轴向压缩下波纹多胞管的吸能性能

张传良 田晓耕

张传良, 田晓耕. 轴向压缩下波纹多胞管的吸能性能[J]. 高压物理学报, 2023, 37(6): 064201. doi: 10.11858/gywlxb.20230724
引用本文: 张传良, 田晓耕. 轴向压缩下波纹多胞管的吸能性能[J]. 高压物理学报, 2023, 37(6): 064201. doi: 10.11858/gywlxb.20230724
ZHANG Chuanliang, TIAN Xiaogeng. Energy Absorption of Corrugated Multi-Cell Tubes under Axial Compression[J]. Chinese Journal of High Pressure Physics, 2023, 37(6): 064201. doi: 10.11858/gywlxb.20230724
Citation: ZHANG Chuanliang, TIAN Xiaogeng. Energy Absorption of Corrugated Multi-Cell Tubes under Axial Compression[J]. Chinese Journal of High Pressure Physics, 2023, 37(6): 064201. doi: 10.11858/gywlxb.20230724

轴向压缩下波纹多胞管的吸能性能

doi: 10.11858/gywlxb.20230724
基金项目: 国家自然科学基金(11732007)
详细信息
    作者简介:

    张传良(1997-),男,硕士研究生,主要从事轻质薄壁结构的吸能特性研究. E-mail:zclnynl@163.com

    通讯作者:

    田晓耕(1967-),男,博士,教授,主要从事超轻结构吸能及优化研究. E-mail:tiansu@mail.xjtu.edu.cn

  • 中图分类号: O347; TB124

Energy Absorption of Corrugated Multi-Cell Tubes under Axial Compression

  • 摘要: 金属薄壁管作为吸能结构被广泛应用于汽车等运载工具中,提高薄壁管的吸能特性对于提升运载工具的被动安全具有重要意义。为此,提出了结合多角和多胞结构的单波纹多胞管和双波纹多胞管,采用数值模拟方法研究了波纹幅值和波纹峰数对吸能性能的影响。研究发现,相比传统方形多胞管,波纹多胞管的能量吸收得到显著提高。双波纹多胞管比单波纹多胞管具有更加稳定的变形和更高的能量吸收。选取吸能最优的结构,研究了加强筋位置和节点强化对吸能性能的影响。结果表明:边对边连接的双波纹多胞管的吸能特性最好;在加强筋处进行节点强化可以进一步提高双波纹多胞管的能量吸收。相比传统方形多胞管,节点强化的双波纹多胞管的能量吸收增加了88.17%,压溃力效率提高了65.91%。节点强化的双波纹多胞管比传统多胞管具有更加优异的吸能特性,作为耐撞性结构具有广阔的应用前景。

     

  • 图  波纹多胞管的几何模型

    Figure  1.  Geometric models of corrugated multi-cell tube

    图  AA6061-O的真应力-应变曲线[24]

    Figure  2.  True stress-strain curve of AA6061-O[24]

    图  波纹多胞管的有限元模型

    Figure  3.  Finite element model of corrugated multi-cell tube

    图  傅里叶变截面管的实验[27]与数值模拟结果对比

    Figure  4.  Experimental result[27] and simulation comparison for Fourier variable cross-section tube

    图  混合多胞管的实验[9]与数值模拟结果对比

    Figure  5.  Experimental result[9] and simulation comparison for hybrid multi-cell tube

    图  不同幅值和波纹峰数的SCMCT的横截面

    Figure  6.  Cross sections of SCMCT with different amplitudes and corrugation peak numbers

    图  不同幅值和波纹峰数下SCMCT的变形模式

    Figure  7.  Deformation modes of SCMCT with different amplitudes and corrugation peak numbers

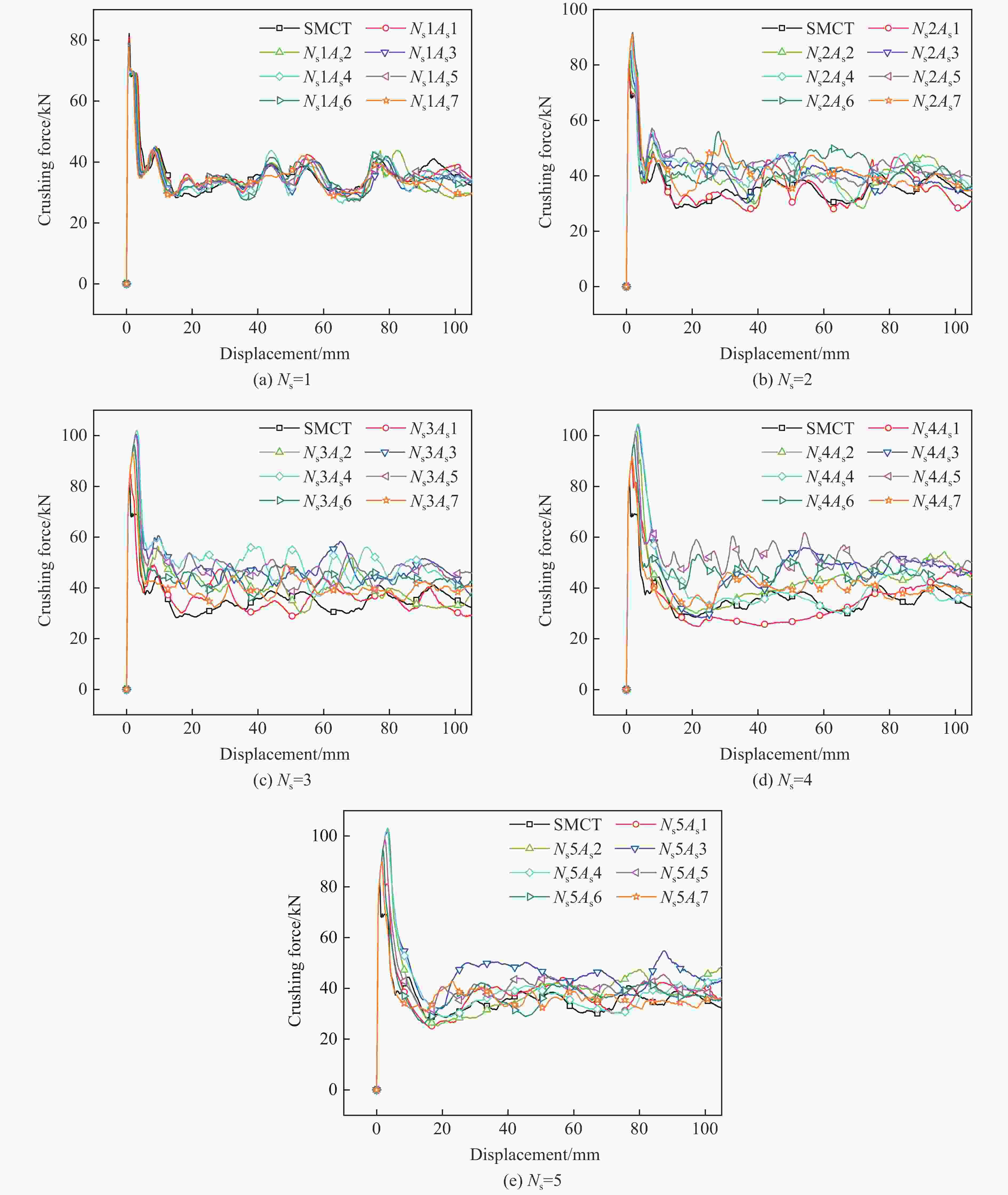
    图  不同幅值和波纹峰数下SCMCT的力-位移曲线

    Figure  8.  Force-displacement curves of SCMCT with different amplitudes and corrugation peak numbers

    图  典型变形模式的力-位移曲线

    Figure  9.  Force-displacement curves of typical deformation modes

    图  10  AsNs对SCMCT吸能指标的影响

    Figure  10.  Effect of As and Ns on energy absorption indexes of SCMCT

    图  11  不同幅值和波纹峰数下DCMCT的横截面

    Figure  11.  Cross sections of DCMCT with different amplitudes and corrugation peak numbers

    图  12  不同幅值和波纹峰数下DCMCT的变形模式

    Figure  12.  Deformation modes of DCMCT with different amplitudes and corrugation peak numbers

    图  13  不同幅值和波纹峰数的DCMCT的力-位移曲线

    Figure  13.  Force-displacement curves of DCMCT with different amplitudes and corrugation peak numbers

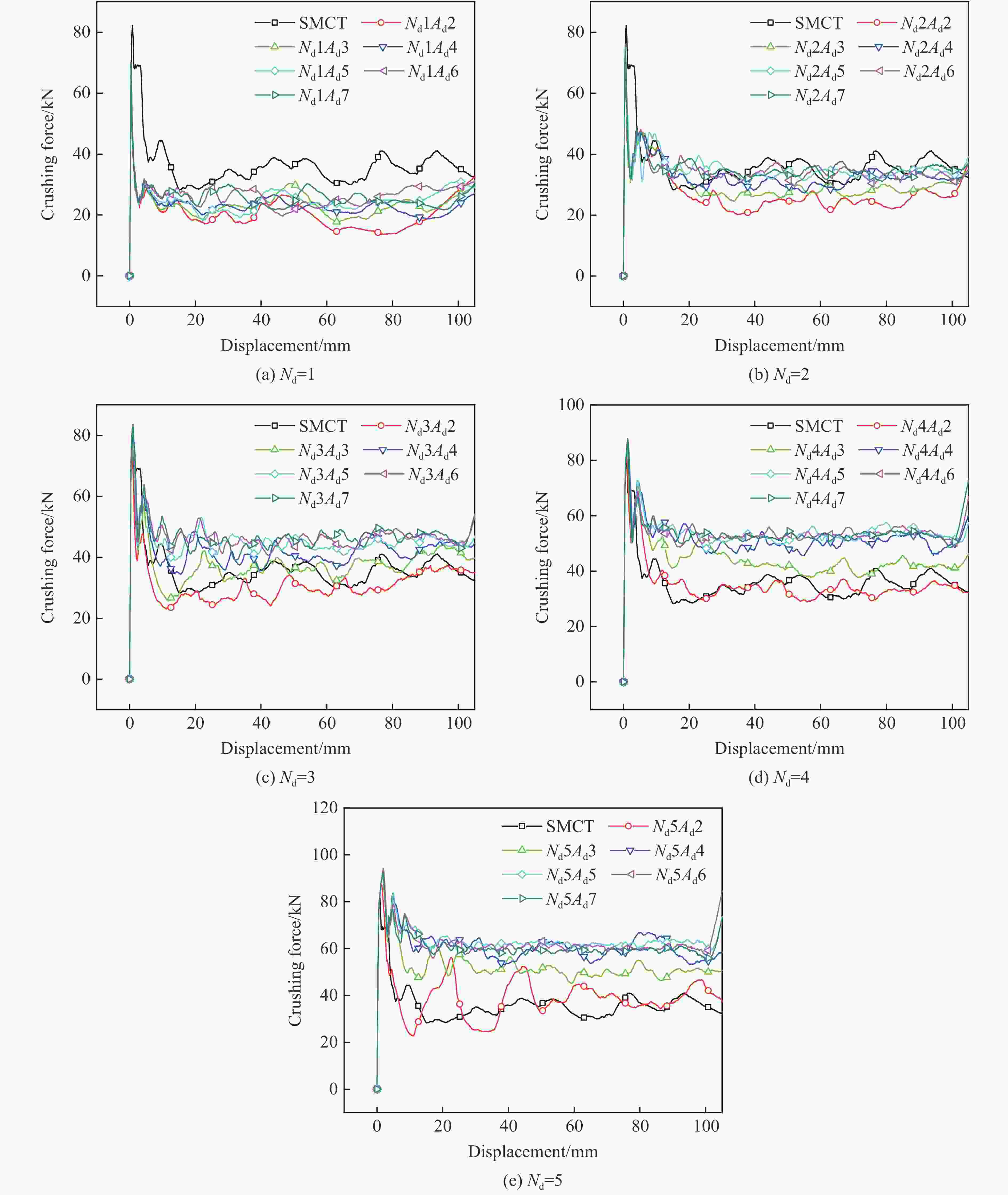
    图  14  NdAd对DCMCT吸能指标的影响

    Figure  14.  Effect of Nd and Ad on energy absorption indexes of DCMCT

    图  15  SCMCT与DCMCT的耐撞性比较

    Figure  15.  Crashworthiness comparison between SCMCT and DCMCT

    图  16  加强筋位置对Nd5Ad5变形模式的影响

    Figure  16.  Influence of rib position on deformation mode of Nd5Ad5

    图  17  加强筋位置对Nd5Ad5吸能特性的影响

    Figure  17.  Influence of rib position on energy absorption characteristics of Nd5Ad5

    图  18  Nd5Ad5-C的几何模型及变形模式

    Figure  18.  Geometry model and deformation mode of Nd5Ad5-C

    图  19  Nd5Ad5-C的力-位移曲线

    Figure  19.  Force-displacement curves of Nd5Ad5-C

    图  20  Nd5Ad5-C的吸能指标

    Figure  20.  Energy absorption indexes of Nd5Ad5-C

  • [1] HA N S, LU G X. A review of recent research on bio-inspired structures and materials for energy absorption applications [J]. Composites Part B: Engineering, 2020, 181: 107496. doi: 10.1016/j.compositesb.2019.107496
    [2] 贺良国, 赵杰, 谷先广. 基于多胞结构的车身前端轻量化和耐撞性设计 [J]. 汽车工程, 2020, 42(6): 832–839, 846. doi: 10.19562/j.chinasae.qcgc.2020.06.019

    HE L G, ZHAO J, GU X G. Lightweight and crashworthiness design of vehicle body front-end based on multi-cell structure [J]. Automotive Engineering, 2020, 42(6): 832–839, 846. doi: 10.19562/j.chinasae.qcgc.2020.06.019
    [3] 牛枞, 黄晗, 向枳昕, 等. 仿生多胞薄壁管耐撞性分析及优化 [J]. 爆炸与冲击, 2022, 42(10): 105901. doi: 10.11883/bzycj-2021-0527

    NIU C, HUANG H, XIANG Z X, et al. Crashworthiness analysis and optimization on bio-inspired multi-cell thin-walled tubes [J]. Explosion and Shock Waves, 2022, 42(10): 105901. doi: 10.11883/bzycj-2021-0527
    [4] 陈伟东, 门恒, 田晓耕. 具有梯度型刚度折叠收缩管的吸能性能 [J]. 高压物理学报, 2020, 34(5): 055301. doi: 10.11858/gywlxb.20190873

    CHEN W D, MEN H, TIAN X G. Energy absorption of folded shrink tubes with gradient stiffness [J]. Chinese Journal of High Pressure Physics, 2020, 34(5): 055301. doi: 10.11858/gywlxb.20190873
    [5] 门恒, 陈伟东, 田晓耕. 具有刚度梯度折纹管能量吸收 [J]. 机械强度, 2021, 43(3): 651–659. doi: 10.16579/j.issn.1001.9669.2021.03.021

    MEN H, CHEN W D, TIAN X G. Energy absorption of pre-folded tube with stiffness gradient [J]. Journal of Mechanical Strength, 2021, 43(3): 651–659. doi: 10.16579/j.issn.1001.9669.2021.03.021
    [6] MA W, LI Z X, XIE S C. Crashworthiness analysis of thin-walled bio-inspired multi-cell corrugated tubes under quasi-static axial loading [J]. Engineering Structures, 2020, 204: 110069. doi: 10.1016/j.engstruct.2019.110069
    [7] WU J C, ZHANG Y, ZHANG F, et al. A bionic tree-liked fractal structure as energy absorber under axial loading [J].Engineering Structures, 2021, 245: 112914. doi: 10.1016/j.engstruct.2021.112914
    [8] ZHANG H, SUN W F. Mechanical behavior and crashworthiness assessment of corrugated inner rib reinforced tubular structures [J]. Thin-Walled Structures, 2023, 189: 110894. doi: 10.1016/j.tws.2023.110894
    [9] CHEN T T, ZHANG Y, LIN J M, et al. Theoretical analysis and crashworthiness optimization of hybrid multi-cell structures [J].Thin-Walled Structures, 2019, 142: 116–131. doi: 10.1016/j.tws.2019.05.002
    [10] ESTRADA Q, SZWEDOWICZ D, MAJEWSKI T, et al. Effect of discontinuity size on the energy absorption of structural steel beam profiles [J]. Mechanics of Advanced Materials and Structures, 2017, 24(1): 88–94. doi: 10.1080/15376494.2015.1117167
    [11] MING S Z, SONG Z B, ZHOU C H, et al. The energy absorption of long origami-ending tubes with geometrical imperfections [J].Thin-Walled Structures, 2021, 161: 107415. doi: 10.1016/j.tws.2020.107415
    [12] ZHOU C H, ZHOU Y, WANG B. Crashworthiness design for trapezoid origami crash boxes [J]. Thin-Walled Structures, 2017, 117: 257–267. doi: 10.1016/j.tws.2017.03.022
    [13] LIU Z F, HAO W Q, XIE J M, et al. Axial-impact buckling modes and energy absorption properties of thin-walled corrugated tubes with sinusoidal patterns [J]. Thin-Walled Structures, 2015, 94: 410–423. doi: 10.1016/j.tws.2015.05.002
    [14] YAMASHITA M, GOTOH M, SAWAIRI Y. Axial crush of hollow cylindrical structures with various polygonal cross-sections: numerical simulation and experiment [J]. Journal of Materials Processing Technology, 2003, 140(1): 59–64. doi: 10.1016/S0924-0136(03)00821-5
    [15] ZHANG X, HU H H. Crushing analysis of polygonal columns and angle elements [J]. International Journal of Impact Engineering, 2010, 37(4): 441–451. doi: 10.1016/j.ijimpeng.2009.06.009
    [16] TANG Z L, LIU S T, ZHANG Z H. Energy absorption properties of non-convex multi-corner thin-walled columns [J]. Thin-Walled Structures, 2012, 51: 112–120. doi: 10.1016/j.tws.2011.10.005
    [17] LI Z X, MA W, XU P, et al. Crushing behavior of circumferentially corrugated square tube with different cross inner ribs [J].Thin-Walled Structures, 2019, 144: 106370. doi: 10.1016/j.tws.2019.106370
    [18] DENG X L, LIU W Y, JIN L. On the crashworthiness analysis and design of a lateral corrugated tube with a sinusoidal cross-section [J]. International Journal of Mechanical Sciences, 2018, 141: 330–340. doi: 10.1016/j.ijmecsci.2018.03.001
    [19] EYVAZIAN A, HABIBI M K, HAMOUDA A M, et al. Axial crushing behavior and energy absorption efficiency of corrugated tubes [J]. Materials & Design, 2014, 54: 1028–1038. doi: 10.1016/j.matdes.2013.09.031
    [20] DENG X L, LIU W Y. Experimental and numerical investigation of a novel sandwich sinusoidal lateral corrugated tubular structure under axial compression [J]. International Journal of Mechanical Sciences, 2019, 151: 274–287. doi: 10.1016/j.ijmecsci.2018.11.010
    [21] WANG Z G, LIU J F, YAO S. On folding mechanics of multi-cell thin-walled square tubes [J]. Composites Part B: Engineering, 2018, 132: 17–27. doi: 10.1016/j.compositesb.2017.07.036
    [22] HA N S, PHAM T M, TRAN T T, et al. Mechanical properties and energy absorption of bio-inspired hierarchical circular honeycomb [J]. Composites Part B: Engineering, 2022, 236: 109818. doi: 10.1016/j.compositesb.2022.109818
    [23] GONG C, BAI Z H, WANG Y L, et al. On the crashworthiness performance of novel hierarchical multi-cell tubes under axial loading [J]. International Journal of Mechanical Sciences, 2021, 206: 106599. doi: 10.1016/j.ijmecsci.2021.106599
    [24] WANG J, ZHANG Y, HE N, et al. Crashworthiness behavior of Koch fractal structures [J]. Materials & Design, 2018, 144: 229–244. doi: 10.1016/j.matdes.2018.02.035
    [25] ZHANG J, XIE S C, ZHOU H, et al. Study and optimization of energy absorption characteristics of a new concave polygon tube [J].Structures, 2023, 53: 1030–1045. doi: 10.1016/j.istruc.2023.04.129
    [26] DENG X L, QIN S G, HUANG J L. Crashworthiness analysis of gradient hierarchical multicellular columns evolved from the spatial folding [J]. Materials & Design, 2022, 215: 110435. doi: 10.1016/J.MATDES.2022.110435
    [27] WU S Y, SUN G Y, WU X, et al. Crashworthiness analysis and optimization of Fourier varying section tubes [J]. International Journal of Non-Linear Mechanics, 2017, 92: 41–58. doi: 10.1016/j.ijnonlinmec.2017.03.001
  • 加载中
图(20)
计量
  • 文章访问数:  382
  • HTML全文浏览量:  229
  • PDF下载量:  52
出版历程
  • 收稿日期:  2023-08-24
  • 修回日期:  2023-09-20
  • 刊出日期:  2023-12-15

目录

    /

    返回文章
    返回