Effect of Hexamethylenetetramine Content on the Performance of Ammonium-Amine Explosives
-
摘要: 为探究六亚甲基四胺含量对铵胺炸药性能的影响,采用质量分数为5.5%、6.5%、7.5%、8.5%、9.5%的六亚甲基四胺制备5组铵胺炸药。通过黏度分析仪、计时仪、爆速测试仪和热分析技术,对铵胺炸药的交联时间、爆速以及热分解过程进行研究。实验结果表明,当六亚甲基四胺的质量分数从5.5%增加至9.5%时:铵胺炸药的交联速度逐渐放缓,交联时间由7 h延长至13 h;爆速由3552 m/s上升至4070 m/s,而后下降至3663 m/s;六亚甲基四胺含量对铵胺炸药的热分解过程没有明显影响,铵胺炸药的表观活化能由93.71 kJ/mol上升至124.71 kJ/mol,热安定性得到提升。Abstract: To investigate the effect of hexamethylenetetramine content on the performance of ammonium-amine explosives, five groups of ammonium-amine explosives were prepared using hexamethylenetetramine with mass fractions of 5.5%, 6.5%, 7.5%, 8.5% and 9.5%. The cross-linking time, detonation velocity and thermal decomposition process of ammonium-amine explosives were studied by means of viscosity analyzer, chronograph, detonation velocity tester and thermal analysis techniques. The results show that when the mass fraction of hexamethylenetetramine increases from 5.5% to 9.5%, the cross-linking speed of ammonium-amine explosive gradually slows down and the cross-linking time gradually increases from 7 h to 13 h, and the detonation velocity of explosive increases firstly from 3552 m/s to 4070 m/s and then decreases to 3663 m/s. The content of hexamethylenetetramine has insignificant effect on the thermal decomposition process of ammonium-amine explosives. With increasing content of hexamethylenetetramine, the apparent activation energy of ammonium-amine explosive increases from 93.71 kJ/mol to 124.71 kJ/mol, and the thermal stability is improved.
-
表 1 铵胺炸药基质配方
Table 1. Matrix formulations of ammonium-amine explosives
Sample No. Mass fraction/% Ammonium nitrate Sodium nitrate Acetic acid Water Hexamethylenetetramine Guar gum 1 77.0 3.0 3.0 10.5 5.5 1.0 2 76.0 3.0 3.0 10.5 6.5 1.0 3 75.0 3.0 3.0 10.5 7.5 1.0 4 74.0 3.0 3.0 10.5 8.5 1.0 5 73.0 3.0 3.0 10.5 9.5 1.0 表 2 5组炸药的理论爆轰参数
Table 2. Theoretical detonation parameters for 5 groups of explosives
Sample No. w/% Oxygen balance/(g·g−1) D0/(m·s−1) 1 5.5 0.04493 4572 2 6.5 0.02243 4564 3 7.5 −0.00012 4559 4 8.5 −0.02267 4419 5 9.5 −0.04521 4264 表 3 15 ℃/min升温速率下5组样品的
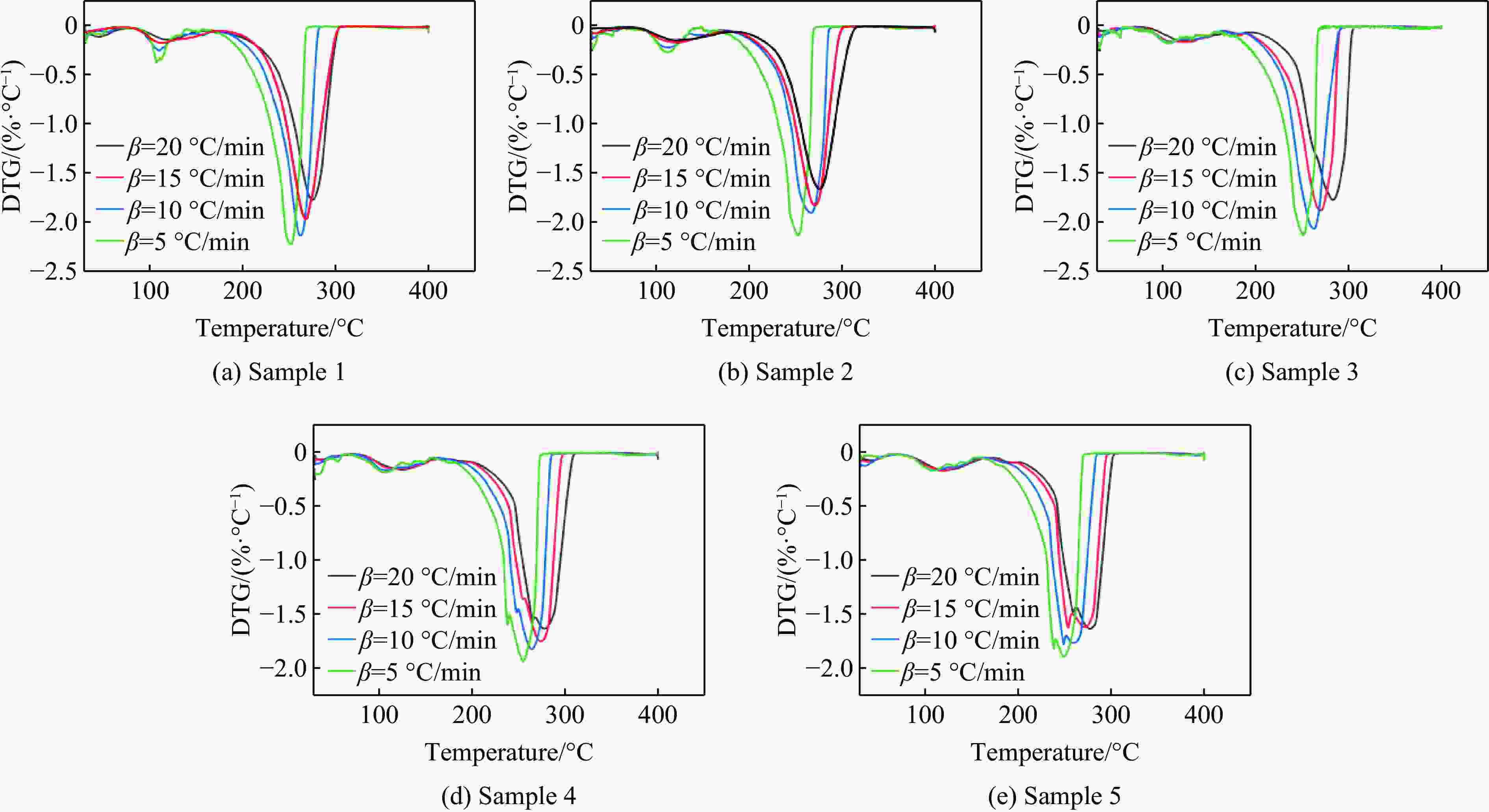
$T_{\rm{onset}} $ 、$T_{\rm{p}}$ 和质量损失率Table 3.
$T_{\rm{onset}} $ ,$T_{\rm{p}} $ and the mass loss rate at the heating rate of 15 ℃/min for 5 groups of samplesSample No. Tonset/℃ Tp/℃ α1/% α2/% 1 230.61 269.45 13.43 81.02 2 231.77 270.04 13.58 81.27 3 232.59 271.99 13.71 80.32 4 232.48 272.42 13.62 80.72 5 236.08 274.96 13.54 80.51 表 4 Kissinger方法所得的表观活化能
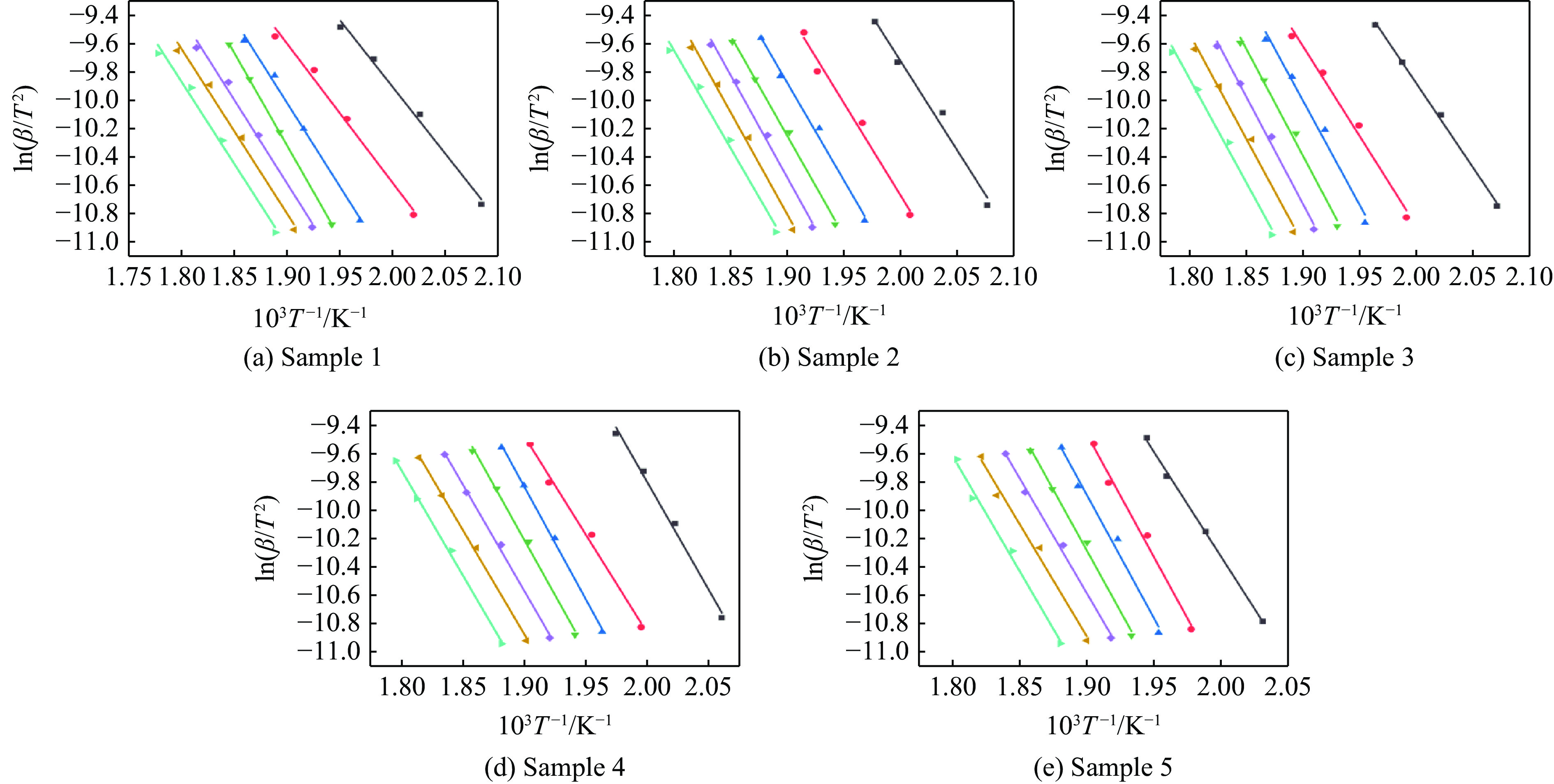
Table 4. Apparent activation energy obtained by Kissinger method
α/% Apparent activation energy/(kJ·mol−1) R2 No.1 No.2 No.3 No.4 No.5 No.1 No.2 No.3 No.4 No.5 20 78.15 81.48 104.76 98.94 126.37 0.9922 0.9973 0.9836 0.9985 0.9922 30 81.48 93.70 108.91 105.59 115.56 0.9896 0.9979 0.9847 0.9871 0.9913 40 97.27 105.26 114.73 122.22 132.19 0.9944 0.9854 0.9927 0.9861 0.9985 50 108.08 112.41 117.23 125.54 128.87 0.9996 0.9942 0.9963 0.9919 0.9956 60 98.11 112.41 120.55 126.37 124.71 0.9917 0.9936 0.9945 0.9946 0.9975 70 96.44 114.57 119.72 123.05 122.22 0.9894 0.9918 0.9910 0.9904 0.9972 80 96.44 115.15 114.73 122.22 123.04 0.9881 0.9893 0.9881 0.9914 0.9974 Mean 93.71 104.99 114.37 117.70 124.71 -
[1] 赵润. 对乳化炸药螺杆泵爆炸的事故树分析 [J]. 四川化工, 2021, 24(6): 43–46. doi: 10.3969/j.issn.1672-4887.2021.06.011ZHAO R. Fault tree analysis of screw pump explosion of emulsion explosive [J]. Sichuan Chemical Industry, 2021, 24(6): 43–46. doi: 10.3969/j.issn.1672-4887.2021.06.011 [2] 潮捷, 黄文尧, 吴红波, 等. 铝粉对化学敏化水胶炸药性能影响的实验研究 [J]. 工程爆破, 2021, 27(6): 110–115. doi: 10.19931/j.EB.20210059CHAO J, HUANG W Y, WU H B, et al. Study on the influence of aluminum powder on the performance of water gel explosives sensitized by chemical method [J]. Engineering Blasting, 2021, 27(6): 110–115. doi: 10.19931/j.EB.20210059 [3] 牛斌, 李仕洪. 改进型多孔粒状铵油炸药生产工艺的设计 [J]. 工程爆破, 2022, 28(4): 96–101. doi: 10.19931/j.EB.20210295NIU B, LI S H. Design of production technology of improved prilled porous ANFO [J]. Engineering Blasting, 2022, 28(4): 96–101. doi: 10.19931/j.EB.20210295 [4] 黄文尧, 牛草原, 孙宝亮, 等. 一种胶状铵胺炸药及其制备方法: CN115650809A [P]. 2023-01-31.HUANG W Y, NIU C Y, SUN B L, et al. A gelatinous ammonium-amine explosive and its preparation method: CN115650809A [P]. 2023-01-31. [5] 汪旭光. 乳化炸药 [M]. 2版. 北京: 冶金工业出版社, 2008: 3–5.WANG X G. Emulsion explosive [M]. 2nd ed. Beijing: Metallurgical Industry Press, 2008: 3–5. [6] CLARKE C, HARDING C. Methenamine as prophylaxis for recurrent urinary tract infections: an overview of the ALTAR trial [J]. Obstetrics, Gynaecology and Reproductive Medicine, 2022, 32(12): 289–290. doi: 10.1016/j.ogrm.2022.09.004 [7] 王志, 徐子帅, 王建龙, 等. 乌洛托品硝解制备黑索金过程中热安全的实验研究 [J]. 科学技术与工程, 2019, 19(3): 101–105. doi: 10.3969/j.issn.1671-1815.2019.03.017WANG Z, XU Z S, WANG J L, et al. Experimental study on thermal safety of the preparation of cyclotrimethylenetrinitramine from the nitration of urotropine [J]. Science Technology and Engineering, 2019, 19(3): 101–105. doi: 10.3969/j.issn.1671-1815.2019.03.017 [8] HOSOYA N, NISHIGUCHI K, SAITO H, et al. Chemically cross-linked gel storage for fuel to realize evaporation suppression [J]. Chemical Engineering Journal, 2022, 444: 136506. doi: 10.1016/j.cej.2022.136506 [9] YANG Y, CHEN F, CHEN Q, et al. Synthesis and characterization of grafting polystyrene from guar gum using atom transfer radical addition [J]. Carbohydrate Polymers, 2017, 176: 266–272. doi: 10.1016/j.carbpol.2017.08.081 [10] 杨策, 李洪伟, 杨赛群, 等. 生物柴油含量对现场混装乳化炸药的热分解特性和抗振动性能的影响 [J]. 含能材料, 2023, 31(5): 467–476. doi: 10.11943/CJEM2022262YANG C, LI H W, YANG S Q, et al. Effect of biodiesel on thermal decomposition characteristics and anti-vibration performance of on-site mixed emulsion explosives [J]. Chinese Journal of Energetic Materials, 2023, 31(5): 467–476. doi: 10.11943/CJEM2022262 [11] 李洪伟, 杨策, 聂华君, 等. 含不同质量分数三价铁离子乳胶基质的绝热分解研究 [J]. 安全与环境学报, 2023, 23(1): 80–86. doi: 10.13637/j.issn.1009-6094.2022.1027LI H W, YANG C, NIE H J, et al. Study on the adiabatic decomposition of emulsion matrix containing different mass fractions of ferric ions [J]. Journal of Safety and Environment, 2023, 23(1): 80–86. doi: 10.13637/j.issn.1009-6094.2022.1027 [12] 吴红波, 杨柳, 沈占军, 等. 二甲基亚砜对乳胶基质耐低温性能及热分解特性的影响 [J]. 含能材料, 2022, 30(3): 242–249. doi: 10.11943/CJEM2021176WU H B, YANG L, SHEN Z J, et al. Effect of dimethyl sulfoxide on low temperature resistance and thermal decomposition of emulsion explosive matrix [J]. Chinese Journal of Energetic Materials, 2022, 30(3): 242–249. doi: 10.11943/CJEM2021176 [13] 龚悦, 何杰, 颜事龙, 等. 铝粉粒度对乳化炸药基质热分解特性的影响 [J]. 高压物理学报, 2017, 31(2): 148–154. doi: 10.11858/gywlxb.2017.02.006GONG Y, HE J, YAN S L, et al. Effect of aluminum particle size on thermal decomposition characteristics of emulsion matrix [J]. Chinese Journal of High Pressure Physics, 2017, 31(2): 148–154. doi: 10.11858/gywlxb.2017.02.006 [14] 刘伟, 郭子如, 王洋, 等. 耐热型铵油炸药的制备及性能 [J]. 火炸药报, 2020, 43(4): 372–377. doi: 10.14077/j.issn.1007-7812.201908002LIU W, GUO Z R, WANG Y, et al. Preparation and properties of heat-resistant ammonium nitrate fuel oil explosive [J]. Chinese Journal of Explosives & Propellants, 2020, 43(4): 372–377. doi: 10.14077/j.issn.1007-7812.201908002 [15] HU Y C, CHEN Q, HU Y Y, et al. The generalized thermodynamic temperature and the new expressions of the first and the second law of thermodynamics [J]. Journal of Thermal Science, 2016, 25(1): 1–6. doi: 10.1007/s11630-016-0827-1 [16] 黄文尧, 颜事龙. 炸药化学与制造 [M]. 北京: 冶金工业出版社, 2009: 95–100.HUANG W Y, YAN S L. Explosives chemistry and production [M]. Beijing: Metallurgical Industry Press, 2009: 95–100. [17] MAITI S, KHILLAR P S, MISHRA D, et al. Physical and self-crosslinking mechanism and characterization of chitosan-gelatin-oxidized guar gum hydrogel [J]. Polymer Testing, 2021, 97: 107155. doi: 10.1016/j.polymertesting.2021.107155 [18] 冀威, 徐宇轩. 零氧平衡RDX/NC/AP/Al复合炸药的制备及其性能表征 [J]. 含能材料, 2022, 30(6): 528–534. doi: 10.11943/CJEM2021315JI W, XU Y X. Preparation and characterization of RDX/NC/AP/Al composite energetic microspheres based on zero-oxygen balance [J]. Chinese Journal of Energetic Materials, 2022, 30(6): 528–534. doi: 10.11943/CJEM2021315 [19] KAZAKOV A I, IVANOVA O G, KUROCHKINA L S, et al. Kinetics and mechanism of thermal decomposition of ammonium nitrate and sulfate mixtures [J]. Russian Journal of Applied Chemistry, 2011, 84(9): 1516–1523. doi: 10.1134/S1070427211090102 [20] 彭浩梁, 陈利平, 路贵斌, 等. 乌洛托品的热分解动力学 [J]. 含能材料, 2016, 24(5): 497–502. doi: 10.11943/j.issn.1006-9941.2016.05.012PENG H L, CHEN L P, LU G B, et al. Thermal decomposition kinetics of Urotropin [J]. Chinese Journal of Energetic Materials, 2016, 24(5): 497–502. doi: 10.11943/j.issn.1006-9941.2016.05.012 [21] VYAZOVKIN S. Is the Kissinger equation applicable to the processes that occur on cooling? [J]. Macromolecular Rapid Communications, 2002, 23(13): 771–775. doi: 10.1002/1521-3927(20020901)23:13<771::AID-MARC771>3.0.CO;2-G [22] 吴攀宇, 刘锋, 魏国, 等. 内相粒径对现场混装乳化炸药非等温热分解特性的影响 [J]. 火炸药学报, 2022, 45(2): 249–256. doi: 10.14077/j.issn.1007-7812.202105021WU P Y, LIU F, WEI G, et al. Effect of particle size of internal phase on non-isothermal thermal decomposition characteristics of field mixed emulsion explosive [J]. Chinese Journal of Explosives & Propellants, 2022, 45(2): 249–256. doi: 10.14077/j.issn.1007-7812.202105021 -

下载:



