High-Temperature and High-Pressure Synthesis and Characterization of CuTe2 Single Crystal
-
摘要: 具有黄铁矿结构的3d过渡金属硫族化合物MX2(M=Mn, Fe, Co, Ni, Cu, Zn;X=S, Se, Te)因呈现丰富的新奇物性而备受关注,其中CuX2是该体系中唯一的超导体,超导转变温度(Tc)分别为1.5 K(CuS2)、2.4 K(CuSe2)和1.3 K(CuTe2)。由于CuX2系列材料只能在高温高压条件下合成,因此,早期关于CuTe2的少数报道均基于多晶样品,到目前为止仍缺乏单晶样品物性的详细报道。采用川井型6/8式二级推进多砧压机,在900 ℃和5 GPa的高温高压条件下合成了高质量的CuTe2单晶样品,并对其进行详细的晶体结构、电输运、磁化率及比热容等物性表征。研究结果表明:CuTe2单晶样品为弱耦合Ⅱ类超导体,Tc约为1.3 K。通过总结对比同体系CuS2、CuSe2以及CuTe2的超导参数,进一步揭示了CuTe2费米面附近的态密度与超导演化的联系。Abstract: The 3d transition metal dichalcogenide MX2 (M=Mn, Fe, Co, Ni, Cu, Zn; X=S, Se, Te) with pyrite structure has attracted widespread attention due to their novel physical properties. Among them, the CuX2 (X=S, Se, and Te) is the only known superconducting system, for which the superconducting transition temperatures (Tc) are 1.5 K (CuS2), 2.4 K (CuSe2) and 1.3 K (CuTe2), respectively. Because they can only be synthesized under high-pressure and high-temperature (HPHT) conditions, earlier reports on CuTe2 are based on the polycrystalline samples and the detailed physical properties have not been reported on single crystal so far. Here, we synthesized high-quality CuTe2 single crystals under HPHT conditions at 5 GPa and 900 ℃ using the Kawai type 6/8 two-stage multianvil apparatus and performed detailed crystal, transport, magnetism, and specific heat measurements on its physical properties. The results showed that it belongs to the weakly coupled type-Ⅱ superconductor with Tc about 1.3 K. We systematically compared the relevant superconducting parameters of CuS2, CuSe2, and CuTe2 and further revealed the relationship between their density of state near the Fermi surface and superconducting properties.
-
Key words:
- high-temperature and high-pressure synthesis /
- pyrite /
- CuTe2 /
- superconductivity
-
图 2 CuTe2的电输运表征:(a) 0.4~300.0 K温区的ρ(T)曲线(蓝色实线为CuTe2的ρ(T) = ρ0+AT2低温电阻率拟合曲线),(b) 低温超导区域的放大图
Figure 2. Characterization of CuTe2 electrical transport: (a) ρ(T) curve in the temperature range of 0.4–300.0 K(The solid line shows the low-temperature resistivity data and the ρ(T)=ρ0+AT2 fitting curve of CuTe2);(b) enlarged view of the superconductivity at low temperatures
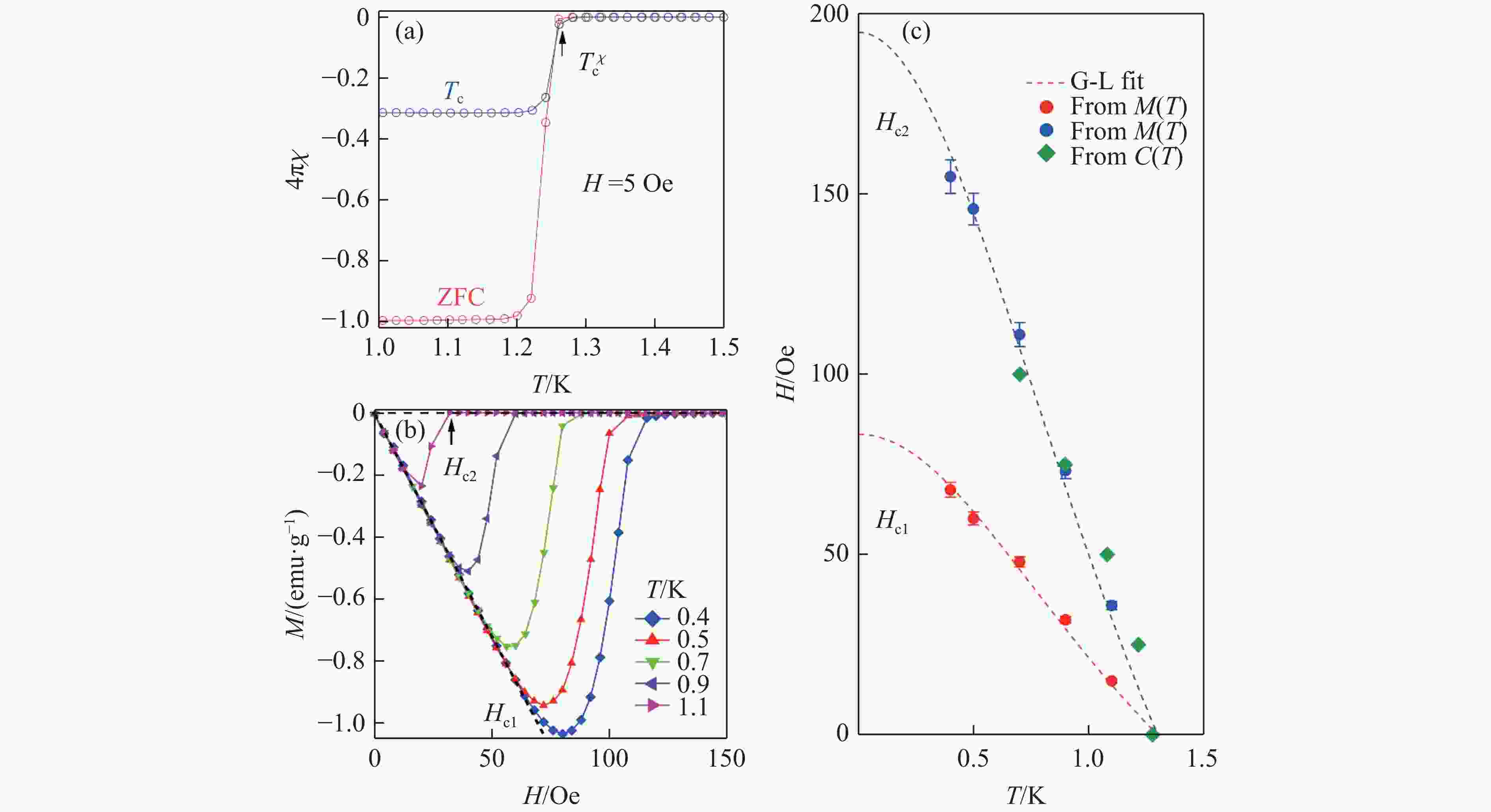
图 3 CuTe2的磁性表征:(a) 5 Oe外磁场、1.0~1.5 K温区内零场冷和场冷模式下CuTe2的磁化率-温度关系曲线,(b) 在Tc以下不同温度时的磁化曲线,(c) 下临界磁场μ0Hc1与上临界磁场μ0Hc2和温度的关系曲线以及G-L拟合曲线
Figure 3. Characterization of CuTe2 magnetic properties: (a) temperature dependence of the magnetic susceptibility of CuTe2 measured in the ZFC and FC modes under an applied magnetic field of μ0H=5 Oe in the temperature range 1.0−1.5 K;(b) isothermal magnetization M(H) curves at different temperatures below Tc; (c) temperature dependences ofthe lower critical field μ0Hc1 and the upper critical field μ0Hc2 of CuTe2 fitted by the G-L formula
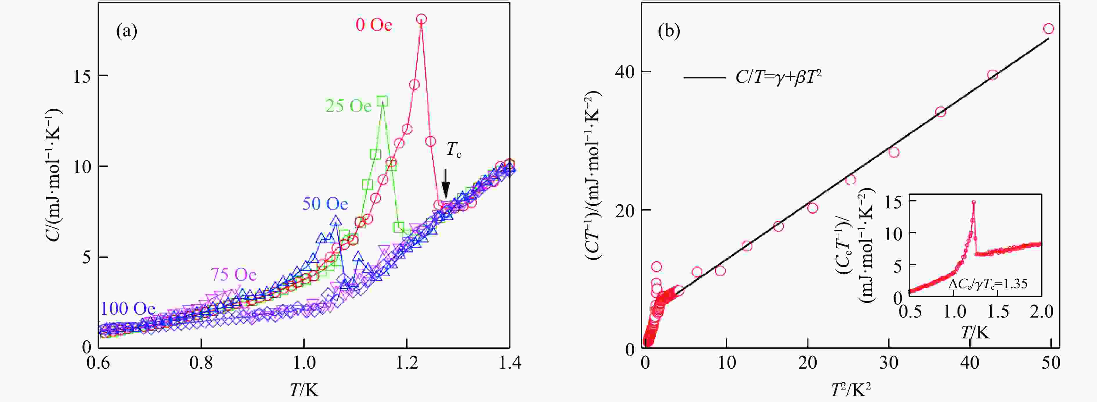
图 4 CuTe2的比热容表征:(a)不同磁场下的低温C(T)曲线,(b) 零场下的C/T-T2曲线(黑色实线为低温正常态的拟合曲线,插图为归一化的电子比热容-温度关系曲线)
Figure 4. Characterization of specific heat of CuTe2: (a) C(T) curves at low-temperature in different magnetic fields;(b) low-temperature specific heat of CuTe2 plotted as C/T vs. T2 at zero field (The inset showsthe temperature dependence of normalized electronic specific heat Ce/T)
表 1 CuX2 (X=S, Se, Te)体系的超导态和正常态参数[2, 4–7, 12–14]
Table 1. Superconducting- and normal-state parameters of CuX2 (X=S, Se, Te) system[2, 4–7, 12–14]
Sample Tc/K μ0Hc1(0)/Oe μ0Hc2(0)/Oe ξGL/Å λGL/Å κGL CuS2 1.56 123.2 502.9 809.0 901.0 1.11 CuSe2 2.43 610.0 375.5 CuTe2 1.30 83.3 194.9 1300.0 1100.8 0.85 Sample γ/(mJ·mol−1·K−2) β/(mJ·mol−1·K−4) ΘD/K ΔCe/γTc λep CuS2 5.4 0.099 388 1.07 0.47 CuSe2 7.5 0.335 250 1.31 0.38 CuTe2 5.8 0.627 210 1.35 0.50 -
[1] CHOI H, SEO J Y, UHM Y R, et al. Crystalline structure and magnetic properties of pyrite FeS2 [J]. AIP Advances, 2021, 11(1): 015131. doi: 10.1063/9.0000110 [2] MUNSON R A, DESORBO W, KOUVEL J S. Electrical, magnetic, and superconducting properties of copper disulfide [J]. The Journal of Chemical Physics, 1967, 47(5): 1769–1770. doi: 10.1063/1.1712162 [3] BITHER T A, DONOHUE P C, CLOUD W H, et al. Mixed-cation transition metal pyrite dichalcogenides-high pressure synthesis and properties [J]. Journal of Solid State Chemistry, 1970, 1(3/4): 526–533. doi: 10.1016/0022-4596(70)90137-4 [4] MUNSON R A. The synthesis of copper disulfide [J]. Inorganic Chemistry, 1966, 5(7): 1296–1297. doi: 10.1021/ic50041a055 [5] BITHER T A, BOUCHARD R J, CLOUD W H, et al. Transition metal pyrite dichalcogenides. High-pressure synthesis and correlation of properties [J]. Inorganic Chemistry, 1968, 7(11): 2208–2220. doi: 10.1021/ic50069a008 [6] BITHER T A, PREWITT C T, GILLSON J L, et al. New transition metal dichalcogenides formed at high pressure [J]. Solid State Communications, 1966, 4(10): 533–535. doi: 10.1016/0038-1098(66)90419-4 [7] KAKIHANA M, MATSUDA T D, HIGASHINAKA R, et al. Superconducting and Fermi surface properties of pyrite-type compounds CuS2 and CuSe2 [J]. Journal of the Physical Society of Japan, 2019, 88(1): 014702. doi: 10.7566/JPSJ.88.014702 [8] GAUTIER F, KRILL G, PANISSOD P, et al. Magnetic properties of CuS2 [J]. Journal of Physics C: Solid State Physics, 1974, 7(8): L170–L173. doi: 10.1088/0022-3719/7/8/005 [9] VANDERSCHAEVE G, ESCAIG B. Electron microscopy study of transition metals disulfides with pyrite structure [J]. Journal de Physique Colloque, 1976, 37(C4): 105–108. doi: 10.1051/jphyscol:1976416 [10] UEDA H, NOHARA M, KITAZAWA K, et al. Copper pyrites CuS2 and CuSe2 as anion conductors [J]. Physical Review B, 2002, 65(15): 155104. doi: 10.1103/PhysRevB.65.155104 [11] YIN Y X, COULTER J, CICCARINO C J, et al. Theoretical investigation of charge density wave instability in CuS2 [J]. Physical Review Materials, 2020, 4(10): 104001. doi: 10.1103/PhysRevMaterials.4.104001 [12] SHI L F, LIU Z Y, LI J, et al. Pressure-driven superconducting dome in the vicinity of CDW in the pyrite-type superconductor CuS2 [J]. Physical Review Materials, 2022, 6(1): 014802. doi: 10.1103/PhysRevMaterials.6.014802 [13] TAKANO Y, UCHIYAMA N, OGAWA S, et al. Superconducting properties of CuS2− xSe x under high pressure [J]. Physica C: Superconductivity, 2000, 341: 739−740. [14] KONTANI M, TUTUI T, MORIWAKA T, et al. Specific heat and NMR studies on the pyrite-type superconductors CuS2 and CuSe2 [J]. Physica B: Condensed Matter, 2000, 284: 675−676. [15] HOU Z F, LI A Y, ZHU Z Z, et al. Ab initio calculations of the electronic structures of copper pyrites CuS2, CuSe2 and CuTe2 [J]. Journal of Material Science and Technology, 2004, 20(4): 429–431. -

下载: