Density Generalized Function Theory Study on New MAX Phase M2SeC (M=Zr, Hf) under High Pressure
-
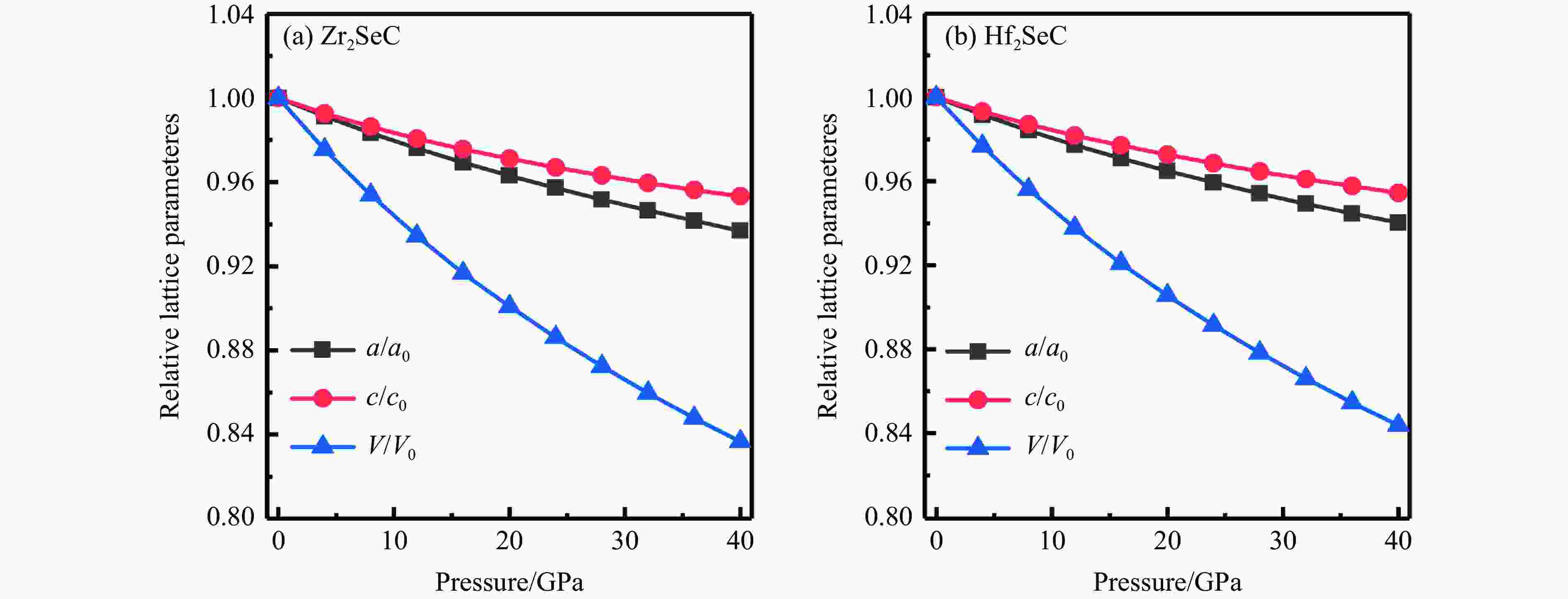
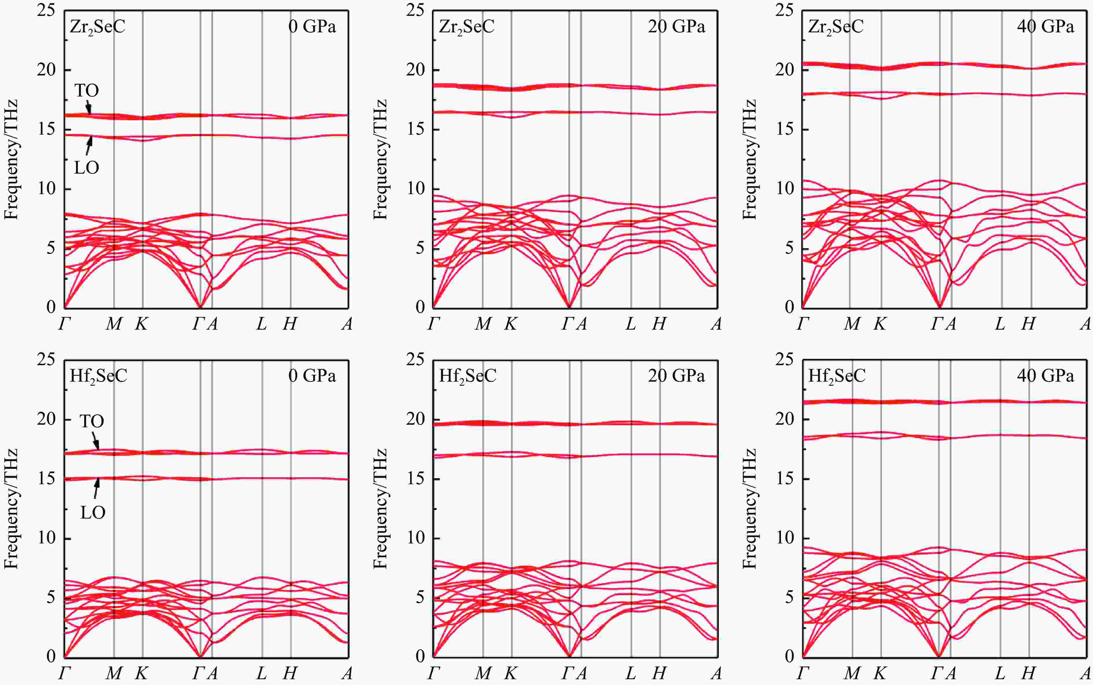
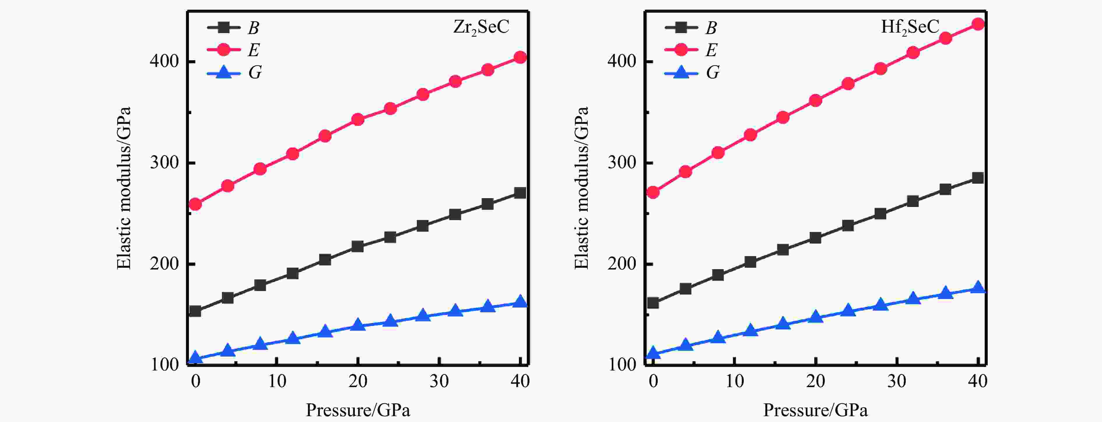
摘要: 基于密度泛函理论的第一性原理,研究了压力对新型MAX相Zr2SeC和Hf2SeC晶体结构、弹性、电子和热力学性质的影响。弹性常数和声子计算表明,两种化合物在0~40 GPa压力范围内具有稳定结构。与大多数MAX相不同,Zr2SeC和Hf2SeC沿a轴方向比沿c轴方向更容易被压缩,外部压力对Zr2SeC晶体结构的影响比Hf2SeC更显著。电子结构计算表明,Zr2SeC和Hf2SeC具有金属性质,压力的升高降低了Zr2SeC和Hf2SeC在费米能级处的电子态密度,因此提高了Zr2SeC和Hf2SeC的稳定性。此外,弹性模量、泊松比和各向异性指数等均随着压力的升高而增大。在0~40 GPa压力范围内,相同压力下Hf2SeC的弹性模量大于Zr2SeC,表明高压下Hf2Se具有比Zr2SeC更强的抗断裂和抗变形能力。热力学性质计算表明,Zr2SeC和Hf2SeC在0~40 GPa压力范围内具有较高的熔化温度。Abstract: The effects of pressure on the crystal structure, elasticity, electronic and thermodynamic properties of the new MAX phases Zr2SeC and Hf2SeC were investigated by employing the first principle of density generalized function theory. Elastic constants and phonon calculations show that both compounds have stable structure in the pressure range of 0–40 GPa. Unlike most MAX phases, Zr2SeC and Hf2SeC are more easily compressed along the a-axis than along the c-axis, and the effect of external pressure on the crystal structure of Zr2SeC is more significant than Hf2SeC. Electronic structure calculations show that Zr2SeC and Hf2SeC have metallic properties, and the electronic density of states at the Fermi energy level decrease gradually with increasing pressure, thus improving the stability of Zr2SeC and Hf2SeC. In addition, the elastic modulus, the Poisson’s ratio and the anisotropy index show an enhancement with increasing pressure. In the pressure range of 0–40 GPa, the elastic modulus of Hf2SeC is greater than that of Zr2SeC at the same pressure, indicating that Hf2SeC has stronger resistance to fracture and deformation than Zr2SeC at high pressure. Thermodynamic property calculations show that Zr2SeC and Hf2SeC have higher melting temperatures in the pressure range of 0–40 GPa.
-
Key words:
- M2SeC /
- high pressure /
- first principles /
- crystal structure /
- electronic structure
-
表 1 Zr2SeC和Hf2SeC的结构参数
Table 1. Structural parameters of Zr2SeC and Hf2SeC
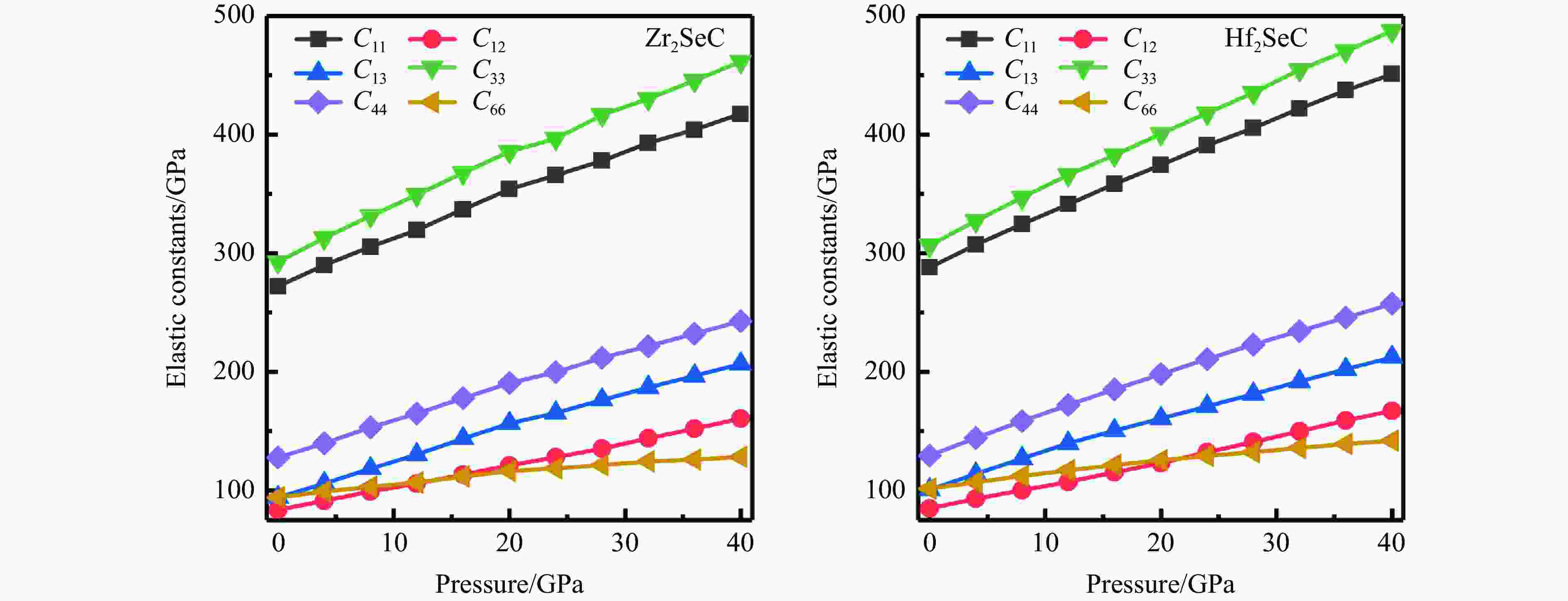
表 2 M2SeC的弹性常数和弹性模量随压力的变化
Table 2. Elastic constant and elastic moduli change of M2SeC with pressure
M2AX Pressure/GPa C11/GPa C12/GPa C13/GPa C33/GPa C44/GPa B/GPa G/GPa E/GPa Zr2SeC 0
4
8
12
16
20
24
28
32
36
40272
290
305
320
337
354
366
378
393
404
41784
91
99
106
113
121
128
135
144
152
16194
106
118
130
144
157
165
176
187
197
207293
313
331
349
368
386
397
416
430
446
462128
140
153
165
178
191
200
212
222
232
243153
166
179
191
204
217
227
238
249
259
270106
113
120
126
132
139
143
148
153
157
162259
277
294
309
326
343
354
368
381
392
404Hf2SeC 0
4
8
12
16
20
24
28
32
36
40288
307
325
341
358
374
391
406
422
437
45185
93
100
107
115
123
132
141
150
159
167101
114
127
140
150
161
171
181
192
202
212307
327
347
366
383
401
418
435
454
470
487129
144
159
172
185
198
211
223
234
246
257161
176
189
202
214
226
238
250
262
274
285111
119
126
133
140
147
153
159
165
170
176271
291
310
328
345
362
378
393
409
423
437表 3 0~40 GPa压力下M2SeC的横向声速、纵向声速、平均声速和德拜温度
Table 3. Transverse, longitudinal, mean sound velocities, and Debye’s temperaturefor the M2SeC phase at 0–40 GPa pressure
M2AX Pressure/GPa vt/(km·s−1) vl/(km·s−1) vm/(km·s−1) $\varTheta_{\rm{D}} $/K Tm/K Ref. Zr2SeC 0
4
8
12
16
20
24
28
32
36
403.935
4.013
4.079
4.132
4.200
4.263
4.289
4.335
4.372
4.402
4.4376.555
6.714
6.859
6.979
7.125
7.260
7.331
7.432
7.527
7.604
7.6924.353
4.441
4.517
4.578
4.654
4.726
4.756
4.809
4.852
4.886
4.926508.8
523.4
536.3
547.2
560.0
571.9
578.8
588.3
596.4
603.4
611.11 609
1 693
1 767
1 837
1 916
1 995
2 046
2 113
2 178
2 237
2 299Hf2SeC 0
4
8
12
16
20
24
28
32
36
403.083
3.156
3.218
3.273
3.325
3.374
3.419
3.458
3.498
3.531
3.5645.149
5.289
5.412
5.523
5.624
5.719
5.811
5.893
5.979
6.056
6.1273.412
3.493
3.563
3.625
3.683
3.738
3.790
3.833
3.879
3.917
3.954403.6
416.5
427.8
438.2
447.9
457.1
465.9
473.5
481.4
488.3
495.01 678
1 767
1 848
1 927
2 003
2 078
2 154
2 224
2 301
2 371
2 438Zr2AlC 0 4.22 6.89 4.66 544 [51] Hf2AlC 0 3.38 5.50 3.73 439 [52] -
[1] BARSOUM M W. The M N+1AXN phases: a new class of solids: thermodynamically stable nanolaminates [J]. Progress in Solid State Chemistry, 2000, 28(1): 201–281. [2] WANG X H, ZHOU Y C. Layered machinable and electrically conductive Ti2AlC and Ti3AlC2 ceramics: a review [J]. Journal of Materials Science and Technology, 2010, 26(5): 385–416. [3] EKLUND P, BECKERS M, JANSSON U, et al. The M n+1AXn phases: materials science and thin-film processing [J]. Thin Solid Films, 2010, 518: 1851–1878. doi: 10.1016/j.tsf.2009.07.184 [4] BARSOUM M W, EL-RAGHY T. The MAX phases: unique new carbide and nitride materials [J]. American Scientist, 2001, 89: 334–343. doi: 10.1511/2001.28.736 [5] BARSOUM M W, EL-RAGHY T. Synthesis and characterization of a remarkable ceramic: Ti3SiC2 [J]. Journal of the American Ceramic Society, 1996, 79: 1953–1956. doi: 10.1111/j.1151-2916.1996.tb08018.x [6] TZENOV N V, BARSOUM M W. Synthesis and characterization of Ti3AlC2 [J]. Journal of the American Ceramic Society, 2000, 83(4): 825–832. [7] HAJAS D E, TO BABEN M, HALLSTEDT B, et al. Oxidation of Cr2AlC coatings in the temperature range of 1 230 to 1 410 °C [J]. Surface and Coatings Technology, 2011, 206(4): 591–598. doi: 10.1016/j.surfcoat.2011.03.086 [8] SMIALEK J L. Oxidation of Al2O3 scale-forming MAX phases in turbine environments [J]. Metallurgical and Materials Transactions A, 2018, 49: 782–792. doi: 10.1007/s11661-017-4346-9 [9] FU J, ZHANG T F, XIA Q X, et al. Oxidation and corrosion behavior of nanolaminated MAX-phase Ti2AlC film synthesized by high-power impulse magnetron sputtering and annealing [J]. Journal of Nanomaterials, 2015, 16: 411. [10] GUPTA S, FILIMONOV D A, PALANISAMY T G, et al. Tribological behavior of select MAX phases against Al2O3 at elevated temperatures [J]. Wear, 2008, 265: 560–565. doi: 10.1016/j.wear.2007.11.018 [11] HOPFELD M, GRIESELER R, VOGEL A, et al. Tribological behavior of selected M n+1AXn phase thin films on silicon substrates [J]. Surface and Coatings Technology, 2014, 257: 286–294. [12] SHEIN I R, IVANOVSKII A L. Elastic properties of superconducting MAX phases from first-principles calculations [J]. Physica Status Solidi B. Basic Research, 2010, 248(1): 228–232. [13] LEE W E, GIORGI E, HARRISON R, et al. Nuclear applications for ultra-high temperature ceramics and MAX phases [M]//FAHRENHOLTZ W G, WUCHINA E J, LEE W E. Ultra-High Temperature Ceramics: Materials for Extreme Environment Applications. The American Ceramic Society, 2014. [14] SUN D D, HU Q K, CHEN J F, et al. Structural transformation of MXene (V2C, Cr2C, and Ta2C) with O groups during lithiation: a first-principles investigation [J]. ACS Applied Materials and Interfaces, 2015, 8(1): 74–81. [15] LIN Z, BARBARA D, TABEMA P-L, et al. Capacitance of Ti3C2Tx MXene in ionic liquid electrolyte [J]. Journal of Power Sources, 2016, 326: 575–579. doi: 10.1016/j.jpowsour.2016.04.035 [16] WANG Y H, MA C, MA W Q, et al. Enhanced low-temperature Li-ion storage in MXene titanium carbide by surface oxygen termination [J]. 2D Materials, 2019, 6(4): 045025. doi: 10.1088/2053-1583/ab30f9 [17] LAPAUW T, TUNCA B, CABIOCH T, et al. Synthesis of MAX phases in the Hf-Al-C system [J]. Inorganic Chemistry, 2016, 55(21): 10922–10927. [18] PIECHOWIAK M A, HENON J, DURAND-PANTEIX O, et al. Growth of dense Ti3SiC2 MAX phase films elaborated at room temperature by aerosol deposition method [J]. Journal of the European Ceramic Society, 2014, 34(5): 1063–1072. doi: 10.1016/j.jeurceramsoc.2013.11.019 [19] MOCKUTE A, PERSSON P O Å, MAGNUS F, et al. Synthesis and characterization of arc deposited magnetic (Cr, Mn)2AlC MAX phase films [J]. Physica Status Solidi, 2014, 8(5): 420–423. [20] HOFFMAN E N, VINSON D W, SINDELAR R L, et al. MAX phase carbides and nitrides: properties for future nuclear power plant in-core applications and neutron transmutation analysis [J]. Nuclear Engineering and Design, 2012, 244: 17–24. doi: 10.1016/j.nucengdes.2011.12.009 [21] ROMEO M, ESCAMILLA R. Pressure effect on the structural, elastic and electronic properties of Nb2AC (A=S and In) phases; ab initio study [J]. Computational Materials Science, 2014, 81: 184–190. doi: 10.1016/j.commatsci.2013.08.010 [22] ROMEO M, ESCAMILLA R. First-principles calculations of structural, elastic and electronic properties of Nb2SnC under pressure [J]. Computational Materials Science, 2012, 55: 142–146. doi: 10.1016/j.commatsci.2011.11.038 [23] BOUHEMADOU A, KHENATA R, KHAROUBI M, et al. First-principles study of structural and elastic properties of Sc2AC (A=Al, Ga, In, Tl) [J]. Solid State Communications, 2008, 146(3): 175–180. [24] BOUHEMADOU A. Calculated structural and elastic properties of M2InC (M=Sc, Ti, V, Zr, Nb, Hf, Ta) [J]. Modern Physics Letters B, 2008, 22(22): 2063–2076. doi: 10.1142/S0217984908016807 [25] BOUHEMADOU A. Structural, electronic and elastic properties of MAX phases M2GaN (M = Ti, V and Cr) [J]. Solid State Sciences, 2009, 11: 1875–1881. doi: 10.1016/j.solidstatesciences.2009.08.002 [26] PENG M J, WANG R F, WU Y J, et al. Elastic anisotropies, thermal conductivities and tensile properties of MAX phases Zr2AlC and Zr2AlN: a first-principles calculation [J]. Vacuum, 2022, 196: 110715. doi: 10.1016/j.vacuum.2021.110715 [27] UDDIN M, ALI M A, HOSSAIN M M, et al. Comparative study of predicted MAX phase Hf2AlN with recently synthesized Hf2AlC: a first principle calculations [J]. Indian Journal of Physics, 2022, 96(5): 1321–1333. doi: 10.1007/s12648-021-02050-z [28] MIAO N X, WANG J J, GONG Y T, et al. Computational prediction of boron-based MAX phases and MXene derivatives [J]. Chemistry of Materials, 2020, 32(16): 6947–6957. [29] LUO F, GUO Z C, ZHANG X L, et al. Ab initio predictions of structural and thermodynamic properties of Zr2AlC under high pressure and high temperature [J]. Chinese Journal of Chemical Physics, 2015, 28(3): 263–268. doi: 10.1063/1674-0068/28/cjcp1503032 [30] FU H Z, TENG M, LIU W F, et al. The axial compressibility, thermal expansion and elastic anisotropy of Hf2SC under pressure [J]. The European Physical Journal B-Condensed Matter and Complex Systems, 2010, 78(1): 37–42. doi: 10.1140/epjb/e2010-10332-5 [31] QURESHI M W, MA X X, TANG G Z, et al. Structural stability, electronic, mechanical, phonon, and thermodynamic properties of the M2GaC (M=Zr, Hf) MAX phase: an ab initio calculation [J]. Materials, 2020, 13(22): 1–18. [32] ALI M A, QURESHI M W. Newly synthesized MAX phase Zr2SeC: DFT insights into physical properties towards possible applications [J]. RSC Advances, 2021, 11: 16892–16905. doi: 10.1039/D1RA02345D [33] ALI M A, QURESHI M W. DFT insights into the new Hf-based chalcogenide MAX phase Hf2SeC [J]. Vacuum, 2022, 201: 111072. doi: 10.1016/j.vacuum.2022.111072 [34] KRESSE G, FURTHMÜLLER J. Efficient iterative schemes for ab initio total-energy calculations using a plane-wave basis set [J]. Physical Review B, 1996, 54(16): 11169–11186. doi: 10.1103/PhysRevB.54.11169 [35] KRESSE G, HAFNER J. Ab initio molecular dynamics for open-shell transition metals [J]. Physical Review B, 1993, 48(17): 13115–13118. doi: 10.1103/PhysRevB.48.13115 [36] BLÖCHL P E. Projector augmented-wave method [J]. Physical Review B, 1994, 50(24): 17953–17979. doi: 10.1103/PhysRevB.50.17953 [37] WU Z G, COHEN R E. More accurate generalized gradient approximation for solids [J]. Physical Review B, 2006, 73(23): 235116. doi: 10.1103/PhysRevB.73.235116 [38] MONKHORST H J, PACK J D. Special points for Brillouin-zone integrations [J]. Physical Review B, 1976, 13(12): 5188–5192. doi: 10.1103/PhysRevB.13.5188 [39] CHEN K, BAI X J, MU X L, et al. MAX phase Zr2SeC and its thermal conduction behavior [J]. Journal of the European Ceramic Society, 2021, 41(8): 4447–4451. doi: 10.1016/j.jeurceramsoc.2021.03.013 [40] WANG X D, CHEN K, WU E X, et al. Synthesis and thermal expansion of chalcogenide MAX phase Hf2SeC [J]. Journal of the European Ceramic Society, 2022, 42(5): 2084–2088. doi: 10.1016/j.jeurceramsoc.2021.12.062 [41] KANG D B. Influence of different a elements on bonding and elastic properties of Zr2AC (A=Al, Si, P, S): a theoretical investigation [J]. Bulletin of the Korean Chemical Society, 2013, 34(2): 609–614. doi: 10.5012/bkcs.2013.34.2.609 [42] YANG Z J, GUO Y, LINGHU R F, et al. First-principles calculation of the lattice compressibility, elastic anisotropy and thermodynamic stability of V2GeC [J]. Chinese Physics B, 2012, 21: 036301. doi: 10.1088/1674-1056/21/3/036301 [43] WU Z J, ZHAO E J, XIANG H P, et al. Crystal structures and elastic properties of superhard IrN2 and IrN3 from first principles [J]. Physical Review B, 2007, 76(5): 054115. doi: 10.1103/PhysRevB.76.054115 [44] HILL R. The elastic behaviour of a crystalline aggregate [J]. Proceedings of the Physical Society Section A, 1952, 65(5): 349–354. doi: 10.1088/0370-1298/65/5/307 [45] OUADHA I, RACHED H, AZZOUZ-RACHED A, et al. Study of the structural, mechanical and thermodynamic properties of the new MAX phase compounds (Zr1 − xTix)3AlC2 [J]. Computational Condensed Matter, 2020, 23: e00468. doi: 10.1016/j.cocom.2020.e00468 [46] AYDIN S, SIMSEK M. First-principles calculations of elemental crystalline boron phases under high pressure: orthorhombic B28 and tetragonal B48 [J]. Journal of Alloys and Compounds, 2011, 509(17): 5219–5229. doi: 10.1016/j.jallcom.2011.02.070 [47] FRANTSEVICH I N. Elastic constants and elastic moduli of metals and insulators [J]. Reference Book, 1982. [48] CHEN Q, HUANG Z W, ZHAO Z D, et al. Thermal stabilities, elastic properties and electronic structures of B2-MgRE (RE=Sc, Y, La) by first-principles calculations [J]. Computational Materials Science, 2013, 67: 196–202. doi: 10.1016/j.commatsci.2012.08.010 [49] XU Y, HU C Y, ZHOU S G, et al. Theoretical insights on structural, mechanical and thermodynamic properties of MCoB (M=Nb, Mo, and W) ternary borides under high pressure [J]. Solid State Sciences, 2022, 130: 106931. doi: 10.1016/j.solidstatesciences.2022.106931 [50] ANDERSON O L. A simplified method for calculating the debye temperature from elastic constants [J]. Journal of Physics and Chemistry of Solids, 1963, 24(7): 909–917. doi: 10.1016/0022-3697(63)90067-2 [51] BOUHEMADOU A, KHENATA R, CHEGAAR M. Structural and elastic properties of Zr2AlX and Ti2AlX (X = C and N) under pressure effect [J]. The European Physical Journal B, 2007, 56: 209–215. doi: 10.1140/epjb/e2007-00115-6 [52] BOUHEMADOU A. Structural and elastic properties under pressure effect of Hf2AlN and Hf2AlC [J]. High Pressure Research, 2008, 28: 45–53. doi: 10.1080/08957950701882872 -

下载: