, 2014, 113(26): 265504. doi: 10.1103/PhysRevLett.113.265504 [31] LI Y G, VOČADLO L, SUN T, et al. The Earth’s core as a reservoir of water [J]. Nature Geoscience, 2020, 13(6): 453–458. doi: 10.1038/s41561-020-0578-1 [32] YUAN L, STEINLE-NEUMANN G. Strong sequestration of hydrogen into the Earth’s core during planetary differentiation [J]. Geophysical Research Letters, 2020, 47(15): e2020GL088303. doi: 10.1029/2020GL088303 [33] TAGAWA S, SAKAMOTO N, HIROSE K, et al. Experimental evidence for hydrogen incorporation into Earth’s core [J]. Nature Communications, 2021, 12(1): 2588. doi: 10.1038/s41467-021-22035-0 [34] HE Y, KIM D Y, STRUZHKIN V V, et al. The stability of FeH x and hydrogen transport at Earth’s core mantle boundary [J]. Science Bulletin, 2023, 68(14): 1567–1573. doi: 10.1016/j.scib.2023.06.012 [35] HE Y, SUN S C, KIM D Y, et al. Superionic iron alloys and their seismic velocities in Earth’s inner core [J]. Nature, 2022, 602(7896): 258–262. doi: 10.1038/s41586-021-04361-x [36] SUN S C, HE Y, YANG J Y, et al. Superionic effect and anisotropic texture in Earth’s inner core driven by geomagnetic field [J]. Nature Communications, 2023, 14(1): 1656. doi: 10.1038/s41467-023-37376-1 [37] WANG W Z, LI Y G, BRODHOLT J P, et al. Strong shear softening induced by superionic hydrogen in Earth’s inner core [J]. Earth and Planetary Science Letters, 2021, 568: 117014. doi: 10.1016/j.jpgl.2021.117014 [38] YANG H, DOU P X, XIAO T T, et al. The geophysical properties of FeH x phases under inner core conditions [J]. Geophysical Research Letters, 2023, 50(22): e2023GL104493. doi: 10.1029/2023GL104493 [39] FUKAI Y, SUGIMOTO H. Diffusion of hydrogen in metals [J]. Advances in Physics, 1985, 34(2): 263–326. doi: 10.1080/00018738500101751 [40] SHIBAZAKI Y, OHTANI E, FUKUI H, et al. Sound velocity measurements in dhcp-FeH up to 70 GPa with inelastic X-ray scattering: implications for the composition of the Earth’s core [J]. Earth and Planetary Science Letters, 2012, 313/314: 79–85. doi: 10.1016/j.jpgl.2011.11.002 [41] MASHINO I, MIOZZI F, HIROSE K, et al. Melting experiments on the Fe-C binary system up to 255 GPa: constraints on the carbon content in the Earth’s core [J]. Earth and Planetary Science Letters, 2019, 515: 135–144. doi: 10.1016/j.jpgl.2019.03.020 [42] OZAWA H, HIROSE K, TATENO S, et al. Phase transition boundary between B1 and B8 structures of FeO up to 210 GPa [J]. Physics of the Earth and Planetary Interiors, 2010, 179(3/4): 157–163. doi: 10.1016/j.pepi.2009.11.005 [43] OISHI Y, KAMEI Y, AKIYAMA M, et al. Self-diffusion coefficient of lithium in lithium oxide [J]. Journal of Nuclear Materials, 1979, 87(2/3): 341–344. doi: 10.1016/0022-3115(79)90570-1 [44] KARKI B B, STIXRUDE L, CLARK S J, et al. Structure and elasticity of MgO at high pressure [J]. American Mineralogist, 1997, 82(1/2): 51–60. doi: 10.2138/am-1997-1-207 [45] KARKI B B, STIXRUDE L, WENTZCOVITCH R M. High-pressure elastic properties of major materials of Earth’s mantle from first principles [J]. Reviews of Geophysics, 2001, 39(4): 507–534. doi: 10.1029/2000RG000088 [46] VOIGT W. Lehrbuch der kristallphysik [M]. Leipzig: Teubner Verlag, 1928. [47] REUSS A. Berechnung der fließgrenze von mischkristallen auf grund der plastizitätsbedingung fűr einkristalle [J]. Journal of Applied Mathematics and Mechanics, 1929, 9(1): 49–58. doi: 10.1002/zamm.19290090104 [48] HILL R. The elastic behaviour of a crystalline aggregate [J]. Proceedings of the Physical Society: Section A, 1952, 65(5): 349–354. [49] ANDERSON D L. Theory of the Earth [M]. Boston: Blackwell Scientific Publications, 1989. [50] HULL S, FARLEY T W D, HAYES W, et al. The elastic properties of lithium oxide and their variation with temperature [J]. Journal of Nuclear Materials, 1988, 160(2/3): 125–134. doi: 10.1016/0022-3115(88)90039-6 [51] HE Y, SUN S C, LI H P. Ab initio molecular dynamics investigation of the elastic properties of superionic Li2O under high temperature and pressure [J]. Physical Review B, 2021, 103(17): 174105. doi: 10.1103/PhysRevB.103.174105 [52] MARTORELL B, VOČADLO L, BRODHOLT J, et al. Strong premelting effect in the elastic properties of hcp-Fe under inner-core conditions [J]. Science, 2013, 342(6157): 466–468. doi: 10.1126/science.1243651 [53] 甘波, 李俊, 蒋刚, 等. Fe高压熔化线的实验研究进展 [J]. 高压物理学报, 2021, 35(6): 060101. doi: 10.11858/gywlxb.20210859GAN B, LI J, JIANG G, et al. A review of the experimental determination of the melting curve of iron at ultrahigh pressures [J]. Chinese Journal of High Pressure Physics, 2021, 35(6): 060101. doi: 10.11858/gywlxb.20210859 [54] ANZELLINI S, DEWAELE A, MEZOUAR M, et al. Melting of iron at Earth’s inner core boundary based on fast X-ray diffraction [J]. Science, 2013, 340(6131): 464–466. doi: 10.1126/science.1233514 [55] LI J, WU Q, LI J B, et al. Shock melting curve of iron: a consensus on the temperature at the Earth’s inner core boundary [J]. Geophysical Research Letters, 2020, 47(15): e2020GL087758. doi: 10.1029/2020GL087758 [56] HOU H Q, LIU J, ZHANG Y J, et al. Melting of iron explored by electrical resistance jump up to 135 GPa [J]. Geophysical Research Letters, 2021, 48(20): e2021GL095739. doi: 10.1029/2021GL095739 [57] ZHANG Y J, WANG Y, HUANG Y Q, et al. Collective motion in hcp-Fe at Earth’s inner core conditions [J]. Proceedings of the National Academy of Sciences of the United States of America, 2023, 120(41): e2309952120. [58] BELONOSHKO A B, SIMAK S I, OLOVSSON W, et al. Elastic properties of body-centered cubic iron in Earth’s inner core [J]. Physical Review B, 2022, 105(18): L180102. doi: 10.1103/PhysRevB.105.L180102 [59] WU Z Q, WANG W Z. Shear softening of Earth’s inner core as indicated by its high Poisson ratio and elastic anisotropy [J]. Fundamental Research. DOI: 10.1016/j.fmre.2022.08.010. [60] BELONOSHKO A B, SKORODUMOVA N V, DAVIS S, et al. Origin of the low rigidity of the Earth’s inner core [J]. Science, 2007, 316(5831): 1603–1605. doi: 10.1126/science.1141374 [61] KARATO S I. Inner core anisotropy due to the magnetic field: induced preferred orientation of iron [J]. Science, 1993, 262(5140): 1708–1711. doi: 10.1126/science.262.5140.1708 [62] YOSHIDA S, SUMITA I, KUMAZAWA M. Growth model of the inner core coupled with the outer core dynamics and the resulting elastic anisotropy [J]. Journal of Geophysical Research: Solid Earth, 1996, 101(B12): 28085–28103. doi: 10.1029/96JB02700 [63] FROST D A, LASBLEIS M, CHANDLER B, et al. Dynamic history of the inner core constrained by seismic anisotropy [J]. Nature Geoscience, 2021, 14(7): 531–535. doi: 10.1038/s41561-021-00761-w [64] SINGH S C, TAYLOR M A J, MONTAGNER J P. On the presence of liquid in Earth’s inner core [J]. Science, 2000, 287(5462): 2471–2474. doi: 10.1126/science.287.5462.2471 [65] 何宇, 孙士川, 徐云帆, 等. 地球内核各向异性结构成因: 矿物学模型和动力学机制 [J/OL]. 矿物岩石地球化学通报 (2023-09-28)[2024-01-09]. https://kns.cnki.net/kcms2/article/abstract?v=z5VdU6XQV3X2PXbTT1OgcuOSUGALw3UfEUzDIb8cGLjV1OFDYBL1x9lftDrN9bJg3zFaPXciDx4-jtQR4v9o1dgio2ra8UjlPAeskyFgNML5Wt6L8hM4_CvCzP0zQsJS-1kFXp9zKdE=&uniplatform=NZKPT&language=CHS. DOI: 10.19658/j.issn.1007-2802.2023.42.100.HE Y, SUN S C, XU Y F, et al. The origin of anisotropic structure of the Earth’s inner core from mineralogical model to dynamic mechanism [J/OL]. Bulletin of Mineralogy, Petrology and Geochemistry (2023-09-28)[2024-01-09]. https://kns.cnki.net/kcms2/article/abstract?v=z5VdU6XQV3X2PXbTT1OgcuOSUGALw3UfEUzDIb8cGLjV1OFDYBL1x9lftDrN9bJg3zFaPXciDx4-jtQR4v9o1dgio2ra8UjlPAeskyFgNML5Wt6L8hM4_CvCzP0zQsJS-1kFXp9zKdE=&uniplatform=NZKPT&language=CHS. DOI: 10.19658/j.issn.1007-2802.2023.42.100. [66] BRETT H, DEUSS A. Inner core anisotropy measured using new ultra-polar PKIKP paths [J]. Geophysical Journal International, 2020, 223(2): 1230–1246. doi: 10.1093/gji/ggaa348 [67] SUN X L, SONG X D. The inner inner core of the Earth: texturing of iron crystals from three-dimensional seismic anisotropy [J]. Earth and Planetary Science Letters, 2008, 269(1/2): 56–65. doi: 10.1016/j.jpgl.2008.01.049 -

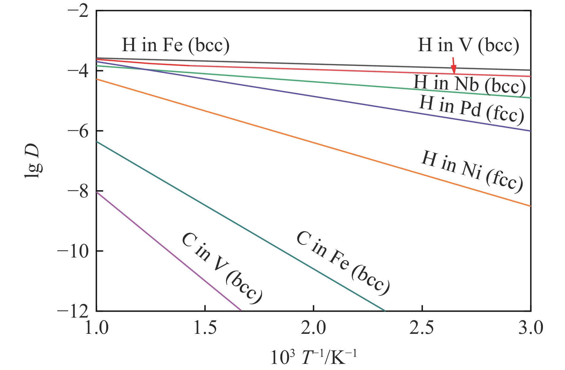
下载: