聚合物在冲击荷载下的物性及“相变”实验研究进展

叶世佳 郝龙 王玉锋 李守瑞 耿华运 李俊

叶世佳, 郝龙, 王玉锋, 李守瑞, 耿华运, 李俊. 聚合物在冲击荷载下的物性及“相变”实验研究进展[J]. 高压物理学报, 2024, 38(3): 030109. doi: 10.11858/gywlxb.20230787
引用本文: 叶世佳, 郝龙, 王玉锋, 李守瑞, 耿华运, 李俊. 聚合物在冲击荷载下的物性及“相变”实验研究进展[J]. 高压物理学报, 2024, 38(3): 030109. doi: 10.11858/gywlxb.20230787
YE Shijia, HAO Long, WANG Yufeng, LI Shourui, GENG Huayun, LI Jun. Experimental Research Progress on Physical Properties and “Phase Transition” of Polymers under Impact Loading[J]. Chinese Journal of High Pressure Physics, 2024, 38(3): 030109. doi: 10.11858/gywlxb.20230787
Citation: YE Shijia, HAO Long, WANG Yufeng, LI Shourui, GENG Huayun, LI Jun. Experimental Research Progress on Physical Properties and “Phase Transition” of Polymers under Impact Loading[J]. Chinese Journal of High Pressure Physics, 2024, 38(3): 030109. doi: 10.11858/gywlxb.20230787

聚合物在冲击荷载下的物性及“相变”实验研究进展

doi: 10.11858/gywlxb.20230787
基金项目: 国家自然科学基金(12274381);冲击波物理与爆轰物理全国重点实验室基金(2022JCJQLB05705,2022JCJQLB05708)
详细信息
    作者简介:

    叶世佳(1995-),男,博士,助理研究员,主要从事冲击波物理研究. E-mail:sjye95@163.com

    通讯作者:

    李 俊(1982-),男,博士,研究员,主要从事冲击波物理研究. E-mail:lijun102@caep.cn

  • 中图分类号: O521.2

Experimental Research Progress on Physical Properties and “Phase Transition” of Polymers under Impact Loading

  • 摘要: 聚合物被广泛应用于国防和国民经济的各个领域,在服役过程中,不可避免地暴露于高温高压等极端环境,因此,有必要研究其在冲击荷载下的物性及“相变”问题。聚合物具有独特的分子链结构,表现出异于金属等大多数材料的性能。聚合物的雨贡纽曲线低压外推的截距明显高于零压体波声速,且低压下的波剖面呈现带弧形的波系结构。在20~30 GPa压力范围,其雨贡纽曲线存在明显的转折,说明材料在冲击下发生了“相变”。首先,对该“相变”反映的化学分解和晶格结构转变进行了解释,并对其中蕴含的“相变”动力学问题进行了研究。然后,简单介绍了基于化学分解的物态方程的建模方法。最后,对聚合物在冲击荷载下的物性和“相变”研究提出了展望。

     

  • 图  实验装置示意图

    Figure  1.  Schematic diagram of experimental setup

    图  部分聚合物的雨贡纽数据[4]

    Figure  2.  Hugoniot data of some polymers[4]

    图  聚碳酸酯(polycarbonate,PC)在低压区的波剖面[3031]

    Figure  3.  Wave profiles of polycarbonate in low pressure region[3031]

    图  聚乙烯、聚苯乙烯和聚砜的分子链结构

    Figure  4.  Molecular chain structures of polyethylene, polystyrene and polysulfone

    图  聚酰亚胺在过渡区的波剖面[8]

    Figure  5.  Wave profiles of polyimide in transition region[8]

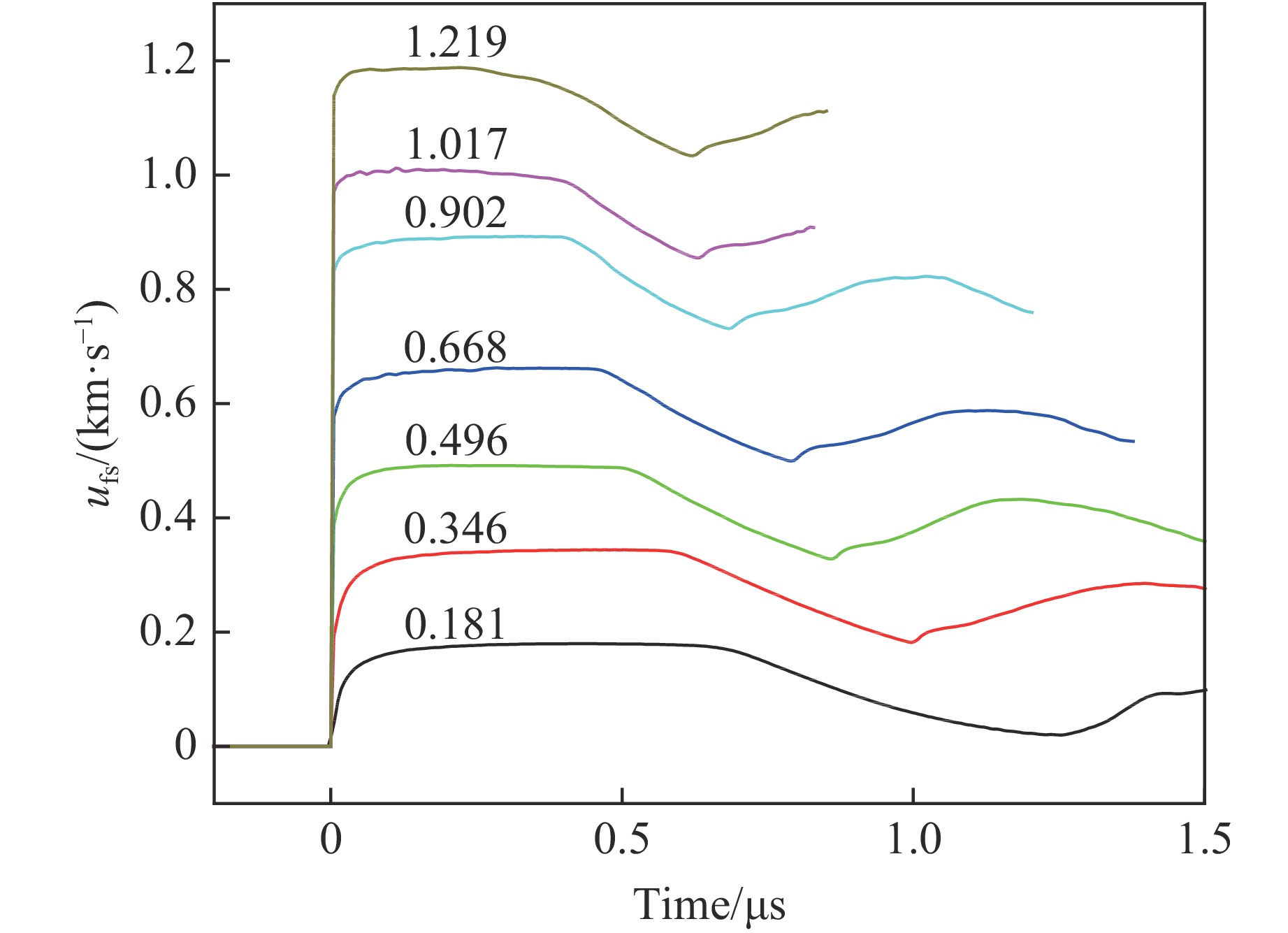
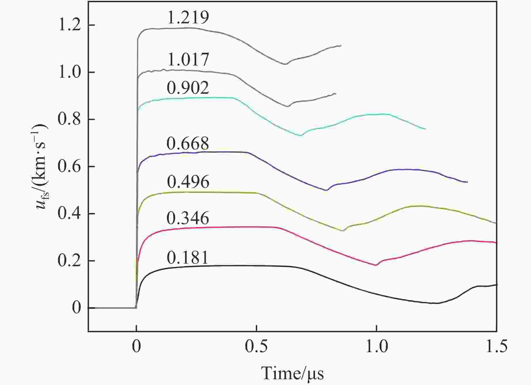
    图  氰酸酯在高压区的波剖面[24, 32]

    Figure  6.  Wave profiles of cyanate ester in high pressure region[24, 32]

    图  聚酰亚胺内部不同位置的(a)波剖面和(b)波速实测值及其模拟结果[8]

    Figure  7.  Experimental and simulated results of (a) wave profiles and (b) shock velocities at different positions in polyimide[8]

    图  PMMA的雨贡纽数据和波速

    Figure  8.  Hugoniot data and shock velocities of PMMA

    图  聚苯乙烯不同位置的波剖面

    Figure  9.  Wave profiles of polystyrene at different positions

    图  10  不同孔隙度的聚氨酯的“相变”阈值压力[24]

    Figure  10.  Threshold pressures of “phase transition” of polyurethane with different porosities[24]

    图  11  聚酰亚胺的雨贡纽实验数据与物态方程模型[8]

    Figure  11.  Hugoniot experimental data and equation of state model of polyimide[8]

    表  1  部分聚合物的雨贡纽状态方程参数[4]

    Table  1.   Parameters of Hugoniot equation of state of some polymers[4]

    Material Before phase transition After phase transition
    C0a/(km·s−1) sa up,a/(km·s−1) C0b/(km·s−1) sb up,b/(km·s−1)
    High density polyethylene 2.86 1.57 0.7−3.2 3.27 1.43 3.4−5.3
    Epoxy 2.69 1.51 0.4−2.8 2.88 1.35 3.6−5.2
    Polycarbonate 2.33 1.57 0.4−2.6 2.06 1.39 3.6−5.2
    Polyimide 2.66 1.48 0.6−2.2 0.93 1.64 3.4−4.6
    Polysulfone 2.35 1.55 0.7−2.4 1.58 1.51 3.4−5.1
    Material At zero pressure pt/GPa
    ρ0/(g·cm−3) Cl/(km·s−1) Ct/(km·s−1) Cb/(km·s−1)
    High density polyethylene 0.954 2.462 1.014 2.166 24.7
    Epoxy 1.192 2.641 1.177 2.264 23.1
    Polycarbonate 1.196 2.187 0.886 1.933 20.0
    Polyimide 1.414 2.723 1.217 2.332 17.8
    Polysulfone 1.235 2.249 0.930 1.976 18.5
    下载: 导出CSV

    表  2  常见分解产物的EXP6参数[44]

    Table  2.   EXP6 parameters of common decomposition products[44]

    Constituent rs $ \epsilon k_{\mathrm{B}}^{-1} $/K α Constituent rs $ \epsilon k_{\mathrm{B}}^{-1} $/K α
    H2 3.67 36.9 10.6 CO 3.55 155 12
    H2O 3.22 195 13.4 HCOOH 4.096 335 13.781
    H 1.55 110 10 C 3.7 71.4 13
    CH4 4.45 152.1 11.47 O 2.41 700 11
    C2H6 4.86 246.7 13 CO2 4.096 335 13.781
    O2 4.11 75 13.117
    下载: 导出CSV
  • [1] 国家自然科学基金委员会, 中国科学院. 中国学科发展战略: 软凝聚态物理学 [M]. 北京: 科学出版社, 2020: 1−25.

    National Natural Science Foundation of China, Chinese Academy of Sciences. Chinese discipline development strategy: soft condensed matter physics [M]. Beijing: Science Press, 2020: 1−25.
    [2] 朱诚身. 聚合物结构分析 [M]. 2版. 北京: 科学出版社, 2010: 1−5.

    ZHU C S. Analysis of polymer structure [M]. 2nd ed. Beijing: Science Press, 2010: 1−5.
    [3] MARSH S P. LASL shock Hugoniot data [M]. Berkeley: University of California Press, 1980.
    [4] CARTER W J, MARSH S P. Hugoniot equation of state of polymers: LA-13006-MS [R]. Los Alamos: Los Alamos National Laboratory, 1995.
    [5] BOURNE N K. On the shock response of polymers to extreme loading [J]. Journal of Dynamic Behavior of Materials, 2016, 2: 33–42. doi: 10.1007/s40870-016-0055-5
    [6] MORRIS C E, FRITZ J N, MCQUEEN R G. The equation of state of polytetrafluoroethylene to 80 GPa [J]. The Journal of Chemical Physics, 1984, 80(10): 5203–5218. doi: 10.1063/1.446591
    [7] HARTLEY N J, BROWN S, COWAN T E, et al. Evidence for crystalline structure in dynamically-compressed polyethylene up to 200 GPa [J]. Scientific Reports, 2019, 9(1): 4196. doi: 10.1038/s41598-019-40782-5
    [8] HUBER R C, DATTELBAUM D M, LANG J M, et al. Polyimide dynamically compressed to decomposition pressures: two-wave structures captured by velocimetry and modeling [J]. Journal of Applied Physics, 2023, 133(3): 035106. doi: 10.1063/5.0128515
    [9] JONES A H, ISBELL W M, MAIDEN C J. Measurement of the very-high-pressure properties of materials using a light-gas gun [J]. Journal of Applied Physics, 1966, 37(9): 3493–3499. doi: 10.1063/1.1708887
    [10] 金柯, 习锋, 杨慕松, 等. 化爆加载装置系列化设计 [J]. 含能材料, 2003, 11(3): 113–115, 122. doi: 10.3969/j.issn.1006-9941.2003.03.001

    JIN K, XI F, YANG M S, et al. Design of serialization explosive-loading device [J]. Energetic Materials, 2003, 11(3): 113–115, 122. doi: 10.3969/j.issn.1006-9941.2003.03.001
    [11] PAISLEY D L, LUO S N, GREENFIELD S R, et al. Laser-launched flyer plate and confined laser ablation for shock wave loading: validation and applications [J]. Review of Scientific Instruments, 2008, 79(2): 023902. doi: 10.1063/1.2839399
    [12] 种涛, 张朝辉, 王贵林, 等. 35 GPa斜波加载下RDX单晶炸药的动力学行为 [J]. 高压物理学报, 2022, 36(3): 030103. doi: 10.11858/gywlxb.20210803

    CHONG T, ZHANG Z H, WANG G L, et al. Dynamic behaviors of RDX single crystal under ramp wave compression up to 35 GPa [J]. Chinese Journal of High Pressure Physics, 2022, 36(3): 030103. doi: 10.11858/gywlxb.20210803
    [13] 王贵林. 磁驱动平面加载实验技术及其在高压物态方程研究中的应用 [D]. 合肥: 中国科学技术大学, 2014.

    WANG G L. Magnetic loading techniques and its applications in high-pressure EOS [D]. Hefei: University of Science and Technology of China, 2014.
    [14] ZHERNOKLETOV M V, GLUSHAK B L. Material properties under intensive dynamic loading [M]. Berlin: Springer, 2006: 74–91.
    [15] HAYES B. Particle-velocity gauge system for nanosecond sampling rate of shock and detonation waves [J]. Review of Scientific Instruments, 1981, 52(4): 594–603. doi: 10.1063/1.1136643
    [16] BARKER L M. The development of the VISAR, and its use in shock compression science [J]. AIP Conference Proceedings, 2000, 505(1): 11–18. doi: 10.1063/1.1303413
    [17] WENG J D, TAN H, WANG X, et al. Optical-fiber interferometer for velocity measurements with picosecond resolution [J]. Applied Physics Letters, 2006, 89(11): 111101. doi: 10.1063/1.2335948
    [18] DOLAN D H. Accuracy and precision in photonic Doppler velocimetry [J]. Review of Scientific Instruments, 2010, 81(5): 053905. doi: 10.1063/1.3429257
    [19] WU J, LI J B, LI J, et al. A sub-nanosecond pyrometer with broadband spectral channels for temperature measurement of dynamic compression experiments [J]. Measurement, 2022, 195: 111147. doi: 10.1016/j.measurement.2022.111147
    [20] TAKAHARA A, HIGAKI Y, HIRAI T, et al. Application of synchrotron radiation X-ray scattering and spectroscopy to soft matter [J]. Polymers, 2020, 12(7): 1624. doi: 10.3390/polym12071624
    [21] CHEN S, LI Y X, ZHANG N B, et al. Capture deformation twinning in Mg during shock compression with ultrafast synchrotron X-ray diffraction [J]. Physical Review Letters, 2019, 123(25): 255501. doi: 10.1103/PhysRevLett.123.255501
    [22] WINEY J M, GUPTA Y M. Shock-induced chemical changes in neat nitromethane: use of time-resolved Raman spectroscopy [J]. The Journal of Physical Chemistry B, 1997, 101(50): 10733–10743. doi: 10.1021/jp972588a
    [23] RASTOGI V, CHAURASIA S, RAO U, et al. Time-resolved Raman spectroscopy of polystyrene under laser driven shock compression [J]. Journal of Raman Spectroscopy, 2017, 48(7): 1007–1012. doi: 10.1002/jrs.5166
    [24] DATTELBAUM D M, COE J D. Shock-driven decomposition of polymers and polymeric foams [J]. Polymers, 2019, 11(3): 493. doi: 10.3390/polym11030493
    [25] 谭华. 实验冲击波物理 [M]. 北京: 国防工业出版社, 2018: 1−26.

    TAN H. Experimental shock wave physics [M]. Beijing: National Defense Industry Press, 2018: 1−26.
    [26] MILLETT J C F, BOURNE N K, GRAY G T. The response of polyether ether ketone to one-dimensional shock loading [J]. Journal of Physics D: Applied Physics, 2004, 37(6): 942–947. doi: 10.1088/0022-3727/37/6/021
    [27] ROBERTS A, APPLEBY-THOMAS G J, HAZELL P. Experimental determination of Grüneisen gamma for polyether ether ketone (PEEK) using the shock-reverberation technique [J]. AIP Conference Proceedings, 2012, 1426(1): 824–827. doi: 10.1063/1.3686405
    [28] BIAN Y L, CHAI H W, YE S J, et al. Compression and spallation properties of polyethylene terephthalate under plate impact loading [J]. International Journal of Mechanical Sciences, 2021, 211: 106736. doi: 10.1016/j.ijmecsci.2021.106736
    [29] BOURNE N K, MILLETT J C F. On the influence of chain morphology on the shock response of three thermoplastics [J]. Metallurgical and Materials Transactions A, 2008, 39(2): 266–271. doi: 10.1007/s11661-007-9371-7
    [30] YE S J, CHAI H W, XIAO X H, et al. Spallation of polycarbonate under plate impact loading [J]. Journal of Applied Physics, 2019, 126(8): 085105. doi: 10.1063/1.5108965
    [31] COE J D, BROWN E, CADY C M, et al. Equation of state and damage in polyethylene: LA-UR-17-29234 [R]. Los Alamos: Los Alamos National Laboratory, 2017.
    [32] DATTELBAUM D M, COE J D, RIGG P A, et al. Shockwave response of two carbon fiber-polymer composites to 50 GPa [J]. Journal of Applied Physics, 2014, 116(19): 194308. doi: 10.1063/1.4898313
    [33] MORRIS C E, LOUGHRAN E D, MORTENSEN G F, et al. Shock induced dissociation of polyethylene: LA-UR-89-2864 [R]. Los Alamos: Los Alamos National Laboratory, 1989.
    [34] ABBOTT A, BRANCH B, BROWN E N, et al. The dynamic response of polymers interrogated by 3rd generation X-ray light source: LA-UR-19-29436 [R]. Los Alamos: Los Alamos National Laboratory, 2019.
    [35] KRAUS D, VORBERGER J, PAK A, et al. Formation of diamonds in laser-compressed hydrocarbons at planetary interior conditions [J]. Nature Astronomy, 2017, 1(9): 606–611. doi: 10.1038/s41550-017-0219-9
    [36] KRAUS D, HARTLEY N J, FRYDRYCH S, et al. High-pressure chemistry of hydrocarbons relevant to planetary interiors and inertial confinement fusion [J]. Physics of Plasmas, 2018, 25(5): 056313. doi: 10.1063/1.5017908
    [37] FONTANA L, VINH D Q, SANTORO M, et al. High-pressure crystalline polyethylene studied by X-ray diffraction and ab initio simulations [J]. Physical Review B, 2007, 75(17): 174112. doi: 10.1103/PhysRevB.75.174112
    [38] FONTANA L, SANTORO M, BINI R, et al. High-pressure vibrational properties of polyethylene [J]. The Journal of Chemical Physics, 2010, 133(20): 204502. doi: 10.1063/1.3507251
    [39] BROWN E N, TRUJILLO C P, GRAY G T, et al. Soft recovery of polytetrafluoroethylene shocked through the crystalline phase Ⅱ-Ⅲ transition [J]. Journal of Applied Physics, 2007, 101(2): 024916. doi: 10.1063/1.2424536
    [40] HUBER R C, WATKINS E B, DATTELBAUM D M, et al. In situ X-ray diffraction of high density polyethylene during dynamic drive: polymer chain compression and decomposition [J]. Journal of Applied Physics, 2021, 130(17): 175901. doi: 10.1063/5.0057439
    [41] HUBER R C, PETERSON J, COE J D, et al. Polysulfone shock compressed above the decomposition threshold: velocimetry and modeling of two-wave structures [J]. Journal of Applied Physics, 2020, 127(10): 105902. doi: 10.1063/1.5124252
    [42] DATTELBAUM D M, COE J D, KIYANDA C B, et al. Reactive, anomalous compression in shocked polyurethane foams [J]. Journal of Applied Physics, 2014, 115(17): 174908. doi: 10.1063/1.4875478
    [43] KIPP M E, CHHABILDAS L C, REINHART W D, et al. Polyurethane foam impact experiments and simulations [J]. AIP Conference Proceedings, 2000, 505(1): 313–316. doi: 10.1063/1.1303481
    [44] COE J D, LENTZ M, VELIZHANIN K A, et al. The equation of state and shock-driven decomposition of polymethy-lmethacrylate (PMMA) [J]. Journal of Applied Physics, 2022, 131(12): 125108. doi: 10.1063/5.0080369
    [45] MAERZKE K A, COE J D, TICKNOR C, et al. Equations of state for polyethylene and its shock-driven decomposition products [J]. Journal of Applied Physics, 2019, 126(4): 045902. doi: 10.1063/1.5099371
    [46] BOCK N, COFFEY D, WALLACE D C. Nonadiabatic contributions to the free energy from the electron-phonon interaction in Na, K, Al, and Pb [J]. Physical Review B, 2005, 72(15): 155120. doi: 10.1103/PhysRevB.72.155120
    [47] BOCK N, WALLACE D C, COFFEY D. Adiabatic and nonadiabatic contributions to the free energy from the electron-phonon interaction for Na, K, Al, and Pb [J]. Physical Review B, 2006, 73(7): 075114. doi: 10.1103/PhysRevB.73.075114
    [48] BENNETT B I. Computationally efficient expression for the zero-temperature isotherm in equations of state: LA-8616-MS [R]. Los Alamos: Los Alamos National Laboratory, 1980.
    [49] COWAN R D, ASHKIN J. Extension of the Thomas-Fermi-Dirac statistical theory of the atom to finite temperatures [J]. Physical Review, 1957, 105(1): 144–157. doi: 10.1103/PhysRev.105.144
    [50] WUNDERLICH B. Thermal analysis of polymeric materials [M]. Berlin: Springer, 2005: 121−131.
    [51] ROSS M. A high-density fluid-perturbation theory based on an inverse 12th-power hard-sphere reference system [J]. The Journal of Chemical Physics, 1979, 71(4): 1567–1571. doi: 10.1063/1.438501
    [52] COE J D, GAMMEL J T. A new 5-phase equation of state for carbon: LA-UR-16-26877 [R]. Los Alamos: Los Alamos National Laboratory, 2016.
    [53] ZHANG H R, ZHANG X X, FU X L, et al. Decomposition mechanisms of insensitive 2D energetic polymer TAGP using ReaxFF molecular dynamics simulation combined with Pyro-GC/MS experiments [J]. Journal of Analytical and Applied Pyrolysis, 2022, 162: 105453. doi: 10.1016/j.jaap.2022.105453
    [54] JONES K, LANE J M D, MOORE N W. A reactive molecular dynamics study of phenol and phenolic polymers in extreme environments [J]. AIP Conference Proceedings, 2020, 2272(1): 070018. doi: 10.1063/12.0001031
    [55] ISLAM M M, STRACHAN A. Decomposition and reaction of polyvinyl nitrate under shock and thermal loading: a ReaxFF reactive molecular dynamics study [J]. The Journal of Physical Chemistry C, 2017, 121(40): 22452–22464. doi: 10.1021/acs.jpcc.7b06154
    [56] MATTSSON T R, LANE J M D, COCHRANE K R, et al. First-principles and classical molecular dynamics simulation of shocked polymers [J]. Physical Review B, 2010, 81(5): 054103. doi: 10.1103/PhysRevB.81.054103
    [57] VAN DUIN A C T, DASGUPTA S, LORANT F, et al. ReaxFF: a reactive force field for hydrocarbons [J]. The Journal of Physical Chemistry A, 2001, 105(41): 9396–9409. doi: 10.1021/jp004368u
  • 加载中
图(11) / 表(2)
计量
  • 文章访问数:  724
  • HTML全文浏览量:  277
  • PDF下载量:  75
出版历程
  • 收稿日期:  2023-11-08
  • 修回日期:  2024-01-18
  • 网络出版日期:  2024-03-19
  • 刊出日期:  2024-06-03

目录

    /

    返回文章
    返回