基于复合压电效应的PVDF传感器测量性能调控

谢林 刘迎彬 范志强 胡晓艳

谢林, 刘迎彬, 范志强, 胡晓艳. 基于复合压电效应的PVDF传感器测量性能调控[J]. 高压物理学报, 2023, 37(4): 043401. doi: 10.11858/gywlxb.20230645
引用本文: 谢林, 刘迎彬, 范志强, 胡晓艳. 基于复合压电效应的PVDF传感器测量性能调控[J]. 高压物理学报, 2023, 37(4): 043401. doi: 10.11858/gywlxb.20230645
XIE Lin, LIU Yingbin, FAN Zhiqiang, HU Xiaoyan. Measurement Performance Regulation of PVDF Sensor Based on Composite Piezoelectricity[J]. Chinese Journal of High Pressure Physics, 2023, 37(4): 043401. doi: 10.11858/gywlxb.20230645
Citation: XIE Lin, LIU Yingbin, FAN Zhiqiang, HU Xiaoyan. Measurement Performance Regulation of PVDF Sensor Based on Composite Piezoelectricity[J]. Chinese Journal of High Pressure Physics, 2023, 37(4): 043401. doi: 10.11858/gywlxb.20230645

基于复合压电效应的PVDF传感器测量性能调控

doi: 10.11858/gywlxb.20230645
基金项目: 国家自然科学基金(12072326,12002319);省部共建动态测试技术国家重点实验室开放基金(2022-SYSJJ-06)
详细信息
    作者简介:

    谢 林(1998-),男,硕士研究生,主要从事爆炸冲击波测试研究. E-mail:1562176547@qq.com

    通讯作者:

    刘迎彬(1985-),男,博士,副教授,主要从事弹药毁伤与安全防护研究. E-mail:ybliu@nuc.edu.cn

  • 中图分类号: O347.4

Measurement Performance Regulation of PVDF Sensor Based on Composite Piezoelectricity

  • 摘要: 为探索低强度冲击波下的柔性测量技术,基于8 mm孔径柔性基底,对聚偏二氟乙烯(polyvinylidene difluoride,PVDF)传感器开展激波管标定实验,根据实验结果,采用不同粘贴方式为PVDF传感器增加不同厚度的阻尼层,加载不同强度的冲击波后,从信号脉宽、灵敏度系数、过冲信号幅值等方面评估传感器的可靠性。然后加载窄脉宽冲击波验证设计的传感器能适应不同脉宽冲击波的测量。实验结果表明:添加阻尼层能够大幅降低过冲信号幅值,提高传感器测量信号脉宽,提升传感器的频响。STS-400(single-side thickened sensor-400)型传感器在两种脉宽信号加载下均得到较好的测试结果,相对测量误差不大于±12%。对比两种脉宽冲击波加载下的信号发现,PVDF薄膜传感器更适合测试脉宽在10 ms以内的信号。设计的新型PVDF传感器可为测量爆炸冲击波信号提供思路。

     

  • 图  PVDF压电传感器工作示意图

    Figure  1.  Schematic diagram of PVDF sensor working principle

    图  标定实验设备

    Figure  2.  Calibration of experimental equipment

    图  加厚传感器结构

    Figure  3.  Structure of thickening sensor and each sensor

    图  PVDF传感器标定结果

    Figure  4.  Calibration results of PVDF sensor

    图  STS-100传感器标定结果

    Figure  5.  Calibration results of STS-100 sensor

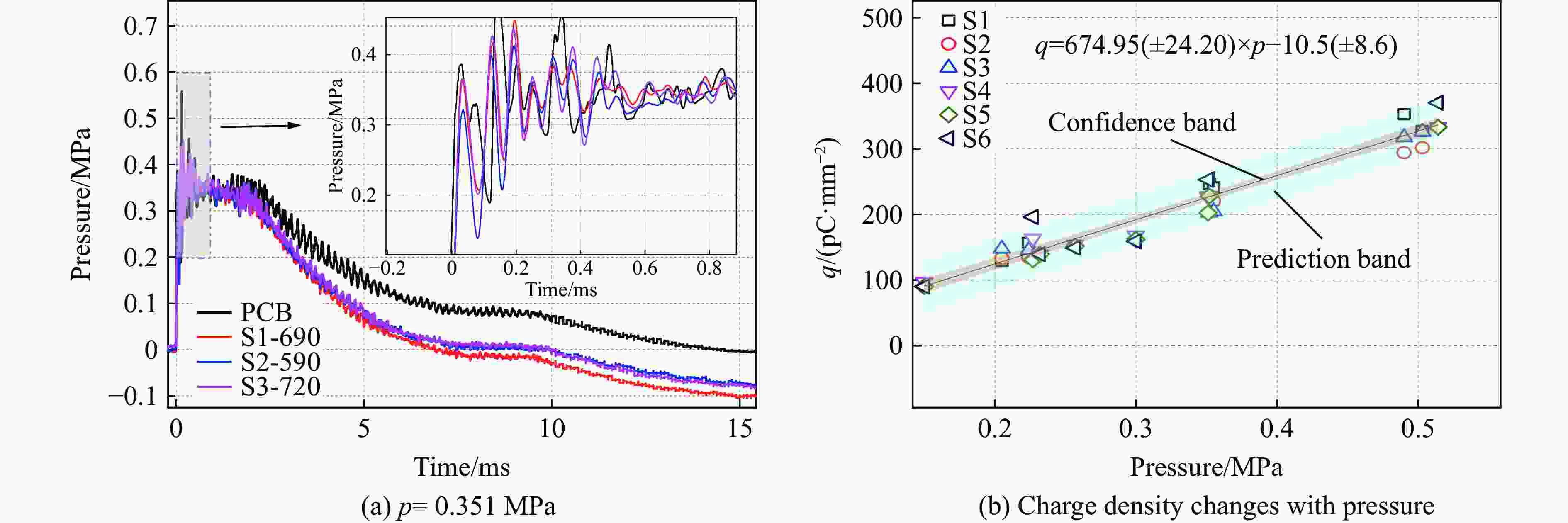
    图  DATS-300传感器标定结果

    Figure  6.  Calibration results of DATS-300 sensor

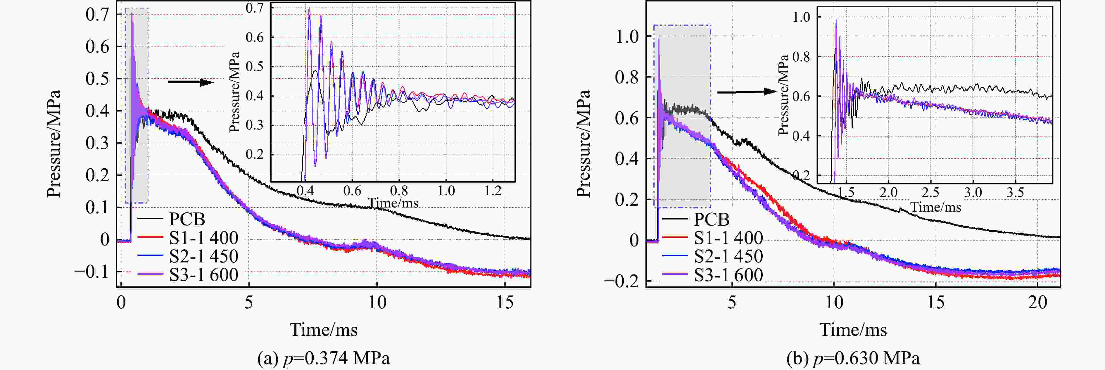
    图  STS-400型传感器标定结果

    Figure  7.  Calibration results of STS-400 sensor

    图  DAST-300型传感器窄脉宽信号标定结果

    Figure  8.  Calibration results of DAST-300 sensor with narrow pulse width signal

    图  STS-400型传感器窄脉宽信号标定结果

    Figure  9.  Calibration results of DAST-400 sensor with narrow pulse width signal

  • [1] 伞海生, 宋子军, 王翔,等. 适用于恶劣环境的MEMS压阻式压力传感器 [J]. 光学精密工程, 2012, 20(3): 550–555. doi: 10.3788/OPE.20122003.0550

    SAN H S, SONG Z J, WANG X, et al. Piezo-resistive pressure sensors for harsh environments [J]. Optics and Precision Engineering, 2012, 20(3): 550–555. doi: 10.3788/OPE.20122003.0550
    [2] HEIDARI H. Electronic skins with a global attraction [J]. Nature Electronics, 2018, 1(11): 578-579.
    [3] ESKRIDGE S L, MACERA C A, GALARNEAU M R, et al. Injuries from combat explosions in Iraq: injury type, location, and severity [J]. Injury-International Journal of the Care of the Injured, 2012, 43(10): 1678–1682. doi: 10.1016/j.injury.2012.05.027
    [4] PANG C, LEE C, SUH K Y. Recent advances in flexible sensors for wearable and implantable devices [J]. Journal of Applied Polymer Science, 2013, 130(3): 1429–1441. doi: 10.1002/app.39461
    [5] CHEN J, LIU T. Technology advances in flexible displays and substrates [J]. IEEE Access, 2013, 1: 150–158. doi: 10.1109/ACCESS.2013.2260792
    [6] 郭旭东, 葛斌, 王文兴. 无线供能式微型植入式压力检测系统 [J]. 生物医学工程学杂志, 2013, 30(4): 724–729.

    GUO X D, GE B, WANG W X. Wireless power supply miniature implantable pressure detection system [J]. Journal of Biomedical Engineering, 2013, 30(4): 724–729.
    [7] 周剑, 侯占强, 肖定邦. 极端环境下压力传感器的研究进展 [J]. 国防科技, 2015, 36(4): 15–19.

    ZHOU J, HOU Z Q, XIAO D B. Review on pressure sensors in harsh environment [J]. National Defense Science and Technology, 2015, 36(4): 15–19.
    [8] 蔡军锋, 易建政, 檀朝彬, 等. PVDF压电传感器在爆炸冲击波测量中的应用 [J]. 传感器世界, 2005, 11(3): 13–15.

    CAI J F, YI J Z, TAN C B, et al. Application of PVDF piezoelectric film sensor to explosive blast wave measurements [J]. Sensor World, 2005, 11(3): 13–15.
    [9] 张向阳, 徐景茂, 陈安敏, 等. PVDF压电传感器在模型化爆中的应用[J]. 计量与测试技术, 2009, 36(12): 29−31.

    ZHANG X Y, XU J M, CHEN A M, et al. Application of PVDF piezoelectric pressure sensor in chemical explosion model test [J].Metrology & Measurement Technique, 2009, 36(12): 29−31.
    [10] 张安跃, 唐志平, 郑航. PVDF压力传感器的冲击压电特性研究 [J]. 实验力学, 2009, 24(3): 70–76.

    ZHANG A Y, TANG Z P, ZHENG H. A study of impact piezoelectric property of PVDF stress gauges [J]. Journal of Experimental Mechanics, 2009, 24(3): 70–76.
    [11] GUO R, ZHANG H L, CAO S L, et al. A self-powered stretchable sensor fabricated by serpentine PVDF film for multiple dynamic monitoring [J]. Materials and Design, 2019, 182: 108025. doi: 10.1016/j.matdes.2019.108025
    [12] WANG G, LIU T, SUN X C, et al. Flexible pressure sensor based on PVDF nanofiber [J]. Sensors and Actuators A: Physical, 2018, 280: 319–325. doi: 10.1016/j.sna.2018.07.057
    [13] KOH A, KANG D, XUE Y, et al. A soft, wearable microfluidic device for the capture, storage, and colorimetric sensing of sweat [J]. Science Translational Medicine, 2016, 8(366): 366165.
    [14] 杨军, 张力, 李新良. 动态计量技术发展中的几个关键问题 [J]. 计测技术, 2021, 41(2): 8–21.

    YANG J, ZHANG L, LI X L. Several primary problems in the development of dynamic metrology [J]. Metrology & Measurement Technology, 2021, 41(2): 8–21.
    [15] SVETE A, KUTIN J. Identifying the high-frequency response of a piezoelectric pressure measurement system using a shock tube primary method [J]. Mechanical Systems and Signal Processing, 2022, 162: 108014. doi: 10.1016/j.ymssp.2021.108014
    [16] 杨军, 薛斌. 激波管管长对阶跃压力波形的影响分析[J]. 振动与冲击, 2019, 38(3): 252−257.

    YANG J, XUE B. Effects of shock tube length on step pressure waveform [J]. Journal of Vibration and Shock, 2019, 38(3): 252−257.
    [17] 杨凡, 孔德仁, 姜波, 等. 基于激波管校准的冲击波压力传感器动态特性研究[J]. 南京理工大学学报, 2017, 41(3): 330−336.

    YANG F, KONG D R, JIANG B, et al. Dynamic characteristic of shock wave pressure sensor based on shock tube calibration [J].Journal of Nanjing University of Science and Technology, 2017, 41(3): 330−336.
    [18] 孙艳馥, 王欣. 爆炸冲击波对人体损伤与防护分析 [J]. 火炸药学报, 2008, 31(4): 50–53.

    SUN Y F, WANG X. Analysis of human body injury due to blast wave and protection method [J]. Chinese Journal of Explosives & Propellants, 2008, 31(4): 50–53.
    [19] 方小星, 朱志宇, 张冰, 等. 基于探测性能的舰载雷达电磁兼容分析 [J]. 现代雷达, 2016, 38(2): 6–10.

    FANG X X, ZHU Z Y, ZHANG B, et al. Electromagnetic compatibility analysis of ship-borne radar based on radar detection performance [J]. Modern Radar, 2016, 38(2): 6–10.
    [20] 范志强, 常瀚林, 何天明, 等. 基于PVDF复合压电效应的低强度冲击波柔性测量 [J]. 爆炸与冲击, 2023, 43(1): 013102.

    FAN Z Q, CHANG H L, HE T M, et al. Low intensity shock wave flexibility measurement based on PVDF composite piezoelectric effect [J]. Explosion and Shock Waves, 2023, 43(1): 013102.
    [21] 邓禹. 谐振电路在信号合路中的应用 [J]. 集成电路应用, 2020, 37(5): 154–156.

    DENG Y. The application of resonant circuit in signal combination [J]. Applications of IC, 2020, 37(5): 154–156.
    [22] 吴如兆. 高频冲击波测量专用压力传感器研究 [D]. 上海: 复旦大学, 2010.

    WU R Z. Research on special pressure sensor for high frequency shock wave measurement [D]. Shanghai: Fudan University, 2010.
  • 加载中
图(9)
计量
  • 文章访问数:  1213
  • HTML全文浏览量:  372
  • PDF下载量:  49
出版历程
  • 收稿日期:  2023-04-20
  • 修回日期:  2023-06-13
  • 网络出版日期:  2023-08-08
  • 刊出日期:  2023-09-01

目录

    /

    返回文章
    返回