多孔工字梁的准静态压缩稳定性及能量吸收性能

田新宇 邓庆田 李新波 宋学力 王国圣 温金鹏

田新宇, 邓庆田, 李新波, 宋学力, 王国圣, 温金鹏. 多孔工字梁的准静态压缩稳定性及能量吸收性能[J]. 高压物理学报, 2023, 37(4): 044103. doi: 10.11858/gywlxb.20230657
引用本文: 田新宇, 邓庆田, 李新波, 宋学力, 王国圣, 温金鹏. 多孔工字梁的准静态压缩稳定性及能量吸收性能[J]. 高压物理学报, 2023, 37(4): 044103. doi: 10.11858/gywlxb.20230657
TIAN Xinyu, DENG Qingtian, LI Xinbo, SONG Xueli, WANG Guosheng, WEN Jinpeng. Quasi-Static Compression Stability and Enegy Absorption Performance of Cellular I-Beam[J]. Chinese Journal of High Pressure Physics, 2023, 37(4): 044103. doi: 10.11858/gywlxb.20230657
Citation: TIAN Xinyu, DENG Qingtian, LI Xinbo, SONG Xueli, WANG Guosheng, WEN Jinpeng. Quasi-Static Compression Stability and Enegy Absorption Performance of Cellular I-Beam[J]. Chinese Journal of High Pressure Physics, 2023, 37(4): 044103. doi: 10.11858/gywlxb.20230657

多孔工字梁的准静态压缩稳定性及能量吸收性能

doi: 10.11858/gywlxb.20230657
基金项目: 国家自然科学基金委-中国工程物理研究院NSAF联合基金(U1930204);中央高校基本科研业务费专项资金 (310812163504)
详细信息
    作者简介:

    田新宇(1998-),男,硕士研究生,主要从事多孔材料与结构力学性能研究. E-mail:2021112051@chd.edu.cn

    通讯作者:

    邓庆田(1980-),男,博士,副教授,主要从事多孔材料与结构力学性能研究. E-mail:dengqt@chd.edu.cn

  • 中图分类号: O347.2

Quasi-Static Compression Stability and Enegy Absorption Performance of Cellular I-Beam

  • 摘要: 轻量化多孔工字梁在外部荷载作用下具有优异的能量吸收特性。提出用胞元腹板代替实心腹板设计胞元腹板工字梁结构,基于方胞元、蜂窝胞元、内凹胞元和圆胞元4种胞元类型与方形、蜂窝、内凹和圆形4种腹板开孔孔型进行组合并设计构型。通过实验和有限元分析研究不同胞元类型和腹板开孔类型对工字梁压缩性能和能量吸收性能的影响。结果表明:胞元类型和腹板开孔类型对工字梁的压缩性能具有显著影响,方胞元工字梁的极限承载力最高,蜂窝胞元工字梁的吸能性能最好,而圆胞元工字梁的承载力和吸能性能较差,负泊松比胞元会使薄壁工字梁的失稳变形模式发生明显改变,内凹胞元能有效抑制工字梁发生向腹板两侧错位挤压失稳的趋势。

     

  • 图  方形开孔的方胞元腹板工字梁建模流程

    Figure  1.  Modeling flow chart of square cell web I-beam with square openings

    图  胞元及腹板开孔尺寸

    Figure  2.  Dimension of cell and web openings

    图  部分胞元腹板工字梁打印试件示意图

    Figure  3.  Schematic diagram of some cell web I-beam printing specimens

    图  实验装置(a)及PLA材料的名义应力-应变曲线(b)

    Figure  4.  Experimental device (a) and nominal stress-strain curves of PLA material (b)

    图  实验装置示意图

    Figure  5.  Schematic diagram of the experimental device

    图  有限元模型

    Figure  6.  Finite element model

    图  A2结构力-位移曲线及总能量吸收

    Figure  7.  Force-displacement curve and total energy absorption of A2 structure

    图  实心腹板工字梁实验与模拟变形的对比

    Figure  8.  Comparison of experimental and simulated deformations of solid web I-beams

    图  方胞元腹板工字梁实验与模拟变形的对比

    Figure  9.  Comparison of experimental and simulated deformation of square cell web I-beam

    图  10  蜂窝胞元腹板工字梁实验与模拟变形的对比

    Figure  10.  Comparison of experimental and simulated deformation of honeycomb cell web I-beam

    图  11  内凹胞元腹板工字梁实验与模拟变形的对比

    Figure  11.  Comparison of experimental and simulated deformation of concave cell web I-beam

    图  12  圆胞元腹板工字梁实验与模拟变形的对比

    Figure  12.  Comparison of experimental and simulated deformation of circular cell web I-beams

    图  13  多孔工字梁实验和数值模拟荷载-位移曲线

    Figure  13.  Experimental and simulation displacement-load curves of cellular I-beams

    图  14  多孔工字梁的荷载-位移曲线

    Figure  14.  Load-displacement curves of cellular I-beams

    图  15  实验得到的多孔工字梁的变形

    Figure  15.  Deformation of cellular I-beam during experiment

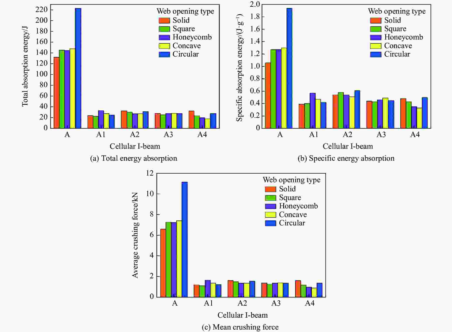
    图  16  多孔工字梁的吸能及平均压溃力

    Figure  16.  Energy absorption and average crushing force of cellular I-beams

  • [1] 王子豪, 郑航, 文鹤鸣. 金属材料在极高应变率下的力学性能测试 [J]. 高压物理学报, 2020, 34(2): 024102.

    WANG Z H, ZHENG H, WEN H M. Determination of the mechanical properties of metals at very high strain rates [J]. Chinese Journal of High Pressure Physics, 2020, 34(2): 024102.
    [2] 薛淑友, 郝洪, 郝逸飞. 预制混凝土节段拼装桥墩抗车撞性能数值研究 [J]. 工程力学, 2023, 40(7): 59–74.

    XUE S Y, HAO H, HAO Y F. Numerical investigation for impact performance of precast concrete segment piers subjected to vehicle collision [J]. Engineering Mechanics, 2023, 40(7): 59–74.
    [3] GUO C H, MAO J, XIE M. Study on energy absorption characteristics of aluminum foam composite anti-collision rod [J]. Journal of the Brazilian Society of Mechanical Sciences and Engineering, 2022, 44: 266. doi: 10.1007/s40430-022-03577-w
    [4] 李兆凯, 马正东, 李亦文, 等. 新型点阵夹层防撞梁与负泊松比吸能盒复合总成开发与吸能性能 [J]. 中国公路学报, 2021, 34(9): 322–334.

    LI Z K, MA Z D, LI Y W, et al. Development and energy-absorption performance of a novel composite assembly consisting of a lattice sandwich anti-collision beam and crash box with negative Poisson’s ratio [J]. China Journal of Highway and Transport, 2021, 34(9): 322–334.
    [5] KITAZONO K, TADA R, SUGIYAMA Y, et al. Impact energy absorbing system for space lander using hemispherical open-cell porous aluminum [J]. Materials Science Forum, 2018, 933: 337–341. doi: 10.4028/www.scientific.net/MSF.933.337
    [6] LAWSON R M, LIM J, HICKS S J. Design of composite asymmetric cellular beams and beams with large webopenings [J]. Journal of Constructional Steel Research, 2006, 62(6): 614–629. doi: 10.1016/j.jcsr.2005.09.012
    [7] 王宝芹, 王沫楠, 刘长喜. 基于多尺度方法的蜂窝夹层复合材料结构轴向压缩稳定性 [J]. 复合材料学报, 2020, 37(3): 601–608.

    WANG B Q, WANG M N, LIU C X. Stability of honeycomb sandwich composite structure under axial compression based on multi-scale method [J]. Acta Materiae Compositae Sinica, 2020, 37(3): 601–608.
    [8] YAN Q Y, CHENG Y, WANG R R, et al. Recent advances in 3D porous MXenes: structures, properties and applications [J]. Journal of Physics D: Applied Physics, 2022: 55(9): 093001. doi: 10.1088/1361-6463/ac2db2
    [9] 吴斌, 唐鼎承, 贺小帆, 等. 激光金属沉积TA15钛合金工字梁疲劳性能研究 [J]. 稀有金属, 2022, 46(5): 545–553.

    WU B, TANG D C, HE X F, et al. Fatigue behavior of laser metal deposition TA15 titanium alloy universal beam [J]. Chinese Journal of Rare Metals, 2022, 46(5): 545–553.
    [10] 任鑫, 张相玉, 谢亿民. 负泊松比材料和结构的研究进展 [J]. 力学学报, 2019, 51(3): 656–687.

    REN X, ZHANG X Y, XIE Y M. Research progress in auxetic materials and structures [J]. Chinese Journal of Theoretical and Applied Mechanics, 2019, 51(3): 656–687.
    [11] 姚永永, 苏步云, 肖革胜, 等. 内凹负泊松比蜂窝结构的面内双轴冲击响应 [J]. 高压物理学报, 2021, 35(2): 024201.

    YAO Y Y, SU B Y, XIAO G S, et al. In-plane biaxial impact response of concave negative Poisson’s Ratio honeycomb structures [J]. Chinese Journal of High Pressure Physics, 2021, 35(2): 024201.
    [12] 蒋田勇, 徐沐鑫, 耿森, 等. 考虑腹板焊缝损伤的正六边形蜂窝梁变形性能与挠度计算研究 [J/OL]. 工程力学, (2023-04-01) [2023-05-05]. http://engineeringmechanics.cn/to_advance_search. DOI: 10.6052/j. issn. 1000-4750.2022. 04.0382.

    JIANG T Y, XU M X, GENG S, et al. Calculation of deformation behavior and deflection of regular hexagonal castellated beams considering web weld damage [J/OL]. Engineering Mechanics, (2023-04-01) [2023-05-05]. http://engineeringmechanics.cn/to_advance_search. DOI: 10.6052/j.issn.1000-4750.2022.04.0382.
    [13] PIEKŁO J, MAŁYSZA M, DAŃKO R. Modelling of the material destruction of vertically arranged honeycomb cellular structure [J]. Archives of Civil and Mechanical Engineering, 2018, 18(4): 1300–1308. doi: 10.1016/j.acme.2018.03.007
    [14] 刘金磊, 朱南海. 基于拓扑优化的H型钢梁腹板截面轻量化设计 [J]. 应用力学学报, 2021, 38(6): 2275–2283.

    LIU J L, ZHU N H. The lightweight design of H-beam web section based on topology optimization [J]. Chinese Journal of Applied Mechanics, 2021, 38(6): 2275–2283.
    [15] XIAO Y, ZANG M, LI Z. Effects of aluminum honeycomb filler on crashworthiness of CFRP thin-walled beams under dynamic impact [J]. International Journal of Crashworthiness, 2021, 27(4): 1–10.
    [16] YUAN G, HUANG H W. Energy absorption characteristics and optimization of three-beam star honeycomb [J]. Mechanice of Advanced Materials and Structures, 2022, 30(8): 1559–1573.
    [17] 贾连光, 杜明坎, 回锋, 等. 六边形孔蜂窝梁和蜂窝组合梁抗剪性能分析 [J]. 工程力学, 2016, 33(1): 81–87.

    JIA L G, DU M K, HUI F, et al. Analysis of shear behavior of hexagon hole cellular beam and cellular composite beam [J]. Engineering Mechanics, 2016, 33(1): 81–87.
    [18] ECONOMIDOU S N, DOUROUMIS D. 3D printing as a transformative tool for microneedle systems: recent advances, manufacturing considerations and market potential [J]. Advanced Drug Delivery Reviews, 2021, 173: 60–69. doi: 10.1016/j.addr.2021.03.007
    [19] 沈春燕, 方海, 祝露, 等. 波纹腹板增强泡沫夹芯复合材结构准静态压缩吸能特性 [J]. 工程力学, 2023, 40(1): 121–131.

    SHEN C Y, FANG H, ZHU L, et al. Energy-absorption properties of corrugated web reinforced foam core sandwich composite under quasi-static compression [J]. Engineering Mechanics, 2023, 40(1): 121–131.
  • 加载中
图(16)
计量
  • 文章访问数:  592
  • HTML全文浏览量:  300
  • PDF下载量:  34
出版历程
  • 收稿日期:  2023-05-05
  • 修回日期:  2023-05-22
  • 录用日期:  2023-07-12
  • 刊出日期:  2023-09-01

目录

    /

    返回文章
    返回