Design and Simulation of Shock-Release-Reshock Experimental Device for TATB-Based Insensitive Explosives under Detonation Loading
-
摘要: 在一些特殊的工程应用和意外事故中,炸药内部可能会受到多次冲击压缩和卸载作用从而使其起爆性能发生变化,因此,需要一种可以模拟多次冲击和卸载的实验加载装置,用以研究炸药在复杂载荷下的起爆响应。基于爆轰加载原理,提出并设计了一种可以实现完全卸载的冲击-卸载-再冲击的爆轰加载实验装置,利用数值模拟对该装置进行了仿真设计和参数优化,并通过实验验证了数值模拟的准确性和装置设计的可行性。结果表明:利用所设计的爆轰加载装置驱动钨镁双层飞片撞击TATB基钝感炸药,通过调整装置中的间隙宽度,可以对炸药实现完全卸载的冲击-卸载-再冲击加载,为后续研究炸药在复杂载荷多次冲击下的起爆响应提供了一种新的实验技术。Abstract: In some engineering applications and accidents, the detonation performance of explosives may change if subjected to multiple shocks and releases. Therefore, an experimental loading device with multiple shocks and releases is needed in order to study the detonation response of explosives under complex loads. In this paper, an experimental detonation loading device that can achieve complete release of shock-release-reshock is proposed and designed. The device is optimized through numerical simulations, and the accuracy of the numerical simulation is validated by the corresponding experiments. The results indicate that the designed detonation loading device can achieve complete release of shock-release-reshock loading procesure of TATB-based insensitive explosives, where the detonation loading device drives tungsten magnesium double-layer flyers. The design provides a new experimental technique for further study on the detonation response of explosives under complex loads and multiple shocks.
-
表 1 炸药爆轰产物的JWL状态方程参数
Table 1. JWL EOS parameters of explosive product
Material ρ0/(g·cm−3) DCJ/(km·s−1) pCJ/GPa A/GPa B/GPa R1 R2 ω Main explosive 1.849 8.712 35.2 842.040 21.810 4.600 0 1.350 0 0.28 Sample explosive 1.895 7.640 26.9 666.486 5.339 4.548 3 0.797 6 0.35 表 2 样品未反应物的JWL状态方程参数
Table 2. JWL EOS parameters of unreacted sample
ρ0/(g·cm−3) A/GPa B/GPa R1 R2 ω 1.895 77 810 −5.031 11.3 1.13 0.909 38 表 3 材料的Grüneisen状态方程参数
Table 3. Grüneisen EOS parameters of material
Material ρ0/(g·cm−3) C/(km·s−1) S1 $\gamma_0$ cV/(J·g−1·K−1) PMMA 1.186 2.300 1.750 0.91 3.016 W 18.300 4.030 1.237 1.67 0.135 Mg 1.776 4.490 1.242 1.54 1.025 Steel 7.896 4.569 1.490 2.17 0.446 表 4 炸药样品点火增长反应模型参数
Table 4. Ignition and growth of reaction model parameters for sample explosive
ρ0/(g·cm−3) I/ms−1 a b c d e 1.895 4×106 0.214 0.667 0.667 1.0 0.667 g x y z G1/(GPa−2·ms−1) G2/(GPa−1·ms−1) 0.667 7.0 3.0 1.0 0.461 3 0.3 表 5 材料的Steinberg-Guinan-Lund本构模型参数
Table 5. Steinberg-Guinan-Lund constitutive model parameters of the material
Material ρ0/(g·cm−3) Y0/GPa β G0/GPa A0/Pa B0 n Mg 1.78 0.19 1 100.0 16.5 1.03×10−2 5.907 0.350 W 18.30 1.87 7.7 145.0 1.03×10−3 1.764 0.300 Steel 7.90 0.34 43.0 77.0 2.26×10−3 5.280 0.283 表 6 验证实验装置参数
Table 6. Device parameters for the confirmation experiment
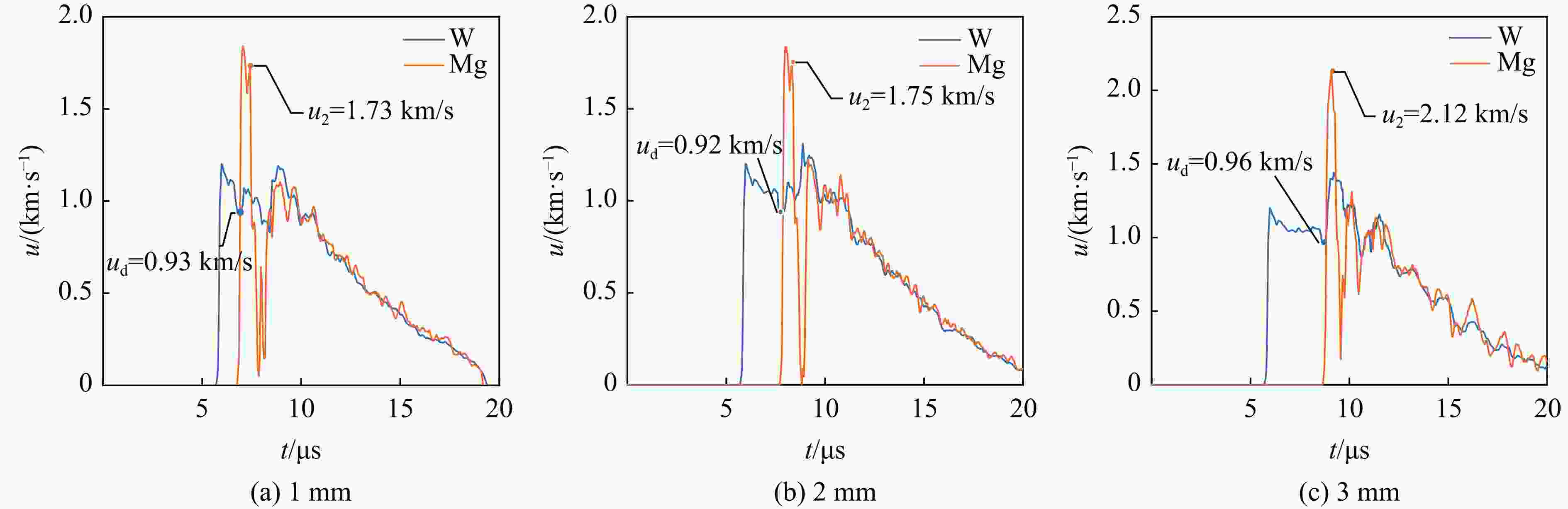
Part ρ0/(g·cm−3) Size Plane wave generator $\varnothing $100 mm, 37° HMX-based main explosive 1.849 $\varnothing $100 mm×30 mm Buffer plate 1.186 $\varnothing $100 mm×3 mm Tungsten alloy flyer 18.300 $\varnothing $100 mm×4 mm Clearance 1 1 mm Magnesium alloy flyer 1.776 $\varnothing $100 mm×1 mm Clearance 2 3 mm TATB based sample explosive 1.895 $\varnothing $20 mm×2 mm Sleeve $\varnothing $110 mm×52 mm -
[1] TARVER C M, URTIEW P A, TAO W C. Effects of tandem and colliding shock waves on the initiation of triaminotrinitro-benzene [J]. Journal of Applied Physics, 1995, 78(5): 3089–3095. doi: 10.1063/1.360061 [2] 黄奎邦, 刘益儒, 洪滔, 等. TATB基非均质炸药预冲击减敏的数值模拟 [J]. 爆炸与冲击, 2021, 41(3): 032301.HUANG K B, LIU Y R, HONG T, et al. Numerical simulation of pre-shock desensitization in TATB-based heterogeneous explosive [J]. Explosion and Shock Waves, 2021, 41(3): 032301. [3] CAMPBELL A W, DAVIS W C, RAMSAY J B, et al. Shock initiation of solid explosives [J]. Physics of Fluids, 1961, 4(4): 511–521. doi: 10.1063/1.1706354 [4] CAMPBELL A W, TRAVIS J R. Shock desensitization of PBX-9404 and composition B-3 [R]. NM, USA: Los Alamos National Laboratory, 1985. [5] SETCHELL R E. Effects of precursor waves in shock initiation of granular explosives [J]. Combustion and Flame, 1983, 54(1/2/3): 171–182. [6] BORDZILOVSKII S A, KARAKHANOV S M. Desensitization of pressed RDX/paraffin and HMX/paraffin compounds by multiple shock waves [J]. Combustion Explosion and Shock Waves, 1995, 31(2): 227–235. doi: 10.1007/BF00755754 [7] BAT'KOV Y V, GLUSHAK B L, NOVIKOV S A. Desensitization of pressed explosive compositions based on TNT, RDX, and HMX under double shock-wave loading [J]. Combustion Explosion & Shock Waves, 1995, 31(4): 482–485. [8] TARVER C M. Corner turning and shock desensitization experiments plus numerical modeling of detonation waves in the triaminotrinitrobenzene based explosive LX-17 [J]. Journal of Physical Chemistry A, 2010, 114(8): 2727–2736. doi: 10.1021/jp9098733 [9] FINNEGAN S G, FERGUSON J W, GOFF M J, et al. Development of a flyer design to perform plate impact shock-release-shock experiments on explosives [J]. AIP Conference Proceedings, 2018, 1979(1): 100012. [10] ASLAM T, GUSTAVSEN R, WHITWORTH N, et al. Shock, release and reshock of PBX 9502: experiments and modeling [J]. AIP Conference Proceedings, 2018, 1979(1): 100001. [11] 訾攀登, 陈军, 张蓉, 等. 二次压缩条件下JOB-9003炸药特性研究 [J]. 高压物理学报, 2017, 31(2): 155–161. doi: 10.11858/gywlxb.2017.02.007ZI P D, CHEN J, ZHANG R, et al. Characteristics of JOB-9003 in double shocks experiments [J]. Chinese Journal of High Pressure Physics, 2017, 31(2): 155–161. doi: 10.11858/gywlxb.2017.02.007 [12] SOLLIER A, LEFRANCOIS A, JACQUET L, et al. Double-shock initiation of a TATB based explosive: influence of preshock pressure and duration on the desensitization effect [C]//16th International Detonation Symposium, 2019. [13] GUSTAVSEN R L, SHEFFIELD S A, ALCON R R, et al. Double shock initiation of the HMX based explosive EDC-37 [J]. AIP Conference Proceedings, 2002, 620(1): 999–1002. [14] 金柯. 爆轰驱动飞片运动数值模拟 [D]. 绵阳: 中国工程物理研究院, 2004: 40–52.JIN K. Numerical simulation of detonation driven flyer motion [D]. Mianyang: China Academy of Engineering Physics, 2004: 40–52. [15] 虞德水, 赵锋, 谭多望, 等. JOB-9003和JB-9014炸药平面爆轰驱动飞片的对比研究 [J]. 爆炸与冲击, 2006, 26(2): 140–144. doi: 10.3321/j.issn:1001-1455.2006.02.008YU D S, ZHAO F, TAN D W, et al. Experimental studies on detonation driving behavior of JOB-9003 and JB-9014 slab explosives [J]. Explosion and Shock Waves, 2006, 26(2): 140–144. doi: 10.3321/j.issn:1001-1455.2006.02.008 [16] 金柯, 习锋, 杨慕松, 等. 化爆加载装置系列化设计 [J]. 含能材料, 2003, 11(3): 113–115. doi: 10.3969/j.issn.1006-9941.2003.03.001JIN K, XI F, YANG M S, et al. Design of serialization explosive-loading device [J]. Chinese Journal of Energetic Materials, 2003, 11(3): 113–115. doi: 10.3969/j.issn.1006-9941.2003.03.001 [17] 张万甲, 刘仓理. 可调控靶中应力波形的吉帕压力范围平面爆炸加载技术 [J]. 爆炸与冲击, 2006, 26(1): 91–96. doi: 10.3321/j.issn:1001-1455.2006.01.015ZHANG W J, LIU C L. A planar explosive loading technique of GPa pressures and capable of adjusting the stress waves in targets [J]. Explosion and Shock Waves, 2006, 26(1): 91–96. doi: 10.3321/j.issn:1001-1455.2006.01.015 [18] 夏先贵, 林其文, 李国珍. JB9014炸药冲击起爆阈值的测定 [J]. 含能材料, 1996, 4(3): 117–122.XIA X G, LIN Q W, LI G Z. Determination of shock initiation threshold of insensitive explosive JB9014 [J]. Chinese Journal of Energetic Materials, 1996, 4(3): 117–122. [19] 王礼立. 应力波基础 [M]. 2版. 北京: 国防工业出版社, 2005: 222–227.WANG L L. Foundation of stress waves [M]. 2nd ed. Beijing: National Defense Industry Press, 2005: 222–227. [20] 孙承纬. 炸药平面波透镜的有效药量 [C]//爆轰研究论文集: 第3卷, 绵阳: 中国工程物理研究院流体物理研究所, 1998: 307–316.SUN C W. Effective dosage of explosive planar wave lens [C]//Detonation Research Paper Collection: Volume 3, Mianyang: Institute of Fluid Physics, Chinese Academy of Engineering Physics, 1998: 307–316. -

下载: