Energy Absorption Characteristics of Circular Nested HierarchicalMulti-Cell Tubes under Axial Impact
-
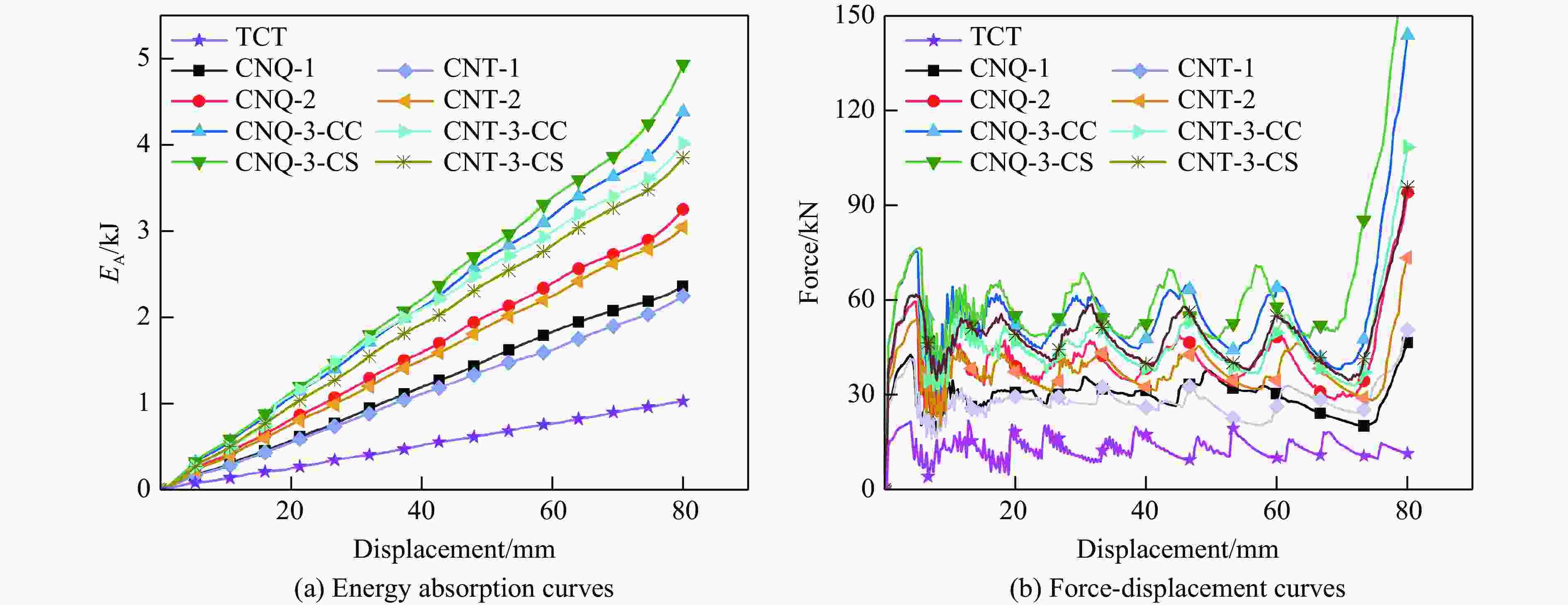
摘要: 将层级和嵌套相结合,设计了两种不同类型和嵌套方式的圆形嵌套层级多胞管,采用数值模拟方法对其轴向冲击下的吸能特性开展了系统的研究。研究结果表明,无论是相同壁厚还是相同质量,高层级多胞管相比低层级多胞管都具有更好的能量吸收能力。相同壁厚情况下,高层级多胞管的比能量吸收和冲击力效率最高分别高出22.49%和16.55%,与传统圆管相比,层级多胞管的比能量吸收和冲击力效率最高分别高出43.16%和36.45%。相同质量情况下,高层级多胞管的比能量吸收和冲击力效率最高分别提升了21.04%和24.47%。最后,系统地开展了层级数、壁厚等结构参数对圆形嵌套层级多胞管耐撞性的参数化研究。Abstract: Combining hierarchy with nested, two kinds of circular nested hierarchical multi-cell tubes with different nested methods were designed innovatively. The energy absorption characteristics under axial impact were studied by numerical simulation. The results show that the high-level multi-cell tubes have better energy absorption capacity than the low-level multi-cell tubes, regardless of the same wall thickness or the same mass. Under the same wall thickness, the specific energy absorption and crush force efficiency of high-level multi-cell tubes increased by 22.49% and 16.55%, respectively. Compared with the traditional circular tube, the specific energy absorption and impact efficiency of the multicellular tube were 43.16% and 36.45% higher, respectively. Under the same mass condition, the specific energy absorption and crush force efficiency of high-level multi-cell tubes were increased by 21.04% and 24.47%, respectively. Finally, the crashworthiness of circular nested hierarchical multi-cell tubes was studied systematically by the by used structural parameters such as layer number and wall thickness.
-
表 1 相同壁厚条件下不同圆管的耐撞性数据
Table 1. Crashworthiness of different tubes with the same wall thickness
Multicellular tubes h/mm m/kg EA/J ESA/(kJ·kg–1) FI/kN η/% TCT 1.50 0.051 1027.32 20.18 21.50 59.72 CNT-1 1.50 0.093 2248.11 24.17 41.15 68.28 CNT-2 1.50 0.118 3043.65 25.79 53.92 70.55 CNT-3-CC 1.50 0.139 4015.88 28.89 61.60 81.49 CNT-3-CS 1.50 0.139 3850.71 27.70 61.78 77.92 CNQ-1 1.50 0.097 2360.63 24.41 42.69 69.12 CNQ-2 1.50 0.133 3251.87 24.45 59.57 68.24 CNQ-3-CC 1.50 0.165 4382.77 26.56 75.50 72.56 CNQ-3-CS 1.50 0.165 4933.74 29.90 76.56 80.56 表 2 相同质量条件下的耐撞性对比
Table 2. Crashworthiness comparison under the same mass
Multicellular tubes h/mm m/kg EA/J ESA/(kJ·kg–1) FI/kN η/% CNT-1 1.04 0.065 1323.63 20.52 26.72 61.93 CNT-2 0.82 0.065 1358.73 21.06 25.94 65.47 CNT-3-CC 0.70 0.065 1384.23 21.46 24.60 70.33 CNT-3-CS 0.70 0.065 1352.52 20.97 24.60 68.74 CNQ-1 1.00 0.065 1388.40 21.53 25.91 66.98 CNQ-2 0.73 0.065 1282.73 19.89 24.49 65.46 CNQ-3-CC 0.60 0.065 1397.43 21.67 23.93 73.00 CNQ-3-CS 0.60 0.065 1681.05 26.06 24.62 83.37 表 3 层级数对圆形嵌套层级多胞管耐撞性影响的对比
Table 3. Comparation on the effect of order on structural crashworthiness
Multicellular tubes h/mm m/kg EA/J ESA/(kJ·kg–1) FI/kN η/% CNT-1 2.00 0.124 3505.95 28.27 57.54 76.17 CNT-2 2.00 0.158 4820.93 30.51 75.30 80.03 CNT-3-CC 2.00 0.186 5787.84 31.12 87.54 82.65 CNT-4-CC 2.00 0.203 6582.24 32.42 95.66 86.01 CNT-3-CS 2.00 0.186 5797.15 31.17 86.35 83.92 CNT-4-CS 2.00 0.203 6520.47 32.12 95.41 85.43 CNQ-1 2.00 0.129 3427.02 26.57 59.88 71.54 CNQ-2 2.00 0.177 5366.16 30.32 83.24 80.58 CNQ-3-CC 2.00 0.220 6730.04 30.59 105.55 79.71 CNQ-4-CC 2.00 0.254 8475.47 33.37 121.78 87.00 CNQ-3-CS 2.00 0.220 7528.57 34.22 106.56 88.31 CNQ-4-CS 2.00 0.254 8909.80 35.08 122.81 90.69 -
[1] HUANG H, XU S C. Crashworthiness analysis and bionic design of multi-cell tubes under axial and oblique impact loads [J]. Thin-Walled Structures, 2019, 144: 106333. doi: 10.1016/j.tws.2019.106333 [2] WU S Z, ZHENG G, SUN G Y, et al. On design of multi-cell thin-wall structures for crashworthiness [J]. International Journal of Impact Engineering, 2016, 88: 102–117. doi: 10.1016/j.ijimpeng.2015.09.003 [3] 靳明珠, 尹冠生, 姚如洋, 等. 多边形薄壁多胞管的轴向吸能特性研究 [J]. 塑性工程学报, 2021, 28(1): 179–188. doi: 10.3969/j.issn.1007-2012.2021.01.024JIN M Z, YIN G S, YAO R Y, et al. Study on axial energy absorption characteristics of polygonal thin-walled multi-cell tube [J]. Journal of Plasticity Engineering, 2021, 28(1): 179–188. doi: 10.3969/j.issn.1007-2012.2021.01.024 [4] 靳明珠, 尹冠生, 郝文乾, 等. 新型多胞管轴向吸能特性的理论和数值研究 [J]. 应用力学学报, 2021, 38(2): 480–489. doi: 10.11776/cjam.38.02.B012JIN M Z, YIN G S, HAO W Q, et al. Theoretical and numerical studies on the axial energy absorption characteristics of novel multi-cell tubes [J]. Chinese Journal of Applied Mechanics, 2021, 38(2): 480–489. doi: 10.11776/cjam.38.02.B012 [5] TRAN T N, BAROUTAJI A, ESTRADA Q, et al. Crashworthiness analysis and optimization of standard and windowed multi-cell hexagonal tubes [J]. Structural and Multidisciplinary Optimization, 2021, 63(5): 2191–2209. doi: 10.1007/s00158-020-02794-y [6] XIONG J, ZHANG Y, SU L, et al. Experimental and numerical study on mechanical behavior of hybrid multi-cell structures under multi-crushing loads [J]. Thin-Walled Structures, 2022, 170: 108588. doi: 10.1016/j.tws.2021.108588 [7] WANG Z G, ZHANG J, LI Z D, et al. On the crashworthiness of bio-inspired hexagonal prismatic tubes under axial compression [J]. International Journal of Mechanical Sciences, 2020, 186: 105893. doi: 10.1016/j.ijmecsci.2020.105893 [8] VIMAL KANNAN I, RAJKUMAR R. Crashworthiness and comparative analysis of polygonal single and bi-tubular structures under axial loading – experiments and FE modelling [J]. Journal of Theoretical and Applied Mechanics, 2020, 59(1): 81–94. doi: 10.15632/jtam-pl/128901 [9] HA N S, PHAM T M, CHEN W S, et al. Crashworthiness analysis of bio-inspired fractal tree-like multi-cell circular tubes under axial crushing [J]. Thin-Walled Structures, 2021, 169: 108315. doi: 10.1016/J.TWS.2021.108315 [10] XU X, ZHANG Y, CHEN X B, et al. Crushing behaviors of hierarchical sandwich-walled columns [J]. International Journal of Mechanical Sciences, 2019, 161/162: 105021. doi: 10.1016/j.ijmecsci.2019.105021 [11] HA N S, PHAM T M, HAO H, et al. Energy absorption characteristics of bio-inspired hierarchical multi-cell square tubes under axial crushing [J]. International Journal of Mechanical Sciences, 2021, 201: 106464. doi: 10.1016/j.ijmecsci.2021.106464 [12] WU J C, ZHANG Y, ZHANG F, et al. A bionic tree-liked fractal structure as energy absorber under axial loading [J]. Engineering Structures, 2021, 245: 112914. doi: 10.1016/J.ENGSTRUCT.2021.112914 [13] DENG X L, QIN S G, HUANG J L. Crashworthiness analysis of gradient hierarchical multicellular columns evolved from the spatial folding [J]. Materials & Design, 2022, 215: 110435. doi: 10.1016/J.MATDES.2022.110435 [14] QIN S G, DENG X L, LIU X Y. Crashworthiness analysis of bioinspired hierarchical gradient multicell tubes under axial impact [J]. Thin-Walled Structures, 2022, 179: 109591. doi: 10.1016/J.TWS.2022.109591 [15] HUANG J L, ZHENG Z Y, DENG X L, et al. Crashworthiness analysis of gradient fractal thin-walled structure [J]. Thin-Walled Structures, 2022, 181: 110102. doi: 10.1016/J.TWS.2022.110102 [16] QIN S G, DENG X L, LIU F Y. Energy absorption characteristics and crashworthiness of rhombic hierarchical gradient multicellular hexagonal tubes [J]. Mechanics of Advanced Materials and Structures, 2022: 2122640. [17] HE Y L, LI X, JIN T, et al. The crashworthiness design of multi-cell structures using the tessellations of self-similar inspired tubes [J]. Thin-Walled Structures, 2022, 180: 109810. doi: 10.1016/J.TWS.2022.109810 [18] LI Z C, RAKHEJA S, SHANGGUAN W B. Crushing behavior and crashworthiness optimization of multi-cell square tubes under multiple loading angles [J]. Proceedings of the Institution of Mechanical Engineers, Part D:Journal of Automobile Engineering, 2020, 234(5): 1497–1511. doi: 10.1177/0954407019869127 [19] HA N S, LU G X. A review of recent research on bio-inspired structures and materials for energy absorption applications [J]. Composites Part B: Engineering, 2020, 181: 107496. doi: 10.1016/j.compositesb.2019.107496 [20] ZHANG X, HUH H. Crushing analysis of polygonal columns and angle elements [J]. International Journal of Impact Engineering, 2010, 37(4): 441–451. doi: 10.1016/j.ijimpeng.2009.06.009 [21] WEI Z Q, XU X H. Numerical study on impact resistance of novel multilevel bionic thin-walled structures [J]. Journal of Materials Research and Technology, 2022, 16: 1770–1780. doi: 10.1016/J.JMRT.2021.12.105 [22] ZHANG X, ZHANG H. The crush resistance of four-panel angle elements [J]. International Journal of Impact Engineering, 2015, 78: 81–97. doi: 10.1016/j.ijimpeng.2014.12.004 [23] ZHANG X, ZHANG H. Some problems on the axial crushing of multi-cells [J]. International Journal of Mechanical Sciences, 2015, 103: 30–39. doi: 10.1016/j.ijmecsci.2015.08.026 -

下载: