Synergistic Effect of Air Supply Volume and Bubble Curtain Layer on the Shock Wave Attenuation of Underwater Explosion
-
摘要: 气泡帷幕能有效地削弱水中冲击波对周围环境的影响。为了研究气泡帷幕供风量和层数对水中冲击波的协同作用,在供风量为30、60、90 L/min的条件下分别设计了含1、2、3层气泡帷幕的水下爆炸试验。结果表明,气泡帷幕的衰减率随供风量和层数增加而增大。当供风量较小(如30、60 L/min)时,随着气泡帷幕层数的增加,相邻层数之间峰值压力的衰减效率越来越低;当供风量较大(如90 L/min)时,随着气泡帷幕层数的增加,相邻层数之间峰值压力的衰减效率越来越高。结合实际工程的经济效益和水下复杂环境问题对削波效果进行分析,确定在供风量为30 L/min时开启2层气泡帷幕是最优的削波方案,为相关的实际工程问题提供参考和新思路。Abstract: The bubble curtain can effectively weaken the influence of underwater shock wave on the surrounding environment. In order to investigate the synergistic effect of air supply volume and bubble curtain layer on the shock wave attenuation of underwater explosion, underwater explosion tests with one layer, two layers and three layers were designed under the air supply volume of 30, 60, and 90 L/min, respectively. The results show that the attenuance of bubble curtain increases with the increase of air supply volume and layer number. When the air supply is small (such as 30, 60 L/min), with the increase of the number of bubble curtain layers, the attenuation efficiency of the peak pressure between adjacent layers becomes worse; when the air supply is large (such as 90 L/min), with the increase of the number of bubble curtain layers, the attenuation efficiency of the peak pressure between adjacent layers becomes better. Combined with the economic benefits of the actual project and the complex underwater environment problems to analyze the attenuation effect of the bubble curtain, it was determined that the two-layer bubble curtain with the air supply rate of 30 L/min was the optimal attenuation scheme, which provides reference and new ideas for related practical engineering problems.
-
表 1 试验设计方案
Table 1. Design scheme of field test
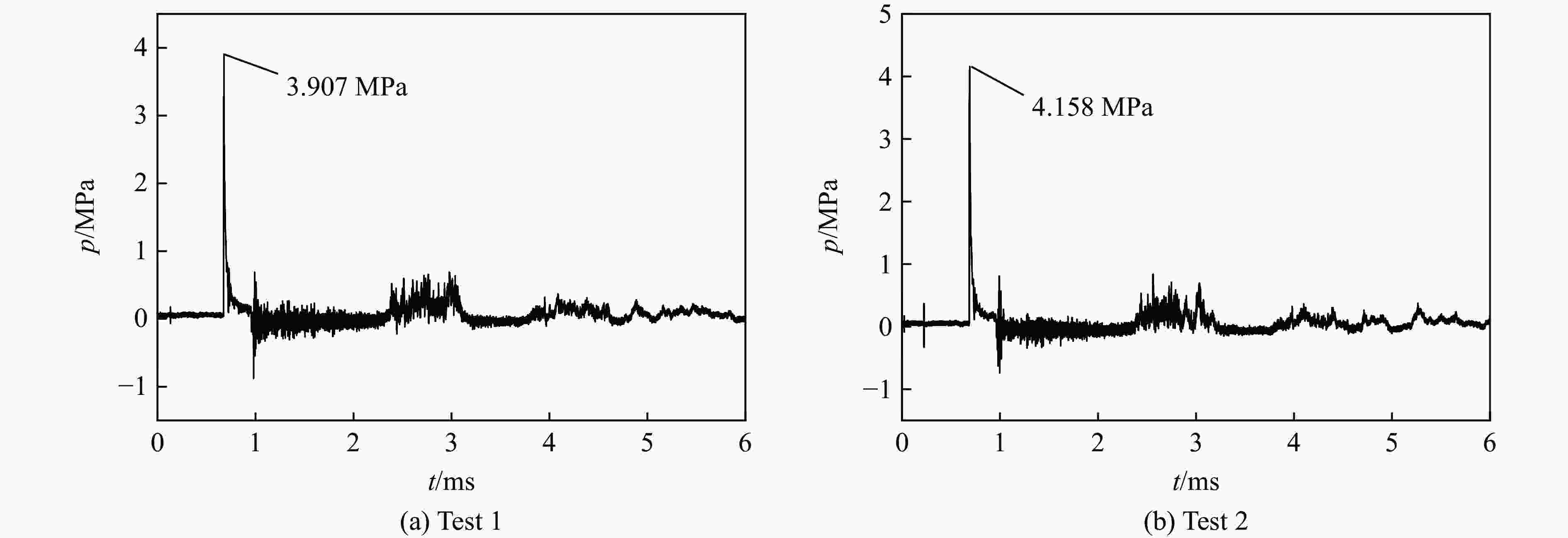
Test No. v/(L·min−1) n Test No. v/(L·min−1) n Test No. v/(L·min−1) n 1 0 0 8 90 1 15 30 3 2 0 0 9 30 2 16 30 3 3 30 1 10 30 2 17 60 3 4 30 1 11 60 2 18 60 3 5 60 1 12 60 2 19 90 3 6 60 1 13 90 2 20 90 3 7 90 1 14 90 2 表 2 不同层数气泡帷幕条件下水下冲击波峰值压力
Table 2. Peak pressure of underwater explosion shock wave under different layers of bubble curtains
v/(L·min−1) n=1 n=2 n=3 pm/MPa $ {\overline{p}}_{\mathrm{m}}/{\mathrm{MPa}} $ A/% pm/MPa $ {\overline{p}}_{\mathrm{m}}/{\mathrm{MPa}} $ A/% pm/MPa $ {\overline{p}}_{\mathrm{m}} /{\mathrm{MPa}}$ A/% 30 2.069
1.9912.030 49.67 0.931
0.9440.938 76.74 0.831
0.8700.851 78.90 60 1.547
1.5011.524 62.21 0.842
0.8010.822 79.62 0.633
0.6810.657 83.71 90 0.760
0.7960.778 80.71 0.655
0.6840.670 83.39 0.390
0.3920.391 90.30 -
[1] 王兴雁, 詹发民, 周方毅, 等. 气泡帷幕削减水击波压力作用因素分析 [J]. 爆破, 2012, 29(4): 23–27. doi: 10.3963/j.issn.1001-487X.2012.04.006WANG X Y, ZHAN F M, ZHOU F Y, et al. Effect of bubble curtains on underwater shockwave reducing [J]. Blasting, 2012, 29(4): 23–27. doi: 10.3963/j.issn.1001-487X.2012.04.006 [2] 寇晓枫. 空气夹层结构的水下爆炸防护效果研究 [D]. 武汉: 武汉大学, 2017.KOU X F. Protection effects of sandwich structures with air interlayer subjected to underwater explosion [D]. Wuhan: Wuhan University, 2017. [3] 张轶凡, 刘亮涛, 王金相, 等. 水下爆炸冲击波和气泡载荷对典型圆柱壳结构的毁伤特性 [J]. 兵工学报, 2023, 44(2): 345–359. doi: 10.12382/bgxb.2021.0598ZHANG Y F, LIU L T, WANG J X, et al. Damage characteristics of underwater explosion shock wave and bubble load on typical cylindrical shell structure [J]. Acta Armamentarii, 2023, 44(2): 345–359. doi: 10.12382/bgxb.2021.0598 [4] 王高辉, 高政, 卢文波, 等. 考虑初始应力的混凝土重力坝水下爆炸毁伤特性研究 [J]. 振动与冲击, 2022, 41(11): 133–140. doi: 10.13465/j.cnki.jvs.2022.11.017WANG G H, GAO Z, LU W B, et al. Damage characteristics of underwater explosion of concrete gravity dam considering initial stress [J]. Journal of Vibration and Shock, 2022, 41(11): 133–140. doi: 10.13465/j.cnki.jvs.2022.11.017 [5] 张志波, 李春军, 李红勇, 等. 气泡帷幕在水下爆破减震工程中的应用 [J]. 爆破, 2003, 20(2): 75–76, 89. doi: 10.3963/j.issn.1001-487X.2003.02.028ZHANG Z B, LI C J, LI H Y, et al. Application of air bubble purdah in the damping measure in the underwater blasting [J]. Blasting, 2003, 20(2): 75–76, 89. doi: 10.3963/j.issn.1001-487X.2003.02.028 [6] 贾虎, 郑伟花, 罗强, 等. 爆炸气泡帷幕对水中冲击波能量的衰减特性 [J]. 含能材料, 2015, 23(10): 1015–1019. doi: 10.11943/j.issn.1006-9941.2015.10.018JIA H, ZHENG W H, LUO Q, et al. Attenuation characteristics of underwater explosion bubble curtain on the shock [J]. Chinese Journal of Energetic Materials, 2015, 23(10): 1015–1019. doi: 10.11943/j.issn.1006-9941.2015.10.018 [7] 司剑峰. 深水钻孔爆破的冲击波衰减规律及防护研究 [D]. 武汉: 武汉科技大学, 2021.SI J F. Research on the attenuation law of shock wave and protection in deep-water drilling and blasting [D]. Wuhan: Wuhan University of Science and Technology, 2021. [8] 陆少锋, 梁进, 覃才勇, 等. 供风量对水下爆炸冲击波气泡帷幕消波效应的影响 [J]. 工程爆破, 2022, 28(5): 143–148. doi: 10.19931/j.EB.20210013LU S F, LIANG J, QIN C Y, et al. Influence of air supply rate on wave attenuation effect of bubble curtain for underwater explosion shock wave [J]. Engineering Blasting, 2022, 28(5): 143–148. doi: 10.19931/j.EB.20210013 [9] 谢金怀, 何树斌, 屈科, 等. 气泵法生成气泡帷幕的特性研究 [J]. 海洋技术学报, 2019, 38(1): 12–17. doi: 10.3969/j.issn.1003-2029.2019.01.003XIE J H, HE S B, QU K, et al. Study on the characteristics of bubble curtain generated by the air pump method [J]. Journal of Ocean Technology, 2019, 38(1): 12–17. doi: 10.3969/j.issn.1003-2029.2019.01.003 [10] 范怀斌, 陆少锋, 莫崇勋, 等. 多层差异性气泡帷幕对水下爆破冲击波的衰减效应的试验研究 [J]. 爆破器材, 2023, 52(2): 48–55. doi: 10.3969/j.issn.1001-8352.2023.02.008FAN H B, LU S F, MO C X, et al. Experimental study on attenuation effect of multi-layer differential bubble curtain on underwater blasting shock wave [J]. Explosive Materials, 2023, 52(2): 48–55. doi: 10.3969/j.issn.1001-8352.2023.02.008 [11] 刘欣, 顾文彬, 陈学平. 气泡帷幕对水中冲击波衰减特性的数值模拟研究 [J]. 爆破, 2015, 32(3): 79–84. doi: 10.3963/j.issn.1001-487X.2015.03.014LIU X, GU W B, CHEN X P. Numerical simulation study of attenuation characteristics of water shock wave under bubble curtain [J]. Blasting, 2015, 32(3): 79–84. doi: 10.3963/j.issn.1001-487X.2015.03.014 [12] 张成兴, 王永学, 王国玉, 等. 静水中气泡帷幕产生水平流的数值模拟研究 [J]. 水动力学研究与进展A辑, 2010, 25(1): 59–66. doi: 10.3969/j.issn.1000-4874.2010-01.009ZHANG C X, WANG Y X, WANG G Y, et al. Numerical simulation study on the horizontal current generated by air bubbles curtain in still water [J]. Chinese Journal of Hydrodynamics, 2010, 25(1): 59–66. doi: 10.3969/j.issn.1000-4874.2010-01.009 [13] 鲁天龙. 气泡帷幕周围流场运动特性数值模拟研究 [D]. 长沙: 长沙理工大学, 2020.LU T L. Numerical simulation of flow field motion characteristics around bubble curtain [D]. Changsha: Changsha University of Science & Technology, 2020. [14] 刘天云, 龚书堂, 胡伟才, 等. 水下钻孔爆破水击波的传播规律及气泡帷幕对水击波的削减作用 [J]. 爆破器材, 2020, 49(2): 16–22. doi: 10.3969/j.issn.1001-8352.2020.02.003LIU T Y, GONG S T, HU W C, et al. Propagation law of water hammer wave in underwater drilling blasting and reduction of bubble curtain on water hammer wave [J]. Explosive Materials, 2020, 49(2): 16–22. doi: 10.3969/j.issn.1001-8352.2020.02.003 [15] 谢达建, 吴立, 洪江, 等. 气泡帷幕对水下爆破冲击波的削弱作用研究 [J]. 人民长江, 2018, 49(8): 72–77. doi: 10.16232/j.cnki.1001-4179.2018.08.014XIE D J, WU L, HONG J, et al. Study on weakening effect of bubble curtain on water shock wave in underwater blasting [J]. Yangtze River, 2018, 49(8): 72–77. doi: 10.16232/j.cnki.1001-4179.2018.08.014 [16] 胡亚峰, 金建峰, 顾文彬, 等. 爆炸实验水池防护性能及动力学响应分析 [J]. 爆炸与冲击, 2017, 37(6): 1001–1009. doi: 10.11883/1001-1455(2017)06-1001-09HU Y F, JIN J F, GU W B, et al. Protective performance and dynamic response analysis of explosion testing pool [J]. Explosion and Shock Waves, 2017, 37(6): 1001–1009. doi: 10.11883/1001-1455(2017)06-1001-09 [17] 胡伟才, 吴立, 舒利, 等. 不同设置方式下气泡帷幕对水中冲击波衰减特性的影响 [J]. 科学技术与工程, 2018, 18(17): 33–38. doi: 10.3969/j.issn.1671-1815.2018.17.006HU W C, WU L, SHU L, et al. Influence of water shock wave on attenuation characteristics under bubble curtain with different settings [J]. Science Technology and Engineering, 2018, 18(17): 33–38. doi: 10.3969/j.issn.1671-1815.2018.17.006 [18] 彭亚雄, 吴立, 李春军, 等. 水下钻孔爆破水击波特性及气泡帷幕削压效果研究 [J]. 爆破, 2019, 36(1): 38–43. doi: 10.3963/j.issn.1001-487X.2019.01.006PENG Y X, WU L, LI C J, et al. Characteristics of water shock wave from underwater hole blasting and weakening pressure effect of bubble curtain in water [J]. Blasting, 2019, 36(1): 38–43. doi: 10.3963/j.issn.1001-487X.2019.01.006 [19] 俞统昌, 王晓峰, 王建灵. 炸药的水下爆炸冲击波性能 [J]. 含能材料, 2003, 11(4): 182–186. doi: 10.3969/j.issn.1006-9941.2003.04.002YU T C, WANG X F, WANG J L. Underwater shockwave performance of explosives [J]. Energetic Materials, 2003, 11(4): 182–186. doi: 10.3969/j.issn.1006-9941.2003.04.002 [20] 冯沐桦. 水下爆炸与水池抗冲击载荷研究 [D]. 南京: 南京理工大学, 2023.FENG M H. Study on underwater explosion and methods of anti-shock load for explosive pool [D]. Nanjing: Nanjing University of Science & Technology, 2023. -

下载: