Quantitative Determination of Impact Reaction Energy Release for HfZrTiTaNb Based High-Entropy Alloys
-
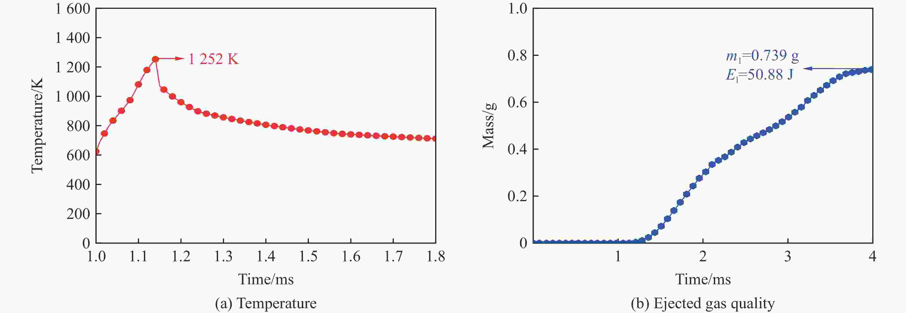
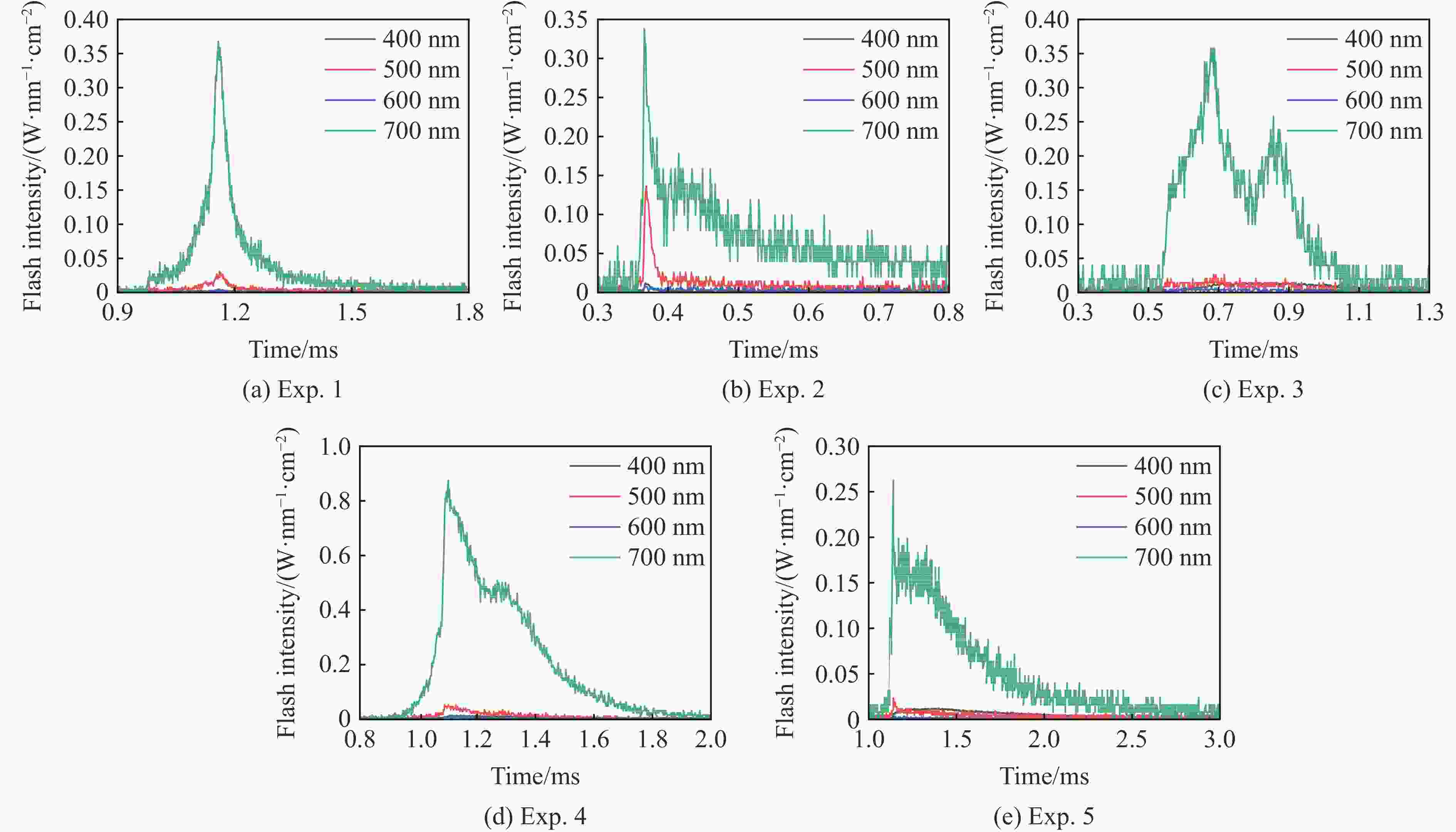
摘要: 作为一种新型含能材料,高熵合金在高速冲击过程中会释放大量能量,具有重要的应用价值。采用二级轻气炮系统加载真空环境下的HfZrTiTaNb系高熵合金弹丸,对轴承钢进行了冲击实验,测量了闪光辐射温度、气体超压、火焰传播速度和容器壁温升等响应参数的演化过程,分析了高熵合金弹丸撞击靶板过程中的能量流向,定量计算了高熵合金在密闭容器内冲击反应的混合气体焓、闪光辐射能、容器壁的吸收能、喷出气体焓以及撞击靶板产生的变形能,得到了不同元素及其含量对高熵合金释能量的影响。结果表明,高熵合金弹丸冲击反应释放的能量主要被准密闭容器壁吸收。随着Cu或Al含量的增加,HfZrTiTaNb系高熵合金的单位质量释能量增加。在相近的撞击速度下,含Cu高熵合金的单位质量释能量比含Al高熵合金大。Abstract: As a new type of energetic material, high-entropy alloys will release a large amount of energy during high-speed impact, which has important application value. A two-stage light gas gun system was used to load the HfZrTiTaNb high-entropy alloys projectile under vacuum environment, and the impact experiment of bearing steel was carried out. The evolution process of response parameters such as flash radiation temperature, gas overpressure, flame propagation velocity and temperature rise of container wall was measured. The energy flow direction during the impact reaction of the high-entropy alloys projectile impacting the target plate was analyzed. The enthalpy of the mixed gas, the flash radiation energy, the absorption energy of the container wall, the enthalpy of the ejected gas and the deformation energy generated by the impact on the target during the impact reaction of the high-entropy alloys in a closed container were quantitatively calculated. The effects of different elements and their contents on the energy release of high-entropy alloys were obtained. The results showed that the energy released by the impact reaction of high-entropy alloys projectiles was mainly absorbed by the quasi-closed container wall. With the increase of Cu or Al content, the unit mass release energy of HfZrTiTaNb based high-entropy alloys increased. At similar impact velocities, the high-entropy alloys containing Cu released more energy per unit mass than the high-entropy alloys containing Al.
-
表 1 实验基本参数
Table 1. Basic parameters of the experiment
No. Specimen Size/(mm×mm) Mass/g Impact velocity/(km·s−1) Density/(g·cm−3) 1 HfZrTiTaNbCu0.2 $\varnothing $4.63×4.68 0.786 1.35 9.98 2 HfZrTiTaNbCu0.8 $\varnothing $4.96×4.69 0.918 1.30 10.13 3 HfZrTiTaNbAl0.2 $\varnothing $4.95×4.83 0.899 1.31 9.68 4 HfZrTiTaNbAl0.8 $\varnothing $4.81×5.15 0.853 1.57 9.12 5 HfZrTiTaNbAl0.8 $\varnothing $4.76×5.11 0.832 1.59 9.15 表 2 瞬态光纤高温计各通道的标定数据
Table 2. Calibration data for each channel of the transient fiber pyrometer
Channel Wave length/nm Impedance/kΩ Voltage/V Nr/(μW·cm−2·nm−1) 1 400 10 2.934 281.7 2 500 10 4.400 235.5 3 600 1 0.880 347.1 4 700 1 6.046 280.7 表 3 实验中的超压和闪光辐射温度峰值
Table 3. Peak of overpressure and flash radiation temperature in the experiment
No. Specimen Overpressure/MPa Temperature/K 1 HfZrTiTaNbCu0.2 0.22 1260 2 HfZrTiTaNbCu0.8 0.24 1370 3 HfZrTiTaNbAl0.2 0.21 1120 4 HfZrTiTaNbAl0.8 0.20 1228 5 HfZrTiTaNbAl0.8 0.20 1281 表 4 冲击反应释能结果
Table 4. Impact reaction energy release results
No. Specimen Impact velocity/
(km·s−1)Mass/g Energy release/kJ Energy release per
unit mass/(kJ·g−1)1 HfZrTiTaNbCu0.2 1.35 0.786 1.32 1.68 2 HfZrTiTaNbCu0.8 1.30 0.918 1.76 1.92 3 HfZrTiTaNbAl0.2 1.31 0.899 0.88 0.98 4 HfZrTiTaNbAl0.8 1.57 0.853 1.19 1.40 5 HfZrTiTaNbAl0.8 1.59 0.832 1.21 1.45 表 5 HfZrTiTaNb系高熵合金的原子尺寸差
Table 5. Atomic size difference of HfZrTiTaNb based high-entropy alloys
x δ/% HfZrTiTaNbCux HfZrTiTaNbAlx 0.2 4.92 4.84 0.8 6.73 6.37 -
[1] 刘丘林, 刘允中, 王艳群. 高熵合金的研究现状和应用前景 [J]. 粉末冶金工业, 2017, 27(6): 64–69. doi: 10.13228/j.boyuan.issn1006-6543.20160115LIU Q L, LIU Y Z, WANG Y Q. Research status and application prospect of high-entropy alloy [J]. Powder Metallurgy Industry, 2017, 27(6): 64–69. doi: 10.13228/j.boyuan.issn1006-6543.20160115 [2] ZHANG W R, LIAW P K, ZHANG Y. Science and technology in high-entropy alloys [J]. Science China Materials, 2018, 61(1): 2–22. doi: 10.1007/s40843-017-9195-8 [3] ZHANG Z R, ZHANG H, TANG Y, et al. Microstructure, mechanical properties and energetic characteristics of a novel high-entropy alloy HfZrTiTa0.53 [J]. Materials & Design, 2017, 133: 435–443. doi: 10.1016/j.matdes.2017.08.022 [4] GEANTĂ V, VOICULESCU I, STEFĂNOIU R, et al. Dynamic impact behaviour of high entropy alloys used in the military domain [J]. IOP Conference Series: Materials Science and Engineering, 2018, 374: 012041. doi: 10.1088/1757-899X/374/1/012041 [5] 王睿鑫. NbZrTiTa高熵合金的组织结构演变及结构释能特性研究 [D]. 长沙: 国防科技大学, 2018.WANG R X. Microstructure evolution and energetic structural properties of NbZrTiTa high-entropy alloy [D]. Changsha: National University of Defense Technology, 2018. [6] REN K R, LIU H Y, CHEN R, et al. Compression properties and impact energy release characteristics of TiZrNbV high-entropy alloy [J]. Materials Science and Engineering: A, 2021, 827: 142074. doi: 10.1016/j.msea.2021.142074 [7] MA Y S, ZHOU L, ZHANG K C, et al. Effects of cerium doping on the mechanical properties and energy-releasing behavior of high-entropy alloys [J]. Materials, 2022, 15(20): 7332. doi: 10.3390/ma15207332 [8] CHEN C, GAO R K, GUO K, et al. Quantitative determination of impact release energy for TiZrHfX0.3 multicomponent materials in vacuum environment [J]. International Communications in Heat and Mass Transfer, 2022, 133: 105958. doi: 10.1016/j.icheatmasstransfer.2022.105958 [9] TANG E L, WANG Q C, CHEN C, et al. Quantitative reactive release energy models of Al/Teflon material during high velocity impact [J]. International Journal of Energy Research, 2022, 46(15): 23069–23082. doi: 10.1002/er.8606 [10] 张宝平, 张庆明, 黄风雷. 爆轰物理学 [M]. 北京: 兵器工业出版社, 2009.ZHANG B P, ZHANG Q M, HUANG F L. Detonation physics [M]. Beijing: Weapon Industry Press, 2009. [11] HAN Y F, TANG E L, HE L P, et al. Evolutionary characteristics of thermal radiation induced by 2A12 aluminum plate under hypervelocity impact loading [J]. International Journal of Impact Engineering, 2019, 125: 173–179. doi: 10.1016/j.ijimpeng.2018.11.013 [12] CHEN C, TANG E L, ZHU W J, et al. Modified model of Al/PTFE projectile impact reaction energy release considering energy loss [J]. Experimental Thermal and Fluid Science, 2020, 116: 110132. doi: 10.1016/j.expthermflusci.2020.110132 [13] AMES R. Vented chamber calorimetry for impact-initiated energetic materials [C]//The 43rd AIAA Aerospace Sciences Meeting and Exhibit. Reno: AIAA, 2005: 275–279. [14] 高学平. 高等流体力学 [M]. 天津: 天津大学出版社, 2005.GAO X P. Advanced fluid mechanics [M]. Tianjin: Tianjin University Press, 2005. [15] 唐恩凌, 徐名扬, 张庆明, 等. 超高速撞击厚靶过程的能量分配研究 [J]. 固体力学学报, 2016, 37(2): 152–160. doi: 10.19636/j.cnki.cjsm42-1250/o3.2016.02.005TANG E L, XU M Y, ZHANG Q M, et al. Study on partitioning of energy in hypervelocity impact on thick target [J]. Chinese Journal of Solid Mechanics, 2016, 37(2): 152–160. doi: 10.19636/j.cnki.cjsm42-1250/o3.2016.02.005 [16] 段春争, 秦泗伟. 淬硬GCr15钢在高温和高应变率下的动态再结晶动力学模型 [J]. 金属热处理, 2017, 42(2): 34–38. doi: 10.13251/j.issn.0254-6051.2017.02.008DUAN C Z, QIN S W. Dynamic recrystallization kinetics model of hardened GCr15 steelat high temperature and high strain rate [J]. Heat Treatment of Metals, 2017, 42(2): 34–38. doi: 10.13251/j.issn.0254-6051.2017.02.008 [17] 张路明, 马胜国, 李志强, 等. Al x CoCrFeNi高熵合金力学性能的分子动力学模拟 [J]. 高压物理学报, 2021, 35(5): 052201. doi: 10.11858/gywlxb.20210730ZHANG L M, MA S G, LI Z Q, et al. Mechanical properties of Al x CoCrFeNi high-entropy alloy: a molecular dynamics study [J]. Chinese Journal of High Pressure Physics, 2021, 35(5): 052201. doi: 10.11858/gywlxb.20210730 -

下载: