Evolution Law of Hydrogen Detonation Cellular Structure under the Effect of Rigid and Flexible Porous Materials
-
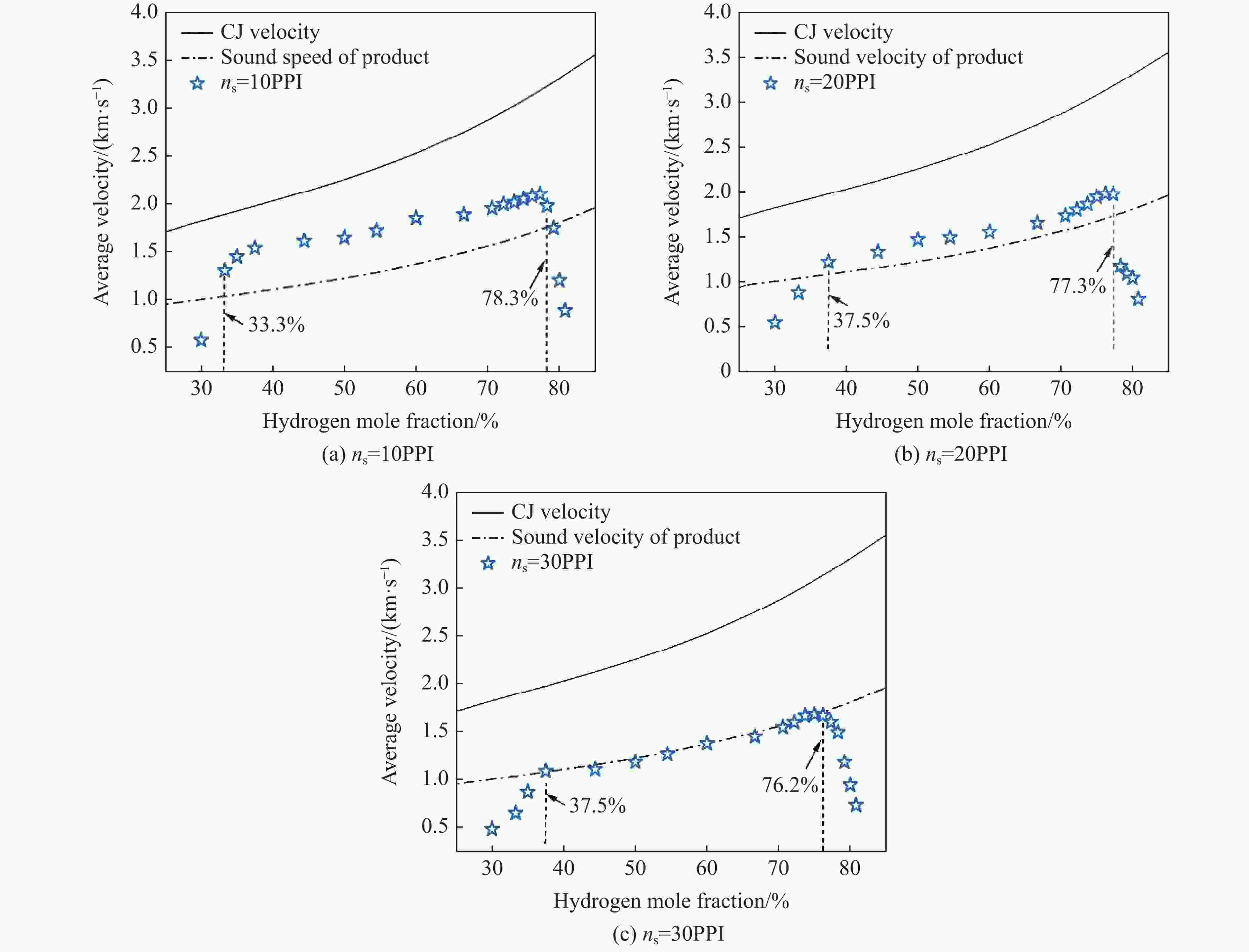
摘要: 多孔材料作为高效吸波耗能介质,广泛应用于爆轰衰减研究中。为进一步揭示多孔材料的抑爆机理,系统研究了柔性(海绵)和刚性(金属丝网)2种典型多孔材料对氢氧爆轰胞格结构的影响,以及海绵和金属丝网厚度、孔隙率对爆轰胞格结构、尺寸等参数的影响。采用烟熏板技术记录爆轰波的胞格图案,并计算得到爆轰胞格尺寸;采用压力传感器记录爆轰波到达时间,进而计算得到爆轰波的平均传播速度。结果表明,爆轰胞格结构与海绵和金属丝网的厚度、孔隙率密切相关,此外研究发现了多个爆轰传播阶段,包括爆轰失效、加速和再起爆。爆轰胞格尺寸也与海绵和金属丝网的厚度、孔隙率密切相关,增大多孔材料厚度和减小孔隙率均能显著增大爆轰胞格尺寸。通过对比分析海绵与金属丝网对爆轰胞格尺寸的影响发现,在相同条件下,刚性多孔材料对爆轰的抑制作用更强,但这种差距会随着多孔材料厚度的增加而减小。最后,通过引入无量纲参数DH/λ量化分析爆轰传播极限。对于柔性和刚性多孔材料而言,其爆轰传播极限可分别近似量化为DH/λ≈3.0和DH/λ≈3.1。Abstract: As highly efficient absorbing and dissipating materials, porous materials were widely used in the study of detonation wave attenuation. In order to further explore the mechanism of explosion suppression by porous materials, the effects of typical flexible (sponge) and rigid (wire mesh) porous materials on the detonation cellular structure for hydrogen and oxygen mixture were investigated systematically. The effects of thickness and porosity of sponge and wire mesh on the structure and size of detonation cell were discussed in detail. The cellular pattern of detonation wave was recorded by using smoke plate technology, and the cell size was calculated. The pressure sensors were used to record the arrival time of the detonation wave, and the average propagation velocity of detonation wave was obtained. The results show that the detonation cellular structure closely depends on the thickness and porosity of sponge and wire mesh, and three phases of the propagation can be observed in the tube, including detonation failure, acceleration and re-initiation. In addition, size of the detonation cell is also closely related to the thickness and porosity of sponge and wire mesh. Increasing the thickness of porous materials and decreasing the porosity both can increase the size of the detonation cell. By comparing the effects of sponge and wire mesh on the detonation cellular structure, it can be found that at the same initial condition, the rigid porous material has a stronger inhibition effect on detonation. But the difference will be gradually decreased with the increase of the thickness of the porous materials. Finally, the limit of the detonation propagation is analyzed quantitatively by introducing the dimensionless parameter DH/λ. For flexible and rigid porous materials, the detonation limit can be nearly quantified as DH/λ≈3.0 and DH/λ≈3.1.
-
表 1 多孔材料的阻塞比
Table 1. Blockage ratio of porous material
No. Thickness of porous materials/mm Internal diameter of pipe/mm Blockage ratio 1 10 60 0.167 2 20 60 0.333 3 30 60 0.500 -
[1] DINCER I, ACAR C. Review and evaluation of hydrogen production methods for better sustainability [J]. International Journal of Hydrogen Energy, 2015, 40(34): 11094–11111. doi: 10.1016/j.ijhydene.2014.12.035 [2] VERHELST S, WALLNER T. Hydrogen-fueled internal combustion engines [J]. Progress in Energy and Combustion Science, 2009, 35(6): 490–527. doi: 10.1016/j.pecs.2009.08.001 [3] ZHENG L G, DOU Z G, DU D P, et al. Study on explosion characteristics of premixed hydrogen/biogas/air mixture in a duct [J]. International Journal of Hydrogen Energy, 2019, 44(49): 27159–27173. doi: 10.1016/j.ijhydene.2019.08.156 [4] MOLNARNE M, SCHROEDER V. Hazardous properties of hydrogen and hydrogen containing fuel gases [J]. Process Safety and Environmental Protection, 2019, 130: 1–5. doi: 10.1016/j.psep.2019.07.012 [5] WU X L, XU S, PANG A M, et al. Hazard evaluation of ignition sensitivity and explosion severity for three typical MH2 (M= Mg, Ti, Zr) of energetic materials [J]. Defence Technology, 2021, 17(4): 1262–1268. doi: 10.1016/j.dt.2020.06.011 [6] ALVES J J N, NETO A T P, ARAÚJO A C B, et al. Overview and experimental verification of models to classify hazardous areas [J]. Process Safety and Environmental Protection, 2019, 122: 102–117. doi: 10.1016/j.psep.2018.11.021 [7] JIAO F Y, ZHANG H R, LI W J, et al. Experimental and numerical study of the influence of initial temperature on explosion limits and explosion process of syngas-air mixtures [J]. International Journal of Hydrogen Energy, 2022, 47(52): 22261–22272. doi: 10.1016/j.ijhydene.2022.05.017 [8] CHEN Y R, CHANG J, BUSSONNIÈRE A, et al. Evaluation of wettability of mineral particles via cavitation thresholds [J]. Powder Technology, 2020, 362: 334–340. doi: 10.1016/j.powtec.2019.11.069 [9] ROYLE M, WILLOUGHBY D. The safety of the future hydrogen economy [J]. Process Safety and Environmental Protection, 2011, 89(6): 452–462. doi: 10.1016/j.psep.2011.09.003 [10] HALIM S Z, YU M X, ESCOBAR H, et al. Towards a causal model from pipeline incident data analysis [J]. Process Safety and Environmental Protection, 2020, 143: 348–360. doi: 10.1016/j.psep.2020.06.047 [11] AIZAWA K, YOSHINO S, MOGI T, et al. Study of detonation initiation in hydrogen/air flow [J]. Shock Waves, 2008, 18(4): 299–305. doi: 10.1007/s00193-008-0166-6 [12] EVANS M W, GIVEN F I, RICHESON W E JR. Effects of attenuating materials on detonation induction distances in gases [J]. Journal of Applied Physics, 1955, 26(9): 1111–1113. doi: 10.1063/1.1722162 [13] TEODORCZYK A, LEE J H S. Detonation attenuation by foams and wire meshes lining the walls [J]. Shock Waves, 1995, 4(4): 225–236. doi: 10.1007/BF01414988 [14] 周凯元, 李宗芬. 丙烷-空气爆燃波的火焰面在直管道中的加速运动 [J]. 爆炸与冲击, 2000, 20(2): 137–142. doi: 10.3321/j.issn:1001-1455.2000.02.008ZHOU K Y, LI Z F. Flame front acceleration of propane-air deflagration in straight tubes [J]. Explosion and Shock Waves, 2000, 20(2): 137–142. doi: 10.3321/j.issn:1001-1455.2000.02.008 [15] 年伟民, 周凯元, 王汉良, 等. 气体爆轰波在声学吸收壁下游的再加强过程 [J]. 实验力学, 2005, 20(1): 37–43. doi: 10.3969/j.issn.1001-4888.2005.01.006NIAN W M, ZHOU K Y, WANG H L, et al. The re-intension process of gaseous detonation downstream of the acoustic absorbing walled section [J]. Journal of Experimental Mechanics, 2005, 20(1): 37–43. doi: 10.3969/j.issn.1001-4888.2005.01.006 [16] 夏昌敬, 周凯元. 气相爆轰波在90°矩形弯管中传播时胞格结构的演化 [J]. 爆炸与冲击, 2005, 25(2): 151–156. doi: 10.11883/1001-1455(2005)02-0151-06XIA C J, ZHOU K Y. Cellular structure evolution of gaseous detonation in a 90° rectangular bend [J]. Explosion and Shock Waves, 2005, 25(2): 151–156. doi: 10.11883/1001-1455(2005)02-0151-06 [17] 王汉良, 周凯元, 杨志, 等. 气体爆轰波在管道中绕射和反射的实验研究 [J]. 火灾科学, 2005, 14(3): 177–181.WANG H L, ZHOU K Y, YANG Z, et al. Experimental study of diffraction and reflection of gaseous detonation wave in the tube [J]. Fire Safety Science, 2005, 14(3): 177–181. [18] 杨志, 周凯元, 谢立军, 等. Z型管道中气体火焰传播规律的实验研究 [J]. 火灾科学, 2006, 15(3): 111–115. doi: 10.3969/j.issn.1004-5309.2006.03.001YANG Z, ZHOU K Y, XIE L J, et al. Experimental study of flame transition in the “Z” type tube [J]. Fire Safety Science, 2006, 15(3): 111–115. doi: 10.3969/j.issn.1004-5309.2006.03.001 [19] GUO C, THOMAS G, LI J, et al. Experimental study of gaseous detonation propagation over acoustically absorbing walls [J]. Shock Waves, 2002, 11(5): 353–359. doi: 10.1007/s001930100113 [20] BIVOL G Y, GOLOVASTOV S V, GOLUB V V. Attenuation and recovery of detonation wave after passing through acoustically absorbing section in hydrogen-air mixture at atmospheric pressure [J]. Journal of Loss Prevention in the Process Industries, 2016, 43: 311–314. doi: 10.1016/j.jlp.2016.05.032 [21] ZHANG B. The influence of wall roughness on detonation limits in hydrogen-oxygen mixture [J]. Combustion and Flame, 2016, 169: 333–339. doi: 10.1016/j.combustflame.2016.05.003 [22] BIVOL G Y, GOLOVASTOV S V, GOLUB V V. Effects of the pore size on hydrogen-air detonation propagation in the channel with porous walls [J]. Journal of Physics: Conference Series, 2019, 1147: 012046. doi: 10.1088/1742-6596/1147/1/012046 [23] MALIK K, ŻBIKOWSKI M, TEODORCZYK A. Detonation cell size model based on deep neural network for hydrogen, methane and propane mixtures with air and oxygen [J]. Nuclear Engineering and Technology, 2019, 51(2): 424–431. doi: 10.1016/j.net.2018.11.004 [24] SUN X X, LU S X. Effect of orifice plate on the transmission mechanism of a detonation wave in hydrogen-oxygen mixtures [J]. International Journal of Hydrogen Energy, 2020, 45(22): 12593–12603. doi: 10.1016/j.ijhydene.2020.02.162 [25] KANESHIGE M, SHEPHERD J E. Detonation database: technical report FM97-8, GALCIT [EB/OL]. (1999-09-03)[2023-03-01]. https://shepherd.caltech.edu/EDL/publications/m_kane97b/db.pdf. [26] LIU S Z, CHEN X, ZHAO N B, et al. Experimental study on initiation and propagation behavior of propane/oxygen/nitrogen detonation wave [J]. Fuel, 2021, 293: 120487. doi: 10.1016/j.fuel.2021.120487 [27] ZHANG B. Detonation limits in methane-hydrogen-oxygen mixtures: dominant effect of induction length [J]. International Journal of Hydrogen Energy, 2019, 44(41): 23532–23537. doi: 10.1016/j.ijhydene.2019.07.053 [28] PERALDI O, KNYSTAUTAS R, LEE J H. Criteria for transition to detonation in tubes [J]. Symposium (International) on Combustion, 1988, 21(1): 1629–1637. doi: 10.1016/S0082-0784(88)80396-5 [29] CROSS M, CICCARELLI G. DDT and detonation propagation limits in an obstacle filled tube [J]. Journal of Loss Prevention in the Process Industries, 2015, 36: 380–386. doi: 10.1016/j.jlp.2014.11.020 -

下载: