Pb系简单钙钛矿氧化物PbMO3(M=3d过渡族金属)的高温高压制备及物性研究

于润泽

于润泽. Pb系简单钙钛矿氧化物PbMO3(M=3d过渡族金属)的高温高压制备及物性研究[J]. 高压物理学报, 2024, 38(1): 010102. doi: 10.11858/gywlxb.20230786
引用本文: 于润泽. Pb系简单钙钛矿氧化物PbMO3(M=3d过渡族金属)的高温高压制备及物性研究[J]. 高压物理学报, 2024, 38(1): 010102. doi: 10.11858/gywlxb.20230786
YU Runze. High Pressure Synthesis and Physical Properties Investigation of Pb-Based Simple Perovskite Oxides PbMO3 (M=3d transition metals)[J]. Chinese Journal of High Pressure Physics, 2024, 38(1): 010102. doi: 10.11858/gywlxb.20230786
Citation: YU Runze. High Pressure Synthesis and Physical Properties Investigation of Pb-Based Simple Perovskite Oxides PbMO3 (M=3d transition metals)[J]. Chinese Journal of High Pressure Physics, 2024, 38(1): 010102. doi: 10.11858/gywlxb.20230786

Pb系简单钙钛矿氧化物PbMO3(M=3d过渡族金属)的高温高压制备及物性研究

doi: 10.11858/gywlxb.20230786
基金项目: 国家自然科学基金(22020715);国家重点研发计划(2023YFA1406000)
详细信息
    作者简介:

    于润泽(1980-),男,博士,研究员,主要从事量子功能材料的高压制备和物性调控研究. E-mail:runze.yu@hpstar.ac.cn

  • 中图分类号: O521.2

High Pressure Synthesis and Physical Properties Investigation of Pb-Based Simple Perovskite Oxides PbMO3 (M=3d transition metals)

  • 摘要: 系统总结了近十几年利用高压技术制备简单钙钛矿功能氧化物材料PbMO3(M=3d过渡族金属)及其物性研究方面的进展,重点关注M元素变化过程中的晶体结构、电子结构、磁性和电输运性质的演化,以及高压调控下的结构相变、电荷转移和绝缘体金属化等行为,同时也对该领域中一些亟需解决的问题做了展望。

     

  • 图  钙钛矿化合物的晶体结构

    Figure  1.  Crystal structure of perovskite compound

    图  PbVO3的晶体结构[1011]:(a)沿b方向;(b)沿c方向;(c) 直流电阻率-压力演化曲线

    Figure  2.  Crystal structure of PbVO3[1011]: (a) along b axis; (b) along c axis; (c) DC resistivity-pressure evolution curves

    图  高压下PbCrO3的巨幅体积收缩[19]

    Figure  3.  Large volume collapse of PbCrO3 under high pressure[19]

    图  (a) PbCrO3中Cr-L2,3的吸收边,(b) PbCrO3中Cr的X射线吸收谱[21]

    Figure  4.  (a) Cr- L2,3 edge in PbCrO3; (b) X-ray absorption spectra of Cr in PbCrO3[21]

    图  PbCrO3中高分辨X射线吸收谱的Pb-L3吸收边[24]

    Figure  5.  Pb-L3 edge of high-resolution X-ray absorption spectra in PbCrO3[24]

    图  PbCrO3中高分辨X射线吸收谱的Pb-L3吸收边随压力的演化[24]

    Figure  6.  Pressure dependent Pb-L3 edge of X-ray absorption spectra in PbCrO3[24]

    图  PbMnO3的(a)同步辐射X射线粉末衍射谱图和(b)二次谐波光谱[32]

    Figure  7.  (a) Synchrotron X-ray diffraction and (b) second harmonic generation of PbMnO3[32]

    图  PbMnO3的X射线吸收谱:(a) Mn-L2,3 吸收边,(b) Pb-L3 吸收边[32]

    Figure  8.  X-ray absorption spectra in PbMnO3: (a) Mn-L2,3 edge, (b) Pb-L3 edge[32]

    图  PbMnO3的(a)电阻率和热电势、(b)磁化率和Arrott曲线以及(c)比热容曲线[32]

    Figure  9.  (a) Resistivity and thermoelectric power, (b) magnetization and Arrott plot curves and (c) specific heat curve of PbMnO3[32]

    图  10  PbFeO3的 (a) 同步辐射X射线衍射谱、 (b)电子选区衍射图、(c)中子衍射谱以及(d)~(f)晶体结构和电荷序[37]

    Figure  10.  (a) Synchrotron X-ray diffraction pattern, (b) selected electron diffraction, (c) neutron diffraction,(d)−(f) crystal structure and charge order of PbFeO3[37]

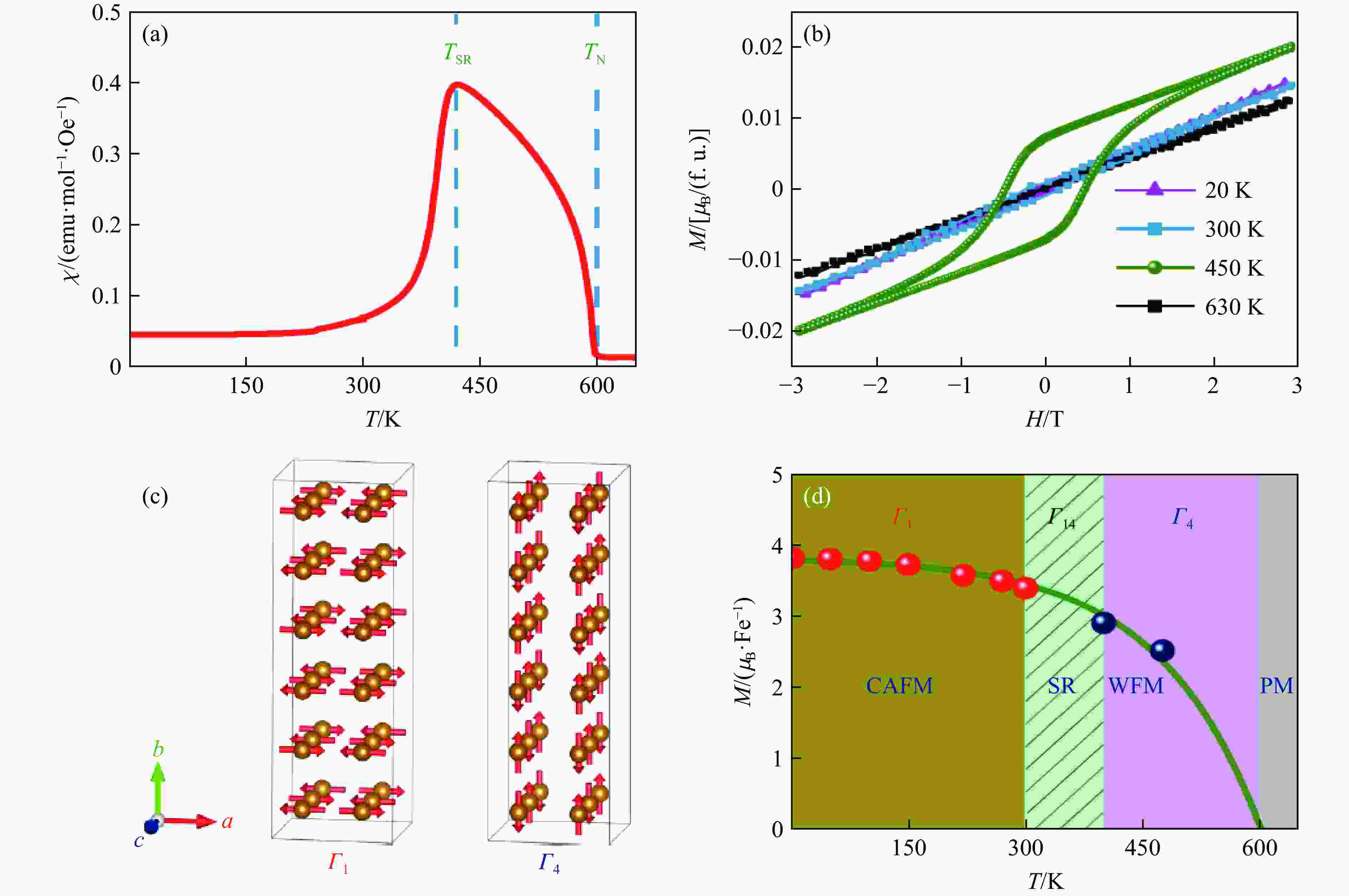
    图  11  PbFeO3的(a)磁化率曲线、(b)磁滞回线、(c)~(d)温度诱导的自旋重排[37]

    Figure  11.  (a) Magnetic susceptibility, (b) isothermal magnetization loops, (c)−(d) temperature induced spin reorientation of PbFeO3[37]

    图  12  PbCoO3的(a)晶体结构、(b)磁化率和比定压热容(cp[38]

    Figure  12.  (a) Crystal structure, (b) magnetic susceptibility and constant pressure specific heat capacity (cp) of PbCoO3[38]

    图  13  (a) PbCoO3 中自旋和价态随压力的演化,(b) PbCoO3 的压力温度相图[38]

    Figure  13.  (a) Schematic view of the origin of pressure induced spin state transition and charge transfer in PbCoO3;(b) pressure and temperature dependent phase diagram of PbCoO3[38]

    图  14  PbNiO3的晶体结构及其温度诱导的结构相变[40]

    Figure  14.  Crystal structure and temperature inducedstructure phase transition of PbNiO3[40]

    图  15  PbMO3 系列钙钛矿材料的晶体结构和电子态的演化示意图

    Figure  15.  Schematic diagram of crystal and electronic configuration of PbMO3 series compounds

  • [1] HIKAMI S, MATSUDA Y. High TC superconductors of the perovskite structure oxides [J]. Japanese Journal of Applied Physics, 1987, 26(Suppl 3-2): 1027. doi: 10.7567/JJAPS.26S3.1027
    [2] ZHENG T, WU J G, XIAO D Q, et al. Recent development in lead-free perovskite piezoelectric bulk materials [J]. Progress in Materials Science, 2018, 98: 552–624. doi: 10.1016/j.pmatsci.2018.06.002
    [3] ITOH M, HAMASAKI Y, TAKASHIMA H, et al. Chemical design of a new displacive type ferroelectric [J]. Dalton Transactions, 2022, 51(7): 2610–2630. doi: 10.1039/D1DT03693A
    [4] WU J, LYNN J W, GLINKA C J, et al. Intergranular giant magnetoresistance in a spontaneously phase separated perovskite oxide [J]. Physical Review Letters, 2005, 94(3): 037201. doi: 10.1103/PhysRevLett.94.037201
    [5] FU Q X, TANG X L, HUANG B, et al. Recent progress on the long-term stability of perovskite solar cells [J]. Advanced Science, 2018, 5(5): 1700387. doi: 10.1002/advs.201700387
    [6] HASE I, YANAGISAWA T. Electronic states of valence-skipping compounds [J]. Journal of Physics: Conference Series, 2008, 108: 012011. doi: 10.1088/1742-6596/108/1/012011
    [7] MATSUURA H, MUKUDA H, MIYAKE K. Valence skipping phenomena, charge Kondo effect, and superconductivity [J]. AAPPS Bulletin, 2022, 32(1): 30. doi: 10.1007/s43673-022-00056-1
    [8] AZUMA M, HOJO H, OKA K, et al. Functional transition metal perovskite oxides with 6 s2 lone pair activity stabilized by high-pressure synthesis [J]. Annual Review of Materials Research, 2021, 51: 329–349. doi: 10.1146/annurev-matsci-080819-011831
    [9] SHANNON R D. Revised effective ionic radii and systematic studies of interatomic distances in halides and chalcogenides [J]. Acta Crystallographica Section A, 1976, 32(5): 751–767. doi: 10.1107/S0567739476001551
    [10] SHPANCHENKO R V, CHERNAYA V V, TSIRLIN A A, et al. Synthesis, structure, and properties of new perovskite PbVO3 [J]. Chemistry of Materials, 2004, 16(17): 3267–3273. doi: 10.1021/cm049310x
    [11] BELIK A, AZUMA M, SAITO T, et al. Crystallographic features and tetragonal phase stability of PbVO3, a new member of PbTiO3 family [J]. Chemistry of Materials, 2005, 17(2): 269–273. doi: 10.1021/cm048387i
    [12] LEIST T, GRANZOW T, JO W, et al. Effect of tetragonal distortion on ferroelectric domain switching: a case study on La-doped BiFeO3-PbTiO3 ceramics [J]. Journal of Applied Physics, 2010, 108(1): 014103. doi: 10.1063/1.3445771
    [13] OKA K, YAMADA I, AZUMA M, et al. Magnetic ground-state of perovskite PbVO3 with large tetragonal distortion [J]. Inorganic Chemistry, 2008, 47(16): 7355–7359. doi: 10.1021/ic800649a
    [14] PAN Z, NISHIKUBO T, SAKAI Y, et al. Observation of stabilized monoclinic phase as a “bridge” at the morphotropic phase boundary between tetragonal perovskite PbVO3 and rhombohedral BiFeO3 [J]. Chemistry of Materials, 2020, 32(8): 3615–3620. doi: 10.1021/acs.chemmater.0c00944
    [15] YAMAMOTO H, IMAI T, SAKAI Y, et al. Colossal negative thermal expansion in electron-doped PbVO3 perovskites [J]. Angewandte Chemie International Edition 2018, 57(27): 8170−8173.
    [16] ROTH W L, DEVRIES R C. Crystal and magnetic structure of PbCrO3 [J]. Journal of Applied Physics, 1967, 38(3): 951–952. doi: 10.1063/1.1709698
    [17] CHAMBERLAND B L, MOELLER C W. A study on the PbCrO3 perovskite [J]. Journal of Solid State Chemistry, 1972, 5(1): 39–41. doi: 10.1016/0022-4596(72)90006-0
    [18] DEVRIES R C, ROTH W L. High-pressure synthesis of PbCrO3 [J]. Journal of the American Ceramic Society, 1968, 51(2): 72–75. doi: 10.1111/j.1151-2916.1968.tb11839.x
    [19] XIAO W S, TAN D Y, XIONG X L, et al. Large volume collapse observed in the phase transition in cubic PbCrO3 perovskite [J]. Proceedings of the National Academy of Sciences the United States of America, 2010, 107(32): 14026–14029. doi: 10.1073/pnas.1005307107
    [20] AREVALO-LOPEZ Á M, ALARIO-FRANCO M Á. On the structure and microstructure of “PbCrO3” [J]. Journal of Solid State Chemistry, 2007, 180(11): 3271–3279. doi: 10.1016/j.jssc.2007.09.017
    [21] WU M, ZHENG L R, CHU S Q, et al. Pressure-induced valence change and semiconductor-metal transition in PbCrO3 [J]. The Journal of Physical Chemistry C, 2014, 118(40): 23274–23278. doi: 10.1021/jp5072346
    [22] YU R Z, HOJO H, WATANUKI M, et al. Melting of Pb charge glass and simultaneous Pb-Cr charge transfer in PbCrO3 as the origin of volume collapse [J]. Journal of the American Chemical Society, 2015, 137(39): 12719–12728. doi: 10.1021/jacs.5b08216
    [23] CHENG J G, KWEON K E, LARREGOLA S A, et al. Charge disproportionation and the pressure-induced insulator-metal transition in cubic perovskite PbCrO3 [J]. Proceedings of the National Academy of Sciences of the United States of America, 2015, 112(6): 1670–1674. doi: 10.1073/pnas.1424431112
    [24] ZHAO J F, HAW S C, WANG X, et al. Stability of the Pb divalent state in insulating and metallic PbCrO3 [J]. Physical Review B, 2023, 107(2): 024107. doi: 10.1103/PhysRevB.107.024107
    [25] WANG S M, ZHU J L, ZHANG Y, et al. Unusual Mott transition in multiferroic PbCrO3 [J]. Proceedings of the National Academy of Sciences of the United States of America, 2015, 112(50): 15320–15325. doi: 10.1073/pnas.1510415112
    [26] WANG S M, CHEN J, WU L S, et al. Giant viscoelasticity near Mott criticality in PbCrO3 with large lattice anomalies [J]. Physical Review Letters, 2022, 128(9): 095702. doi: 10.1103/PhysRevLett.128.095702
    [27] HAN Y X, WANG S M, LIU Y J, et al. Synthesis of single-crystal perovskite PbCrO3 through a new reaction route at high pressure [J]. High Pressure Research, 2018, 38(2): 136–144. doi: 10.1080/08957959.2018.1428319
    [28] BOUGEROL C, GORIUS M F, GREY I E. PbMnO2.75—a high-pressure phase having a new type of crystallographic shear structure derived from perovskite [J]. Journal of Solid State Chemistry, 2002, 169(1): 131–138. doi: 10.1016/S0022-4596(02)00065-8
    [29] OKA K, AZUMA M, HIRAI S, et al. Pressure-induced transformation of 6H hexagonal to 3C perovskite structure in PbMnO3 [J]. Inorganic Chemistry, 2009, 48(5): 2285–2288. doi: 10.1021/ic802081f
    [30] CHMAISSEM O, DABROWSKI B, KOLESNIK S, et al. Relationship between structural parameters and the Néel temperature in Sr1– x Ca x MnO3(0<~ x<~1) and Sr1– y Ba y MnO3 ( y<~0.2) [J]. Physical Review B, 2001, 64(13): 134412. doi: 10.1103/PhysRevB.64.134412
    [31] WOLLAN E O, KOFHLER W C. Neutron diffraction study of the magnetic properties of the series of perovskite-type compounds [(1– x)La, xCa]MnO3 [J]. Physical Review Journals Archive, 1955, 100(2): 545. doi: 10.1103/PhysRev.100.545
    [32] LI X, HU Z W, CHO Y, et al. Charge disproportionation and complex magnetism in a PbMnO3 perovskite synthesized under high pressure [J]. Chemistry of Materials, 2021, 33(1): 92–101. doi: 10.1021/acs.chemmater.0c02706
    [33] TSUCHIYA T, SAITO S, YOSHIDA M, et al. High-pressure synthesis of a novel PbFeO3 [J]. MRS Online Proceedings Library, 2006, 988: 9880916. doi: 10.1557/PROC-988-0988-QQ09-16
    [34] WHITE R L. Review of recent work on the magnetic and spectroscopic properties of the rare-earth orthoferrites [J]. Journal of Applied Physics, 1969, 40(3): 1061–1069. doi: 10.1063/1.1657530
    [35] LI E Y, FENG Z J, KANG B J, et al. Spin switching in single crystal PrFeO3 and spin configuration diagram of rare earth orthoferrites [J]. Journal of Alloys and Compounds, 2019, 811: 152043. doi: 10.1016/j.jallcom.2019.152043
    [36] ZHAO H J, ÍÑIGUEZ J, CHEN X M, et al. Origin of the magnetization and compensation temperature in rare-earth orthoferrites and orthochromates [J]. Physical Review B, 2016, 93(1): 014417. doi: 10.1103/PhysRevB.93.014417
    [37] YE X B, ZHAO J F, DAS S, et al. Observation of novel charge ordering and spin reorientation in perovskite oxide PbFeO3 [J]. Nature Communications, 2021, 12: 1917. doi: 10.1038/s41467-021-22064-9
    [38] SAKAI Y, YANG J Y, YIN Y Z, et al. A-site and B-site charge orderings in an s-d level controlled perovskite oxide PbCoO3 [J]. Journal of the American Chemical Society, 2017, 139(12): 4574–4581. doi: 10.1021/jacs.7b01851
    [39] LIU Z H, SAKAI Y, YANG J Y, et al. Sequential spin state transition and intermetallic charge transfer in PbCoO3 [J]. Journal of the American Chemical Society, 2020, 142(12): 5731–5741. doi: 10.1021/jacs.9b13508
    [40] INAGUMA Y, TANAKA K, TSUCHIYA T, et al. Synthesis, structural transformation, thermal stability, valence state, and magnetic and electronic properties of PbNiO3 with perovskite- and LiNbO3-Type Structures [J]. Journal of the American Chemical Society, 2011, 133(42): 16920–16929. doi: 10.1021/ja206247j
    [41] YU R Z, HOJO H, MOZOGUCHI T, et al. A new LiNbO3-type polar oxide with closed-shell cations: ZnPbO3 [J]. Journal of Applied Physics, 2015, 118: 094103. doi: 10.1063/1.4930034
    [42] YANG J Y, DAI J H, LIU ZH, et al. High-pressure synthesis of the cobalt pyrochlore oxide Pb2Co2O7 with large cation mixed occupancy [J]. Inorganic Chemistry, 2017, 56(19): 11676–11680. doi: 10.1021/acs.inorgchem.7b01646
  • 加载中
图(15)
计量
  • 文章访问数:  682
  • HTML全文浏览量:  246
  • PDF下载量:  96
出版历程
  • 收稿日期:  2023-11-08
  • 修回日期:  2023-12-28
  • 录用日期:  2024-01-02
  • 刊出日期:  2024-02-05

目录

    /

    返回文章
    返回