Superconductivity in Novel Actinide Filled Boron Carbon Clathrates
-
摘要: Ac元素作为锕系第一号元素,AcH10的超导转变温度(Tc)达到251 K,是潜在的室温超导体。XB3C3(X表示不同的金属掺杂元素)是新发现的sp3笼型化合物,同时具有强共价特性和超导特性,是潜在的高温超导材料。采用第一性原理密度泛函理论,探索以XB3C3、XB2C4和XB4C2笼型结构为原型、引入Ac元素掺杂的AcB3C3、AcB2C4和AcB4C2的晶体结构、晶格动力学、电子性质和超导特性。研究发现:AcB2C4在0~200 GPa区间内难以合成;常压下AcB3C3表现为间接带隙半导体,带隙宽度约为1.154 eV。根据力学稳定性判据可知,AcB3C3和AcB4C2是弹性稳定的具有较高硬度和刚度的脆性材料。同时,常压下AcB4C2表现出超导特性,超导转变温度达到1.565 K。随着压强的增加,超导转变温度呈现先降低后升高的变化趋势,其超导机制由中频声子主导转变为低频与中频声子的共同作用。研究结果可为实验合成笼型化合物超导材料提供理论指导,为探索具有高超导转变温度的超导材料提供新思路。Abstract: Recently, a large number of theoretical and experimental studies have reported the emergence of a new sp3 clathrate XB3C3, where X represents different metal doping elements. The potential high-temperature superconducting materials have been discovered. New-typical cage material with both strong covalent and superconducting properties has important scientific research significance. In recent years, Ac discovered as the first element of the actinide series, AcH10 has a superconducting transition temperature (Tc) of 251 K, making it a potential room temperature superconductor. Therefore, in this article, first principles density functional theory is used to explore the crystal structure, lattice dynamics, electronic properties, and superconducting properties of AcB3C3, AcB2C4, and AcB4C2 doped with Ac elements based on the cage structures of XB3C3, XB2C4, and XB4C2. Research has found that AcB2C4 is difficult to synthesize within the 0–200 GPa range, and AcB3C3 exhibits an indirect bandgap semiconductor with a bandgap width of approximately 1.154 eV at atmospheric pressure. Based on the mechanical stability criterion, it can be inferred that AcB3C3 and AcB4C2 are brittle materials with high hardness and stiffness that are elastically stable. At the same time, AcB4C2 exhibits superconducting properties at ambient pressure, with Tc reaching 1.565 K. It has been observed that as pressure increases, the Tc value exhibits a trend of initially decreasing and then increasing. The superconducting mechanism is mainly influenced by intermediate-frequencies phonons, which then shift to the combination of low-frequencies and intermediate-frequencies phonons. This study provides guidance for the experimental synthesis of cage type compound superconducting materials and provides new ideas for exploring superconducting materials with high superconducting transition temperature.
-
图 2 不同压力下AcBxCy(x=2, 3, 4;y=4, 3, 2)体系的分解焓(当p=0 GPa时,参考相为fcc-Ac单质相、α-B12单质相和六方石墨相;当p=100 GPa和p=200 GPa时,参考相为fcc-Ac单质相、α-Ga型B单质相和金刚石相)
Figure 2. Decomposition enthalpy diagrams of AcBxCy (x=2, 3, 4 and y=4, 3, 2) system at different pressures ( At 0 GPa, the reference phases are the fcc-Ac elemental phase, α-B12 elemental phase, and hexagonal graphite phase. At 100 and 200 GPa, the reference phases are the fcc-Ac elemental phase, α-Ga type B elemental phase, and diamond phase.)
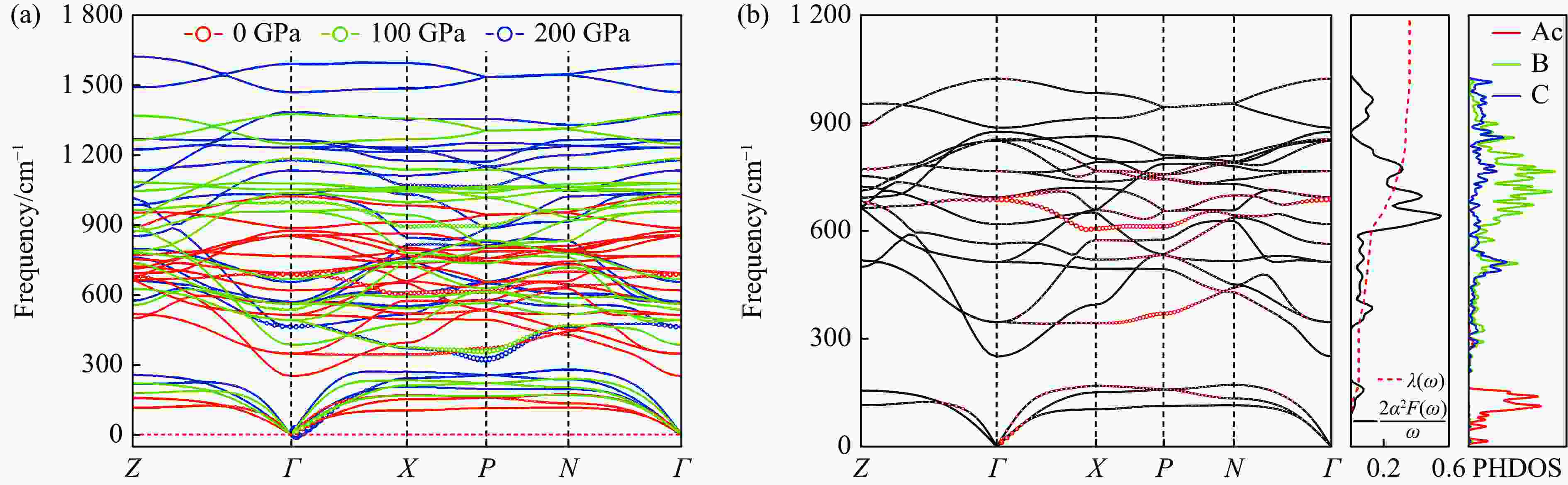
表 1 常压下AcB3C3和AcB4C2的物性参数
Table 1. Physical parameters of AcB3C3 and AcB4C2 at ambient pressure
System C11/GPa C12/GPa C13/GPa C16/GPa C33/GPa C44/GPa $Pm \overline{3} n $-AcB3C3 859.97 185.78 327.12 I4/mmm-AcB4C2 715.43 241.16 114.38 0 814.58 274.96 System C66/GPa B/GPa G/GPa E/GPa ν B/G $Pm \overline{3} n $-AcB3C3 410.51 331.11 782.85 0.18 1.24 I4/mmm-AcB4C2 303.83 353.92 289.12 681.72 0.18 1.22 表 2 不同压强下AcB4C2的物性参数
Table 2. Physical parameters of of AcB4C2 at different pressures
Space group p/GPa 〈ωlog〉/K λ Tc/K N(EF)/
[states/(spin·Ry·Unit)]μ*=0.10 μ*=0.13 I4/mmm 0 747.309 0.358 1.565 0.520 6.153 50 862.377 0.307 0.515 0.094 5.804 100 895.107 0.302 0.455 0.076 5.872 150 896.673 0.316 0.700 0.147 6.206 200 883.648 0.341 1.304 0.372 6.557 -
[1] 赵文迪, 段德芳, 崔田. 高压下氢基高温超导体研究的新进展 [J]. 高压物理学报, 2021, 35(2): 020101. doi: 10.11858/gywlxb.20210727ZHAO W D, DUAN D F, CUI T. New developments of hydrogen-based high-temperature superconductors under high pressure [J]. Chinese Journal of High Pressure Physics, 2021, 35(2): 020101. doi: 10.11858/gywlxb.20210727 [2] SHIPLEY A M, HUTCHEON M J, NEEDS R J, et al. High-throughput discovery of high-temperature conventional superconductors [J]. Physical Review B, 2021, 104(5): 054501. doi: 10.1103/PhysRevB.104.054501 [3] SONG P, HOU Z F, HONGO K, et al. (La, Th)H10: the potential high-Tc superconductors stabilized thermodynamically below 200 GPa [EB/OL]. arXiv: 2210.06371. (2022-10-18)[2023-10-24]. https://arxiv.org/abs/2210.06371. [4] HAI Y L, LU N, TIAN H L, et al. Cage structure and near room-temperature superconductivity in TbH n ( n=1–12) [J]. The Journal of Physical Chemistry C, 2021, 125(6): 3640–3649. doi: 10.1021/acs.jpcc.1c00645 [5] KRUGLOV I A, SEMENOK D V, SONG H, et al. Superconductivity of LaH10 and LaH16 polyhydrides [J]. Physical Review B, 2020, 101(2): 024508. doi: 10.1103/PhysRevB.101.024508 [6] PAPACONSTANTOPOULOS D A, MEHL M J, CHANG P H. High-temperature superconductivity in LaH10 [J]. Physical Review B, 2020, 101(6): 060506(R). [7] CUI H J, LI M L, ZHENG F W, et al. Superconductivity in Th-H and Pu-H compounds under high-pressure conditions: a first-principles study [J]. Physica Status Solidi (B), 2023, 260(2): 2200452. doi: 10.1002/pssb.202200452 [8] DROZDOV A P, KONG P P, MINKOV V S, et al. Superconductivity at 250 K in lanthanum hydride under high pressures [J]. Nature, 2019, 569(7757): 528–531. doi: 10.1038/s41586-019-1201-8 [9] FENG Y J, JIANG M J, DING H B, et al. High-temperature superconductivity in H3S up to 253 K at a pressure of 140 GPa by doping holes [J]. The Journal of Physical Chemistry C, 2022, 126(48): 20702–20709. doi: 10.1021/acs.jpcc.2c06650 [10] KONG P P, MINKOV V S, KUZOVNIKOV M A, et al. Superconductivity up to 243 K in the yttrium-hydrogen system under high pressure [J]. Nature Communications, 2021, 12(1): 5075. doi: 10.1038/s41467-021-25372-2 [11] TSUPPAYAKORN-AEK P, PINSOOK U, LUO W, et al. Superconductivity of superhydride CeH10 under high pressure [J]. Materials Research Express, 2020, 7(8): 086001. doi: 10.1088/2053-1591/ababc2 [12] SEMENOK D V, KVASHNIN A G, KRUGLOV I A, et al. Actinium hydrides AcH10, AcH12, and AcH16 as high-temperature conventional superconductors [J]. The Journal of Physical Chemistry Letters, 2018, 9(8): 1920–1926. doi: 10.1021/acs.jpclett.8b00615 [13] TROYAN I A, SEMENOK D V, KVASHNIN A G, et al. Anomalous high-temperature superconductivity in YH6 [J]. Advanced Materials, 2021, 33(15): 2006832. doi: 10.1002/adma.202006832 [14] DROZDOV A P, EREMETS M I, TROYAN I A, et al. Conventional superconductivity at 203 kelvin at high pressures in the sulfur hydride system [J]. Nature, 2015, 525(7567): 73–76. doi: 10.1038/nature14964 [15] JEON H, WANG C Z, LIU S Y, et al. Electron-phonon coupling and superconductivity in an alkaline earth hydride CaH6 at high pressures [J]. New Journal of Physics, 2022, 24(8): 083048. doi: 10.1088/1367-2630/ac8a0c [16] LI Y W, HAO J, LIU H Y, et al. The metallization and superconductivity of dense hydrogen sulfide [J]. The Journal of Chemical Physics, 2014, 140(17): 174712–174718. doi: 10.1063/1.4874158 [17] DUAN D F, LIU Y X, TIAN F B, et al. Pressure-induced metallization of dense (H2S)2H2 with high- Tc superconductivity [J]. Scientific Reports, 2014, 4(1): 6968. doi: 10.1038/srep06968 [18] WANG H, TSE J S, TANAKA K, et al. Superconductive sodalite-like clathrate calcium hydride at high pressures [J]. Proceedings of the National Academy of Sciences of the United States of America, 2012, 109(17): 6463–6466. doi: 10.1073/pnas.1118168109 [19] PENG F, SUN Y, PICKARD C J, et al. Hydrogen clathrate structures in rare earth hydrides at high pressures: possible route to room-temperature superconductivity [J]. Physical Review Letters, 2017, 119(10): 107001. doi: 10.1103/PhysRevLett.119.107001 [20] MA J Y, KUANG J L, CUI W W, et al. Metal-element-incorporation induced superconducting hydrogen clathrate structure at high pressure [J]. Chinese Physics Letters, 2021, 38(2): 027401. doi: 10.1088/0256-307X/38/2/027401 [21] YAN X Z, ZHANG Z L, CHEN Y M, et al. Prediction of superconductivity in clathrate er hydrides under high pressure [J]. Crystals, 2023, 13(5): 792. doi: 10.3390/cryst13050792 [22] ZHONG X, SUN Y, IITAKA T, et al. Prediction of above-room-temperature superconductivity in lanthanide/actinide extreme superhydrides [J]. Journal of the American Chemical Society, 2022, 144(29): 13394–13400. doi: 10.1021/jacs.2c05834 [23] ZHU X, FENG S Q, LU G, et al. High Tc superconductivity and substructure of Bi-Sr-Ca-Cu-O system [J]. Modern Physics Letters B, 1988, 2(2): 563–569. doi: 10.1142/S0217984988000175 [24] LIU X H, HUANG X W, SONG P, et al. Strong electron-phonon coupling superconductivity in compressed α-MoB2 induced by double van hove singularities [J]. Physical Review B, 2022, 106(6): 064507. doi: 10.1103/PhysRevB.106.064507 [25] BAZHIROV T, SAKAI Y, SAITO S, et al. Electron-phonon coupling and superconductivity in Li-intercalated layered borocarbide compounds [J]. Physical Review B, 2014, 89(4): 045136. doi: 10.1103/PhysRevB.89.045136 [26] QUAN Y D, PICKETT W E. Li2 x BC3: prediction of a second MgB2-class high-temperature superconductor [J]. Physical Review B, 2020, 102(14): 144504. doi: 10.1103/PhysRevB.102.144504 [27] ZHU L, LIU H Y, SOMAYAZULU M, et al. Superconductivity in SrB3C3 clathrate [J]. Physical Review Research, 2023, 5(1): 013012. doi: 10.1103/PhysRevResearch.5.013012 [28] ZHU L, BORSTAD G M, LIU H Y, et al. Carbon-boron clathrates as a new class of sp3-bonded framework materials [J]. Science Advances, 2020, 6(2): 8361–8366. doi: 10.1126/sciadv.aay8361 [29] WANG J N, YAN X W, GAO M. High-temperature superconductivity in SrB3C3 and BaB3C3 predicted from first-principles anisotropic migdal-eliashberg theory [J]. Physical Review B, 2021, 103(14): 144515. doi: 10.1103/PhysRevB.103.144515 [30] DI CATALDO S, QULAGHASI S, BACHELET G B, et al. High- Tc superconductivity in doped boron-carbon clathrates [J]. Physical Review B, 2022, 105(6): 064516. doi: 10.1103/PhysRevB.105.064516 [31] GENG N S, HILLEKE K P, ZHU L, et al. Conventional high-temperature superconductivity in metallic, covalently bonded, binary-guest C-B clathrates [J]. Journal of the American Chemical Society, 2023, 145(3): 1696–1706. doi: 10.1021/jacs.2c10089 [32] GAI T T, GUO P J, YANG H C, et al. Van Hove singularity induced phonon-mediated superconductivity above 77 K in hole-doped SrB3C3 [J]. Physical Review B, 2022, 105(22): 224514. doi: 10.1103/PhysRevB.105.224514 [33] ZHANG P Y, LI X, YANG X, et al. Path to high Tc superconductivity via Rb substitution of guest metal atoms in SrB3C3 clathrate [J]. Physical Review B, 2022, 105(9): 094503. doi: 10.1103/PhysRevB.105.094503 [34] CUI Z, ZHANG X H, SUN Y H, et al. Prediction of novel boron-carbon based clathrates [J]. Physical Chemistry Chemical Physics, 2022, 24(27): 16884–16890. doi: 10.1039/D2CP01783K [35] STROBEL T A, ZHU L, GUŃKA P A, et al. A lanthanum-filled carbon-boron clathrate [J]. Angewandte Chemie International Edition, 2021, 60(6): 2877–2881. doi: 10.1002/anie.202012821 [36] ZHU L, STROBEL T A, COHEN R E. Prediction of an extended ferroelectric clathrate [J]. Physical Review Letters, 2020, 125(12): 127601. doi: 10.1103/PhysRevLett.125.127601 [37] ORIO M, PANTAZIS D A, NEESE F. Density functional theory [J]. Photosynthesis Research, 2009, 102(2/3): 443–453. doi: 10.1007/s11120-009-9404-8 [38] KOHN W, SHAM L J. Self-consistent equations including exchange and correlation effects [J]. Physical Review, 1965, 140(4A): A1133–A1138. doi: 10.1103/PhysRev.140.A1133 [39] PERDEW J P, BURKE K, ERNZERHOF M. Generalized gradient approximation made simple [J]. Physical Review Letters, 1996, 77(18): 3865–3868. doi: 10.1103/PhysRevLett.77.3865 [40] ROSTGAARD C. The projector augmented-wave method [EB/OL]. arXiv: 0910.1921. (2009-10-12)[2024-10-24]. https://arxiv.org/abs/0910.1921. [41] KRESSE G, JOUBERT D. From ultrasoft pseudopotentials to the projector augmented-wave method [J]. Physical Review B, 1999, 59(3): 1758–1775. doi: 10.1103/PhysRevB.59.1758 [42] MARGINE E R, GIUSTINO F. Anisotropic migdal-eliashberg theory using wannier functions [J]. Physical Review B, 2013, 87(2): 024505. doi: 10.1103/PhysRevB.87.024505 [43] GHORAI A. Calculation of parameters of the Ashcroft and Heine-Abarenkov model potential for fcc actinium [J]. Philosophical Magazine Letters, 2021, 101(7): 287–292. doi: 10.1080/09500839.2021.1917781 [44] OGANOV A R, CHEN J H, GATTI C, et al. Ionic high-pressure form of elemental boron [J]. Nature, 2009, 457(7231): 863–867. doi: 10.1038/nature07736 [45] 陈蔚然. 石墨的晶体结构 [J]. 炭素技术, 1990(4): 39–40. doi: 10.14078/j.cnki.1001-3741.1990.04.014CHEN W R. Crystal structure of graphite [J]. Carbon Techniques, 1990(4): 39–40. doi: 10.14078/j.cnki.1001-3741.1990.04.014 [46] LYNCH R W, DRICKAMER H G. Effect of high pressure on the lattice parameters of diamond, graphite, and hexagonal boron nitride [J]. The Journal of Chemical Physics, 1966, 44(1): 181–184. doi: 10.1063/1.1726442 [47] TIAN Y J, XU B, ZHAO Z S. Microscopic theory of hardness and design of novel superhard crystals [J]. International Journal of Refractory Metals and Hard Materials, 2012, 33: 93–106. doi: 10.1016/j.ijrmhm.2012.02.021 [48] LI K Y, WANG X T, ZHANG F F, et al. Electronegativity identification of novel superhard materials [J]. Physical Review Letters, 2008, 100(23): 235504. doi: 10.1103/PhysRevLett.100.235504 [49] 刘然. 二维Li插层硼碳化合物中高温超导电性的第一性原理研究 [D]. 济南: 山东师范大学, 2023: 36–44.LIU R. First principles study of high-temperature superconductivity in two-dimensional Li-intercalated boron-carbon compounds [D]. Ji’nan: Shandong Normal University, 2023: 36–44. [50] HAI Y L, TIAN H L, JIANG M J, et al. Improving Tc in sodalite-like boron-nitrogen compound M2(BN)6 [J]. Materials Today Physics, 2022, 25: 100699. doi: 10.1016/j.mtphys.2022.100699 [51] DING H B, FENG Y J, JIANG M J, et al. Ambient-pressure high- Tc superconductivity in doped boron-nitrogen clathrates La(BN)5 and Y(BN)5 [J]. Physical Review B, 2022, 106(10): 104508. doi: 10.1103/PhysRevB.106.104508 -

下载: