Design and Mechanical Properties of Short Carbon Fiber Reinforced Biomimetic Materials
-
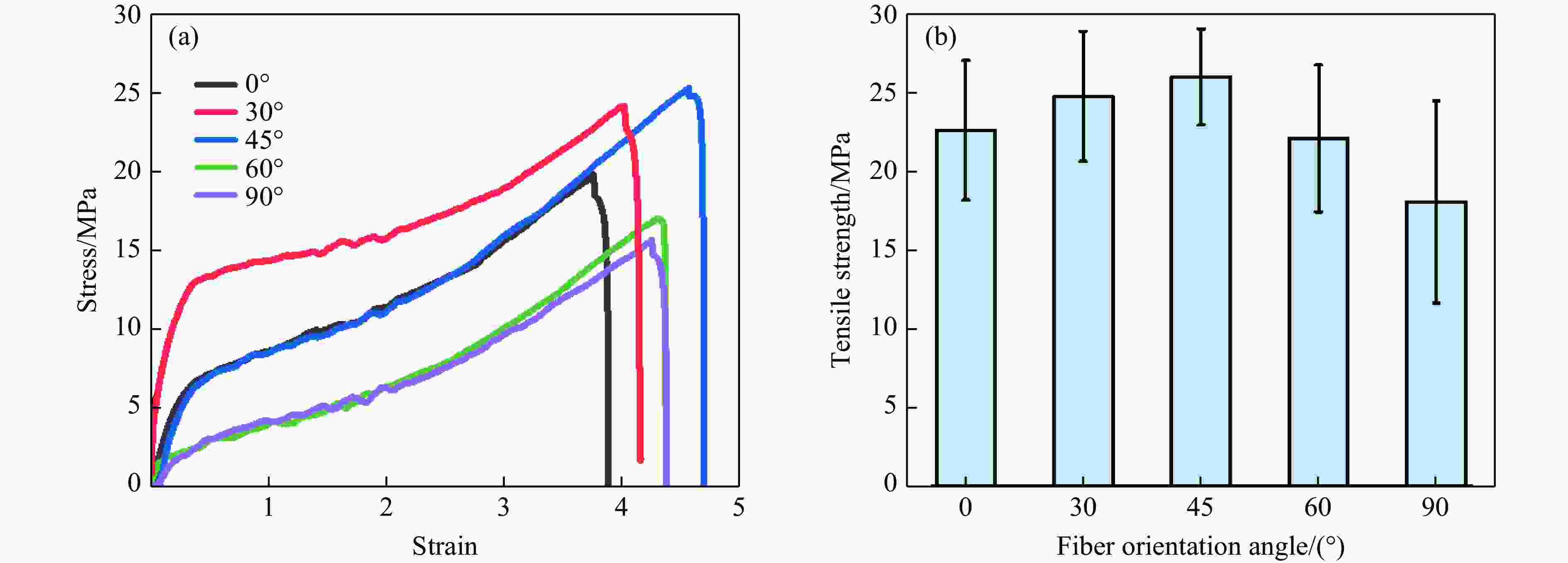
摘要: 在自然进化中,众多生物材料因其内部多级结构的精巧配合表现出卓越的力学性能。碳纤维作为一种性能优异的人工材料,为仿生材料设计与制备提供了重要的原材料支撑。以短碳纤维和聚氨酯为原料,发展了一种针管挤制和蒸发固化方法,制备出具有特定纤维取向的短碳纤维增强聚氨酯复合材料薄膜,利用叠层固化成型方法,制备出具有不同层间夹角的仿螳螂虾螺旋叠层结构材料。在此基础上,通过拉伸性能测试及拉伸过程中材料内部微观形貌表征,对该仿生材料的力学增强机理进行研究。结果表明:短碳纤维在薄膜材料中具有良好的取向一致性,当纤维取向角为45°时,单层薄膜的拉伸强度最高;在螺旋叠层结构中,当层间夹角为30°时,仿生材料的拉伸强度最高,这主要是由材料内部纤维端部引起的损伤破坏以及界面脱粘引起的失效破坏所调控。研究结果对于设计和制备高性能短纤维增强复合材料、实现其性能优化具有指导意义。Abstract: In natural evolution, numerous biomaterials exhibit astonishing mechanical properties due to the exquisite coordination of their internal structures at all levels. Carbon fiber, as an excellent artificial material, provides an important raw material support for the design of biomimetic materials. This study uses short carbon fibers and polyurethane as raw materials, combined with a syringe extrusion and thermal evaporation methods to prepare short carbon fiber reinforced polyurethane composite film with specific fiber orientation. Then, a spiral layered structure material resembling mantis shrimp with different interlayer angles was prepared using laminated assembly method. In addition, the mechanical strengthening mechanism of the material was studied by observing its morphology characteristics before and after stretching and measuring its tensile strength. The results show that short carbon fibers have good orientation consistency in thin film materials. When the fiber orientation angle is 45°, the tensile strength of the thin film material is the highest; when the interlayer angle is 30°, the tensile strength of short carbon fiber reinforced polyurethane biomimetic spiral structure material is the highest. The results of this study are of guiding significance for the design and preparation of high-performance short fiber reinforced composite materials, and for achieving their performance biomimetic optimization.
-
图 2 实验制备工具及样品:(a) 机械搅拌装置,(b) 恒温加热装置和针管,(c) 30°薄膜样品,(d)~(h) 分别为0°、30°、45°、60°和90°层间螺旋角的叠层样品
Figure 2. Experimental preparation tools and samples: (a) mechanical stirring device; (b) constant temperature heating device and needle tube; (c) 30° thin film specimen; (d)−(h) laminated samples with interlayer helix angles of 0°, 30°, 45°, 60°, and 90°, respectively
表 1 模拟中短碳纤维增强复合材料中各材料的属性
Table 1. Material properties of short carbon fibers reinforced composite in the simulation
E1/GPa E2/GPa E3/GPa G12/GPa G13/GPa G23/GPa E/MPa νf νTPU 230 40 40 24 24 14.3 100 0.26 0.35 -
[1] CHAND S. Review carbon fibers for composites [J]. Journal of Materials Science, 2000, 35(6): 1303–1313. doi: 10.1023/A:1004780301489 [2] IVORRA S, GARCÉS P, CATALÁ G, et al. Effect of silica fume particle size on mechanical properties of short carbon fiber reinforced concrete [J]. Materials & Design, 2010, 31(3): 1553–1558. doi: 10.1016/j.matdes.2009.09.050 [3] WONG E W, SHEEHAN P E, LIEBER C M. Nanobeam mechanics: elasticity, strength, and toughness of nanorods and nanotubes [J]. Science, 1997, 277(5334): 1971–1975. doi: 10.1126/science.277.5334.1971 [4] CANEL T, BAĞLAN İ, SINMAZÇELIK T. Mathematical modeling of heat distribution on carbon fiber Poly (ether-ether-ketone) (PEEK) composite during laser ablation [J]. Optics & Laser Technology, 2020, 127: 106190. doi: 10.1016/j.optlastec.2020.106190 [5] FERNÁNDEZ A, SANTANGELO-MURO M, FERNÁNDEZ-BLÁZQUEZ J P, et al. Processing and properties of long recycled-carbon-fibre reinforced polypropylene [J]. Composites Part B: Engineering, 2021, 211: 108653. doi: 10.1016/j.compositesb.2021.108653 [6] CAO M S, SONG W L, HOU Z L, et al. The effects of temperature and frequency on the dielectric properties, electromagnetic interference shielding and microwave-absorption of short carbon fiber/silica composites [J]. Carbon, 2010, 48(3): 788–796. doi: 10.1016/j.carbon.2009.10.028 [7] 陈雯娜. 短切碳纤维增强热塑性复合材料性能影响因素 [J]. 纺织科学研究, 2021(5): 58–63.CHEN W N. Factors affecting the performance of short cut carbon fiber reinforced thermoplastic composites [J]. Textile Science Research, 2021(5): 58–63. [8] POKKALLA D K, KUMAR V, JO E, et al. Characterization of anisotropic mechanical properties of polymer composites from a hybrid additive manufacturing-compression molding process using X-ray computer tomography [C]//Proceedings of SPIE 12047, Nondestructive Characterization and Monitoring of Advanced Materials, Aerospace, Civil Infrastructure, and Transportation ⅩⅥ. Long Beach, United States: SPIE, 2022: 120470V. [9] SHENG N, ZHU R J, DONG K X, et al. Vertically aligned carbon fibers as supporting scaffolds for phase change composites with anisotropic thermal conductivity and good shape stability [J]. Journal of Materials Chemistry A, 2019, 7(9): 4934–4940. doi: 10.1039/c8ta11329g [10] 崔福斋, 冯庆玲. 生物材料学[M]. 2版. 北京: 清华大学出版社, 2004.CUI F Z, FENG Q L. Biomaterials science [M]. 2nd ed. Beijing: Tsinghua University Press, 2004. [11] WEGST U G K, ASHBY M F. The mechanical efficiency of natural materials [J]. Philosophical Magazine, 2004, 84(21): 2167–2186. doi: 10.1080/14786430410001680935 [12] ZHANG B J, YANG J D, LI Y J, et al. Bioinspired basalt fiber composites with higher impact resistance through coupling sinusoidal and helical structures inspired by mantis shrimp [J]. International Journal of Mechanical Sciences, 2023, 244: 108073. doi: 10.1016/j.ijmecsci.2022.108073 [13] ZHONG Y, JIANG Z H, SHANGGUAN W W, et al. Design value of the compressive strength for bamboo fiber-reinforced composite based on a reliability analysis [J]. BioResources, 2014, 9(4): 7737–7748. doi: 10.15376/biores.9.4.7737-7748 [14] RHO J Y, KUHN-SPEARING L, ZIOUPOS P. Mechanical properties and the hierarchical structure of bone [J]. Medical Engineering & Physics, 1998, 20(2): 92–102. doi: 10.1016/S1350-4533(98)00007-1 [15] YANG W, SHERMAN V R, GLUDOVATZ B, et al. Protective role of Arapaima gigas fish scales: structure and mechanical behavior [J]. Acta Biomaterialia, 2014, 10(8): 3599–3614. doi: 10.1016/j.actbio.2014.04.009 [16] ZIMMERMANN E A, GLUDOVATZ B, SCHAIBLE E, et al. Mechanical adaptability of the Bouligand-type structure in natural dermal armour [J]. Nature Communications, 2013, 4: 2634. doi: 10.1038/ncomms3634 [17] WEAVER J C, MILLIRON G W, MISEREZ A, et al. The stomatopod dactyl club: a formidable damage-tolerant biological hammer [J]. Science, 2012, 336(6086): 1275–1280. doi: 10.1126/science.1218764 [18] MEYERS M A, MCKITTRICK J, CHEN P Y. Structural biological materials: critical mechanics-materials connections [J]. Science, 2013, 339(6121): 773–779. doi: 10.1126/science.1220854 [19] GUARÍN-ZAPATA N, GOMEZ J, YARAGHI N, et al. Shear wave filtering in naturally-occurring Bouligand structures [J]. Acta Biomaterialia, 2015, 23: 11–20. doi: 10.1016/j.actbio.2015.04.039 [20] GRUNENFELDER L K, SUKSANGPANYA N, SALINAS C, et al. Bio-inspired impact-resistant composites [J]. Acta Biomaterialia, 2014, 10(9): 3997–4008. doi: 10.1016/j.actbio.2014.03.022 [21] LIU J W, ZHU J H, ZHANG C L, et al. Mesostructured assemblies of ultrathin superlong tellurium nanowires and their photoconductivity [J]. Journal of the American Chemical Society, 2010, 132(26): 8945–8952. doi: 10.1021/ja910871s [22] YAO J, YAN H, LIEBER C M. A nanoscale combing technique for the large-scale assembly of highly aligned nanowires [J]. Nature Nanotechnology, 2013, 8(5): 329–335. doi: 10.1038/nnano.2013.55 [23] XU F, DURHAM J W, WILEY B J, et al. Strain-release assembly of nanowires on stretchable substrates [J]. ACS Nano, 2011, 5(2): 1556–1563. doi: 10.1021/nn103183d [24] PEVZNER A, ENGEL Y, ELNATHAN R, et al. Knocking down highly-ordered large-scale nanowire arrays [J]. Nano Letters, 2010, 10(4): 1202–1208. doi: 10.1021/nl903560u [25] NING F D, CONG W L, QIU J J, et al. Additive manufacturing of carbon fiber reinforced thermoplastic composites using fused deposition modeling [J]. Composites Part B: Engineering, 2015, 80: 369–378. doi: 10.1016/j.compositesb.2015.06.013 -

下载: