Constitutive Relationship of Q245R Steel of Carbonization Kettle under Thermal Corrosion and Thermal Shocking
-
摘要: 采取电化学加速腐蚀试验对Q245R钢试样进行处理,以模拟炭化釜的实际腐蚀工况,通过电化学腐蚀拉伸试验,发现腐蚀不仅改变试样的几何尺寸,而且导致材料力学性能退化。对Q245R钢材料进行不同温度、腐蚀率、应变率(10−3~1 s−1低应变率、10~102 s−1中应变率、103 s−1高应变率)的拉伸试验,并运用MATLAB在Johnson-Cook本构方程的基础上进行拟合,增加特征强度与热处理温度、腐蚀率的关系,从而确定了材料的本构关系。结果显示,本构曲线与真实拉伸试验数据吻合较好,拟合效果良好。
-
关键词:
- 炭化釜 /
- Q245R钢 /
- 腐蚀 /
- Johnson-Cook本构方程
Abstract: An electrochemical accelerated corrosion test was conducted on the Q245R steel sample to simulate the actual corrosion conditions of the carbonization kettle. It was found that corrosion not only causes changes in geometric dimensions, but also causes degradation of the material’s mechanical properties. Tensile tests were conducted on Q235R steel materials at different temperatures, corrosion rates, and strain rates (low strain rate of 10−3−1 s−1, medium strain rate of 10−102 s−1, and high strain rate of 103 s−1). A fitting method was carried out based on the modified Johnson-Cook constitutive equation and MATLAB software, which provides the relationship between its characteristic strength, heat treatment temperature and corrosion rate. According to the results, it can be seen that the fitting curve is in good agreement with the experimental curve.-
Key words:
- carbonization kettle /
- Q245R steel /
- corrosion /
- Johnson-Cook constitutive equation
-
表 1 未腐蚀和腐蚀试样的特征强度
Table 1. Characteristic strength of uncorroded and corroded specimens
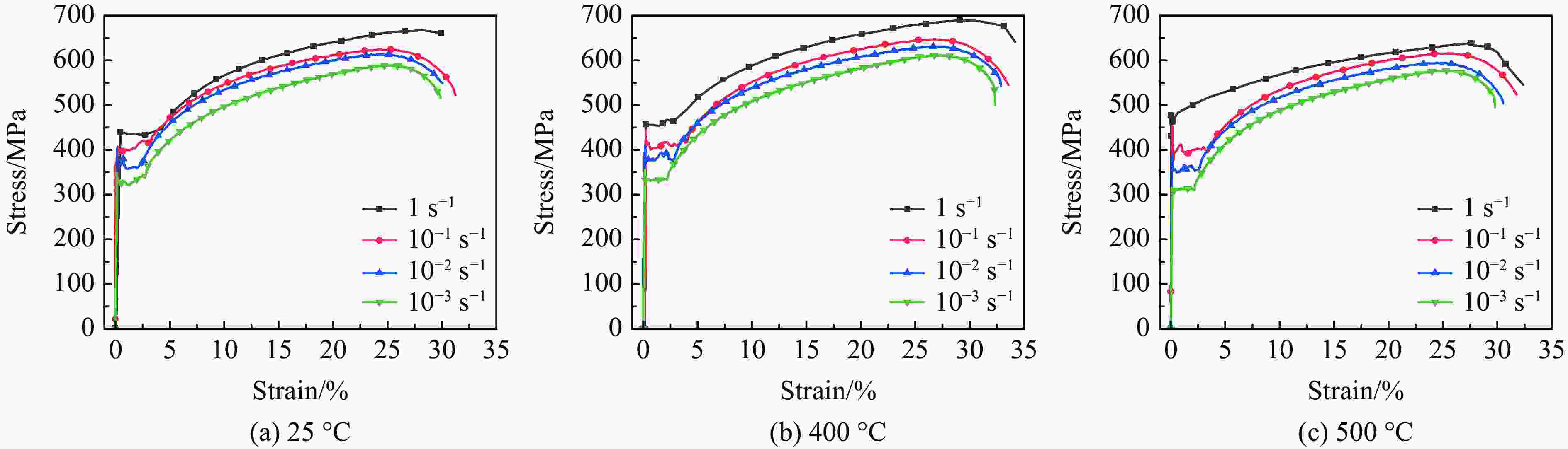
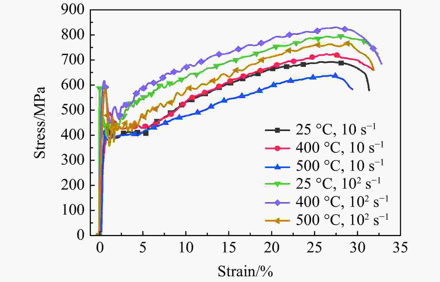
Specimen $ \dot{\varepsilon } /{\mathrm{s}}$−1 Characteristic strength/MPa Specimen $ \dot{\varepsilon }/{\mathrm{s}} $−1 Characteristic strength/MPa 25 ℃ 400 ℃ 500 ℃ 25 ℃ 400 ℃ 500 ℃ Uncorroded 10−3 588.9 611.4 576.0 Corroded 10−3 497.6 594.7 476.4 10−2 612.6 630.1 593.3 10−2 507.4 524.9 490.5 10−1 623.9 645.9 615.5 10−1 533.6 564.8 530.4 1 665.2 690.1 638.6 1 578.4 614.9 570.9 10 716.5 742.9 662.0 10 682.8 712.9 625.8 102 861.7 898.9 837.3 102 792.8 829.7 762.8 103 980.1 1025.7 963.8 103 826.5 867.4 775.9 -
[1] 能源生产和消费革命战略2016—2030 [J]. 电器工业, 2017(5): 39–47.Energy production and consumption revolution strategy 2016–2030 [J]. China Electrical Equipment Industry, 2017(5): 39–47. [2] 闫景凤. 生物质锅炉应用现状分析 [J]. 农机使用与维修, 2023(1): 56–58. doi: 10.14031/j.cnki.njwx.2023.01.015YAN J F. Application status of biomass boiler [J]. Agricultural Machinery Using & Maintenance, 2023(1): 56–58. doi: 10.14031/j.cnki.njwx.2023.01.015 [3] PRONOBIS M, WEJKOWSKI R, KALISZ S, et al. Conversion of a pulverized coal boiler into a torrefied biomass boiler [J]. Energy, 2023, 262: 125442. doi: 10.1016/j.energy.2022.125442 [4] 孙广见. 生物质能产业遇瓶颈专家呼吁加强基础研究 [J]. 能源研究与利用, 2019(6): 11. doi: 10.3969/j.issn.1001-5523.2019.06.006SUN G J. Biomass energy industry encounters bottlenecks, experts call for strengthening basic research [J]. Energy Research & Utilization, 2019(6): 11. doi: 10.3969/j.issn.1001-5523.2019.06.006 [5] 姜春光, 李定青, 王鹏, 等. 生物质CFB锅炉受热面沉积结构和空间分布特性研究 [J]. 山东电力技术, 2023, 50(3): 63–68. doi: 10.3969/j.issn.1007-9904.2023.03.011JIANG C G, LI D Q, WANG P, et al. Study on deposition structure and spatial distribution characteristics on heating surface of biomass-fired CFB boiler [J]. Shandong Electric Power, 2023, 50(3): 63–68. doi: 10.3969/j.issn.1007-9904.2023.03.011 [6] WU W Y, WEI B, LI G H, et al. Study on ammonia gas high temperature corrosion coupled erosion wear characteristics of circulating fluidized bed boiler [J]. Engineering Failure Analysis, 2022, 132: 105896. doi: 10.1016/j.engfailanal.2021.105896 [7] 胡曼, 倪文啸, 薛俊峰, 等. 20G钢锅炉烟道管开裂原因 [J]. 理化检验: 物理分册, 2022, 58(9): 35–38. doi: 10.11973/lhjy-wl202209009HU M, NI W X, XUE J F, et al. Cracking reasons of 20G steel boiler flue pipe [J]. Physical Testing and Chemical Analysis (Part A: Physical Testing), 2022, 58(9): 35–38. doi: 10.11973/lhjy-wl202209009 [8] 邵青, 王宇翔, 李林聪. 电力锅炉四管材料发展及失效研究进展 [J]. 电站系统工程, 2023, 39(2): 85–88.SHAO Q, WANG Y X, LI L C. Research progress on development and failure of four-tube materials for utility boilers [J]. Power System Engineering, 2023, 39(2): 85–88. [9] 崔轩伟, 都兴红, 白岩, 等. 垃圾焚烧炉关键部件高温腐蚀研究现状 [J]. 辽宁化工, 2021, 50(12): 1846–1849. doi: 10.3969/j.issn.1004-0935.2021.12.025CUI X W, DU X H, BAI Y, et al. Research status of high temperature corrosion of key components of waste incinerator [J]. Liaoning Chemical Industry, 2021, 50(12): 1846–1849. doi: 10.3969/j.issn.1004-0935.2021.12.025 [10] XU L G, HUANG Y J, WANG J, et al. Experimental investigation of high-temperature corrosion properties in simulated reducing-sulphidizing atmospheres of the waterwall fireside in the boiler [J]. The Canadian Journal of Chemical Engineering, 2020, 98(4): 905–918. doi: 10.1002/cjce.23677 [11] 张炜, 何建军. 垃圾焚烧炉热管用12Cr1MoVG钢在不同碱金属混合熔盐中的热腐蚀行为 [J]. 机械工程材料, 2019, 43(2): 13–17, 22. doi: 10.11973/jxgccl201902003ZHANG W, HE J J. Thermal corrosion behavior in mixed molten salt of different alkali metals of 12Cr1MoVG steel for heat pipe in waste incinerator [J]. Materials for Mechanical Engineering, 2019, 43(2): 13–17, 22. doi: 10.11973/jxgccl201902003 [12] 于文静, 史健勇, 赵金城. Q345钢材动态力学性能研究 [J]. 建筑结构, 2011, 41(3): 28–30, 63. doi: 10.19701/j.jzjg.2011.03.007YU W J, SHI J Y, ZHAO J C. Research of dynamic mechanical behavior of Q345 steel [J]. Building Structure, 2011, 41(3): 28–30, 63. doi: 10.19701/j.jzjg.2011.03.007 [13] 林莉, 支旭东, 范锋, 等. Q235B钢Johnson-Cook模型参数的确定 [J]. 振动与冲击, 2014, 33(9): 153–158, 172. doi: 10.13465/j.cnki.jvs.2014.09.028LIN L, ZHI X D, FAN F, et al. Determination of parameters of Johnson-Cook models of Q235B steel [J]. Journal of Vibration and Shock, 2014, 33(9): 153–158, 172. doi: 10.13465/j.cnki.jvs.2014.09.028 [14] 刘禹昕, 朱涛, 肖守讷, 等. 轨道车辆SUS304不锈钢材料动态力学性能与本构模型修正 [J]. 机械强度, 2022, 44(1): 74–80. doi: 10.16579/j.issn.1001.9669.2022.01.010LIU Y X, ZHU T, XIAO S N, et al. Dynamic mechanical properties and constitutive model modification of SUS304 stainless steel used in carbodies of trains [J]. Journal of Mechanical Strength, 2022, 44(1): 74–80. doi: 10.16579/j.issn.1001.9669.2022.01.010 [15] 贾紫月, 杨飏, 马厚标. 均匀腐蚀海工结构钢拉伸试验研究 [J]. 中国海洋大学学报, 2019, 49(Suppl 1): 135–142. doi: 10.16441/j.cnki.hdxb.20170176JIA Z Y, YANG Y, MA H B. Experimental study on the tensile properties of uniform corroded marine structure steel [J]. Periodical of Ocean University of China, 2019, 49(Suppl 1): 135–142. doi: 10.16441/j.cnki.hdxb.20170176 [16] WANG J J, GUO W G, GAO X S, et al. The third-type of strain aging and the constitutive modeling of a Q235B steel over a wide range of temperatures and strain rates [J]. International Journal of Plasticity, 2015, 65: 85–107. doi: 10.1016/j.ijplas.2014.08.017 [17] LIU P J, QUAN Y M, DING G. Dynamic mechanical characteristics and constitutive modeling of rail steel over a wide range of temperatures and strain rates [J]. Advances in Materials Science and Engineering, 2019: 6862391. doi: 10.1155/2019/6862391 [18] 王金萍. 冷轧低碳马氏体钢不同速率和温度拉伸的性能与断裂机制 [D]. 秦皇岛: 燕山大学, 2019.WANG J P. Tensile properties and fracture mechanism of cold rolled low carbon martensite steel at different strain rates and temperatures [D]. Qinhuangdao: Yanshan University, 2019. [19] 梁明华, 魏娜, 李亮, 等. 拉伸速率对X80M管线钢拉伸性能的影响 [J]. 石油管材与仪器, 2015, 1(6): 40–43. doi: 10.19459/j.cnki.61-1500/te.2015.06.010LIANG M H, WEI N, LI L, et al. Influence of test rate on tensile property of X80M pipeline steel [J]. Petroleum Tubular Goods & Instruments, 2015, 1(6): 40–43. doi: 10.19459/j.cnki.61-1500/te.2015.06.010 [20] HORMOZI R, BIGLARI F, NIKBIN K. Experimental and numerical creep-fatigue study of type 316 stainless steel failure under high temperature LCF loading condition with different hold time [J]. Engineering Fracture Mechanics, 2015, 141: 19–43. doi: 10.1016/j.engfracmech.2015.05.007 [21] 郭子涛, 舒开鸥, 高斌, 等. 基于J-C模型的Q235钢的失效准则 [J]. 爆炸与冲击, 2018, 38(6): 1325–1332. doi: 10.11883/bzycj-2017-0163GUO Z T, SHU K O, GAO B, et al. J-C model based failure criterion and verification of Q235 steel [J]. Explosion and Shock Waves, 2018, 38(6): 1325–1332. doi: 10.11883/bzycj-2017-0163 [22] 林莉, 黄博, 肖新科, 等. Q355B钢动态材料性能研究 [J]. 振动与冲击, 2020, 39(18): 231–237. doi: 10.13465/j.cnki.jvs.2020.18.031LIN L, HUANG B, XIAO X K, et al. Behavior of dynamic material Q355B steel based on the Johnson-Cook model [J]. Journal of Vibration and Shock, 2020, 39(18): 231–237. doi: 10.13465/j.cnki.jvs.2020.18.031 [23] 董泽民, 陈伟, 刘璐璐, 等. 基于J-C模型的GH907高温合金动态本构关系及失效关系 [J]. 机械工程材料, 2021, 45(10): 43–49. doi: 10.11973/jxgccl202110006DONG Z M, CHEN W, LIU L L, et al. Dynamic constitutive relationship and failure relationship of GH907 superalloy based on J-C model [J]. Materials for Mechanical Engineering, 2021, 45(10): 43–49. doi: 10.11973/jxgccl202110006 [24] JING B, QIAN Z, ZAREIPOUR H, et al. Wind turbine power curve modelling with logistic functions based on quantile regression [J]. Applied Sciences, 2021, 11(7): 3048. doi: 10.3390/app11073048 -

下载: