Insight into Dynamic Recrystallization of AZ31B Magnesium Alloys by Phase-Field Simulations
-
摘要: 镁合金被广泛应用于材料科学、航空航天及军事装备等领域。实验发现,镁合金材料在动态加载下的力学响应与介观尺度不连续动态再结晶紧密相关。为此,构建了镁合金动态再结晶的相场模型,以AZ31B镁合金为研究对象,模拟了不同温度(250~400 ℃)、低应变率(0.01~1.00 s−1)加载下的不连续动态再结晶演化过程。再结晶相场模型耦合了塑性应变,实现了应力-应变曲线与再结晶组织演化的迭代求解。模拟发现,再结晶晶粒的体积分数和平均晶粒尺寸随温度的升高而明显增大,随应变率的增大而减小。Abstract: Magnesium is widely used for materials science, aerospace, and military equipment. It is found that the mechanical property of magnesium under deformation loading is closely related to discontinuous dynamic recrystallization. In this work, we construct a dynamic recrystallization phenomenological model of magnesium alloy via phase-field methods. We choose AZ31B magnesium alloy as the research object and simulate grains and grain boundaries evolutions during dynamic recrystallization under 0.01–1.00 s−1 and 250–400 ℃. Iterative solving methods of stress-strain curves and recrystallization evolutions are improved by introducing plastic deformation energy to phase-field model. The simulation results show the volume fraction of recrystallization grains and the average grain size of samples increase with the rise of temperature and decrease of strain rates.
-
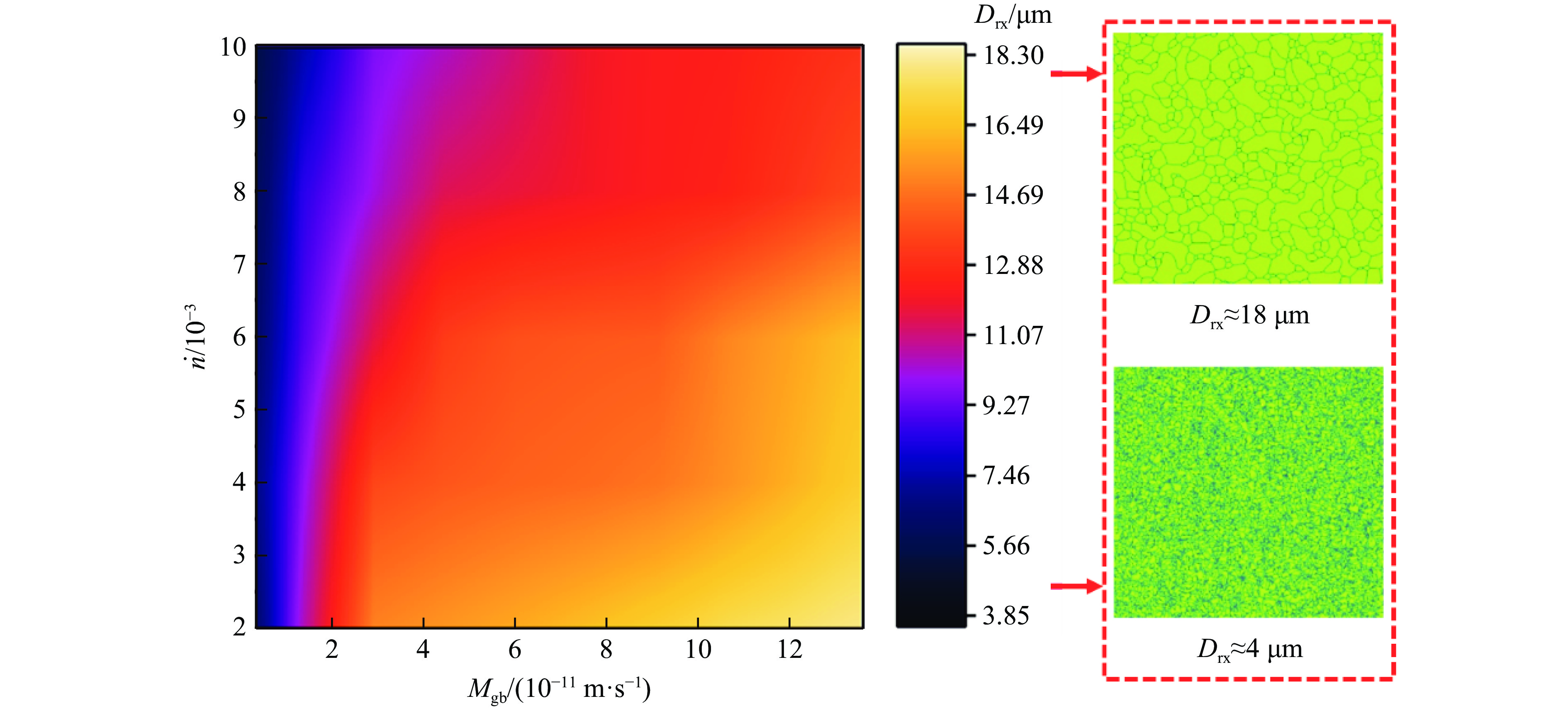
图 6 动态再结晶关于形核率
$ \dot{n} $ 与晶界迁移速率Mgb的平均晶粒尺寸相图(形核速率和晶界迁移速率均采用真实数值)Figure 6. Phase diagram of the average grain size of dynamic recrystallization with respect to the nucleation rate (
$ \dot{n} $ ) versus the grain boundary migration rate Mgb, where real values are used for both the nucleation rate and the grain boundary migration rateα μ/GPa b/m Qdrx/(kJ·mol−1) Qself/(kJ·mol−1) 0.5 17.0 3.2×10−10 158.7 156.2 γgb/(J·m−2) Dgb/(m2·s−1) q kB/(J·K−1) R/(J·mol−1·K−1) 0.55 3.2×10−8 0.634 1.38×10−12 8.314 表 2 AZ31B镁合金的相场模拟初始化参数[23]
Table 2. Initialization parameters for phase-field simulation of AZ31B magnesium alloy[23]
Wgb/μm Δε εend Ng T/℃ $ \dot{\varepsilon }/{\mathrm{s}} $−1 1.0 0.001 1.0 9 250−400 0.01−1.00 T/℃ $ \dot{\varepsilon }/{\mathrm{s}} $−1 σsat/MPa σss/MPa Ω εcrit 250 1.00 187 130 26.35 0.320 300 0.01 87 59 42.31 0.093 300 0.10 117 75 31.97 0.112 300 1.00 155 77 28.07 0.180 350 1.00 116 65 30.44 0.110 400 1.00 86 61 39.65 0.200 -
[1] 谭叶, 肖元陆, 薛桃, 等. 镁铝合金的冲击熔化行为实验研究 [J]. 高压物理学报, 2019, 33(2): 020106. doi: 10.11858/gywlxb.20190729TAN Y, XIAO Y L, XUE T, et al. Melting of MB2 alloy under shock compression [J]. Chinese Journal of High Pressure Physics, 2019, 33(2): 020106. doi: 10.11858/gywlxb.20190729 [2] 李定远, 朱志武, 卢也森. 冲击加载下42CrMo钢的动态力学性能及其本构关系 [J]. 高压物理学报, 2017, 31(6): 761–768. doi: 10.11858/gywlxb.2017.06.011LI D Y, ZHU Z W, LU Y S. Mechanical properties and constitutive relation for 42CrMo steel under impact load [J]. Chinese Journal of High Pressure Physics, 2017, 31(6): 761–768. doi: 10.11858/gywlxb.2017.06.011 [3] 潘建华, 陈学东, 姜恒, 等. 准静态和动态加载对裂纹扩展阻力曲线的影响及其关系的研究 [J]. 高压物理学报, 2015, 29(2): 109–116. doi: 10.11858/gywlxb.2015.02.004PAN J H, CHEN X D, JIANG H, et al. Loading rate effect on crack resistance curves and their correlations [J]. Chinese Journal of High Pressure Physics, 2015, 29(2): 109–116. doi: 10.11858/gywlxb.2015.02.004 [4] MALIK A, WANG Y W, CHENG H W, et al. Post deformation analysis of the ballistic impacted magnesium alloys, a short-review [J]. Journal of Magnesium and Alloys, 2021, 9(5): 1505–1520. doi: 10.1016/j.jma.2020.07.011 [5] MEDVEDEV A E, MACONACHIE T, LEARY M, et al. Perspectives on additive manufacturing for dynamic impact applications [J]. Materials & Design, 2022, 221: 110963. doi: 10.1016/j.matdes.2022.110963 [6] NAZEER F, LONG J Y, YANG Z, et al. Superplastic deformation behavior of Mg alloys: a-review [J]. Journal of Magnesium and Alloys, 2022, 10(1): 97–109. doi: 10.1016/j.jma.2021.07.012 [7] XU W L, YU J M, JIA L C, et al. Deformation behavior of Mg-13Gd-4Y-2Zn-0.5Zr alloy on the basis of LPSO kinking, dynamic recrystallization and twinning during compression-torsion [J]. Materials Characterization, 2021, 178: 111215. doi: 10.1016/j.matchar.2021.111215 [8] MALIK A, NAZEER F, NAQVI S Z H, et al. Microstructure feathers and ASB susceptibility under dynamic compression and its correlation with the ballistic impact of Mg alloys [J]. Journal of Materials Research and Technology, 2022, 16: 801–813. doi: 10.1016/j.jmrt.2021.12.051 [9] MALIK A, WANG Y W. A short review on high strain rate superplasticity in magnesium-based composites materials [J]. International Journal of Lightweight Materials and Manufacture, 2023, 6(2): 214–224. doi: 10.1016/j.ijlmm.2022.10.004 [10] HE M F, CHEN L X, YIN M, et al. Review on magnesium and magnesium-based alloys as biomaterials for bone immobilization [J]. Journal of Materials Research and Technology, 2023, 23: 4396–4419. doi: 10.1016/j.jmrt.2023.02.037 [11] DONG J H, LIN T, SHAO H P, et al. Advances in degradation behavior of biomedical magnesium alloys: a review [J]. Journal of Alloys and Compounds, 2022, 908: 164600. doi: 10.1016/j.jallcom.2022.164600 [12] 苏磊, 杨国强. 动态压力加载/卸载装置dDAC及原位表征技术研究进展 [J]. 高压物理学报, 2021, 35(6): 060102. doi: 10.11858/gywlxb.20210505SU L, YANG G Q. Research progress of dynamic pressure loading/unloading device and in-situ characterization technology [J]. Chinese Journal of High Pressure Physics, 2021, 35(6): 060102. doi: 10.11858/gywlxb.20210505 [13] GOETZ R L, SEETHARAMAN V. Modeling dynamic recrystallization using cellular automata [J]. Scripta Materialia, 1998, 38(3): 405–413. doi: 10.1016/S1359-6462(97)00500-9 [14] JONAS J J, QUELENNEC X, JIANG L, et al. The Avrami kinetics of dynamic recrystallization [J]. Acta Materialia, 2009, 57(9): 2748–2756. doi: 10.1016/j.actamat.2009.02.033 [15] KUBIN L P, CANOVA G, CONDAT M, et al. Dislocation microstructures and plastic flow: a 3D simulation [J]. Solid State Phenomena, 1992, 23/24: 455–472. doi: 10.4028/www.scientific.net/SSP.23-24.455 [16] MA A, ROTERS F. A constitutive model for fcc single crystals based on dislocation densities and its application to uniaxial compression of aluminium single crystals [J]. Acta Materialia, 2004, 52(12): 3603–3612. doi: 10.1016/j.actamat.2004.04.012 [17] MA A, ROTERS F, RAABE D. A dislocation density based constitutive model for crystal plasticity FEM including geometrically necessary dislocations [J]. Acta Materialia, 2006, 54(8): 2169–2179. doi: 10.1016/j.actamat.2006.01.005 [18] PÉREZ-PRADO M T, DEL VALLE J A, CONTRERAS J M, et al. Microstructural evolution during large strain hot rolling of an AM60 Mg alloy [J]. Scripta Materialia, 2004, 50(5): 661–665. doi: 10.1016/j.scriptamat.2003.11.014 [19] SAKAI T, BELYAKOV A, KAIBYSHEV R, et al. Dynamic and post-dynamic recrystallization under hot, cold and severe plastic deformation conditions [J]. Progress in Materials Science, 2014, 60: 130–207. doi: 10.1016/j.pmatsci.2013.09.002 [20] CHEN L Q, YANG W. Computer simulation of the domain dynamics of a quenched system with a large number of nonconserved order parameters: the grain-growth kinetics [J]. Physical Review B, 1994, 50(21): 15752–15756. doi: 10.1103/PhysRevB.50.15752 [21] MOELANS N, GODFREY A, ZHANG Y B, et al. Phase-field simulation study of the migration of recrystallization boundaries [J]. Physical Review B, 2013, 88(5): 054103. doi: 10.1103/PhysRevB.88.054103 [22] ZHAO P Y, SONG EN LOW T, WANG Y Z, et al. An integrated full-field model of concurrent plastic deformation and microstructure evolution: application to 3D simulation of dynamic recrystallization in polycrystalline copper [J]. International Journal of Plasticity, 2016, 80: 38–55. doi: 10.1016/j.ijplas.2015.12.010 [23] CAI Y, SUN C Y, LI Y L, et al. Phase field modeling of discontinuous dynamic recrystallization in hot deformation of magnesium alloys [J]. International Journal of Plasticity, 2020, 133: 102773. doi: 10.1016/j.ijplas.2020.102773 [24] 姚松林, 裴晓阳, 于继东, 等. 基于位错动力学方法的动态塑性变形研究 [J]. 高压物理学报, 2019, 33(3): 030107. doi: 10.11858/gywlxb.20190727YAO S L, PEI X Y, YU J D, et al. Overview of the study of dynamical plastic deformation based on dislocation dynamics method [J]. Chinese Journal of High Pressure Physics, 2019, 33(3): 030107. doi: 10.11858/gywlxb.20190727 [25] 许可. 相场模拟多物理场调控镁合金不连续动态再结晶 [D]. 北京: 北京理工大学, 2023.XU K. Multi-physics-field manipulating discontinuous dynamic recrystallization in magnesium alloys via phase-field simulations [D]. Beijing: Beijing Institute of Technology, 2023. [26] CHEN M S, YUAN W Q, LI H B, et al. Modeling and simulation of dynamic recrystallization behaviors of magnesium alloy AZ31B using cellular automaton method [J]. Computational Materials Science, 2017, 136: 163–172. doi: 10.1016/j.commatsci.2017.05.009 [27] LIU J, CUI Z, RUAN L. A new kinetics model of dynamic recrystallization for magnesium alloy AZ31B [J]. Materials Science and Engineering: A, 2011, 529: 300–310. doi: 10.1016/j.msea.2011.09.032 [28] LI Y, HOU P J, WU Z G, et al. Dynamic recrystallization of a wrought magnesium alloy: grain size and texture maps and their application for mechanical behavior predictions [J]. Materials & Design, 2021, 202: 109562. doi: 10.1016/j.matdes.2021.109562 [29] CHEN S F, LI D Y, ZHANG S H, et al. Modelling continuous dynamic recrystallization of aluminum alloys based on the polycrystal plasticity approach [J]. International Journal of Plasticity, 2020, 131: 102710. doi: 10.1016/j.ijplas.2020.102710 [30] HUANG W Y, CHEN J H, ZHANG R Z, et al. Effect of deformation modes on continuous dynamic recrystallization of extruded AZ31 Mg alloy [J]. Journal of Alloys and Compounds, 2022, 897: 163086. doi: 10.1016/j.jallcom.2021.163086 [31] LEONARD M, MOUSSA C, ROATTA A, et al. Continuous dynamic recrystallization in a Zn-Cu-Ti sheet subjected to bilinear tensile strain [J]. Materials Science and Engineering: A, 2020, 789: 139689. doi: 10.1016/j.msea.2020.139689 [32] LIU L, WU Y X, AHMAD A S. A novel simulation of continuous dynamic recrystallization process for 2219 aluminium alloy using cellular automata technique [J]. Materials Science and Engineering: A, 2021, 815: 141256. doi: 10.1016/j.msea.2021.141256 [33] ZHANG J J, YI Y P, HE H L, et al. Kinetic model for describing continuous and discontinuous dynamic recrystallization behaviors of 2195 aluminum alloy during hot deformation [J]. Materials Characterization, 2021, 181: 111492. doi: 10.1016/j.matchar.2021.111492 [34] GUO P C, LIU X, ZHU B W, et al. The microstructure evolution and deformation mechanism in a casting AM80 magnesium alloy under ultra-high strain rate loading [J]. Journal of Magnesium and Alloys, 2022, 10(11): 3205–3216. doi: 10.1016/j.jma.2021.07.032 [35] LI N L, HUANG G J, ZHONG X Y, et al. Deformation mechanisms and dynamic recrystallization of AZ31 Mg alloy with different initial textures during hot tension [J]. Materials & Design, 2013, 50: 382–391. doi: 10.1016/j.matdes.2013.03.028 [36] POPOVA E, BRAHME A P, STARASELSKI Y, et al. Effect of extension ${ {\text{\{10}}\overline {\text{1}} {\text{2\} }}}$ twins on texture evolution at elevated temperature deformation accompanied by dynamic recrystallization [J]. Materials & Design, 2016, 96: 446–457. doi: 10.1016/j.matdes.2016.02.042[37] XIE C, HE J M, ZHU B W, et al. Transition of dynamic recrystallization mechanisms of as-cast AZ31 Mg alloys during hot compression [J]. International Journal of Plasticity, 2018, 111: 211–233. doi: 10.1016/j.ijplas.2018.07.017 [38] XU S W, KAMADO S, MATSUMOTO N, et al. Recrystallization mechanism of as-cast AZ91 magnesium alloy during hot compressive deformation [J]. Materials Science and Engineering: A, 2009, 527(1/2): 52–60. doi: 10.1016/j.msea.2009.08.062 -

下载:

