Compressive Properties of Ice Containing Cotton at Low Strain Rates
-
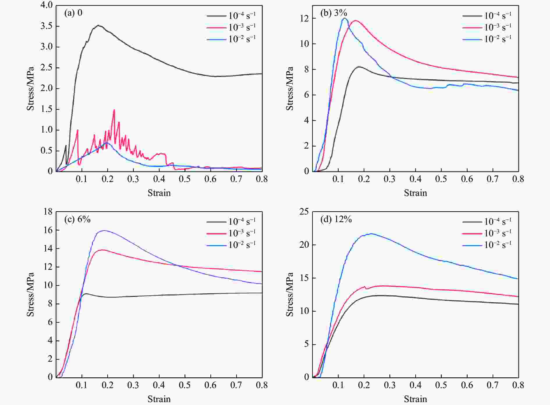
摘要: 航空飞行器在飞行过程中不可避免地受到冰雹冲击的威胁,严重危害航空器的飞行安全。目前,天然冰材料的冲击特性尚不明确,为此,依据ASTM F320-21标准《航空与航天透明外壳冰撞测试》,研究了不同应变率下天然冰材料的力学性能。天然冰相对于人工冰雹具有密度低、强度高的特点,结合冰雹制备标准,制备了含棉纤维质量分数为0、3%、6%、12%的冰柱试样。利用万能试验机对冰试样进行应变率分别为10−4、10−3、10−2 s−1的压缩实验,分析了棉纤维质量分数与应变率对冰试样压缩力学性能的影响,以及破坏形式与临界应变能密度的关系。结果表明:透明冰在应变率约为10−3 s−1时由韧性向脆性转化,且添加棉纤维有助于提高冰的压缩屈服强度,在压缩过程中表现出“裂而不碎”的现象;在准静态压缩下,两种冰模型破坏时转化为裂纹表面能所需的能量均比转化为塑性能所需的能量更少。Abstract: Aviation aircraft inevitably encounter threat of hail impact during flight, which seriously endangers flight safety of aircraft. At present, impact characteristics of natural ice materials are still unclear, this paper studies mechanical properties of natural ice materials under different strain rates. However, natural ice has the characteristics of low density and high strength compared with artificial hail. According to the hail preparation standard ASTM F320-21 “Ice Impact Testing of Transparent Shells for Aviation and Aerospace”, icicle specimens containing cotton fiber with mass fractions of 0, 3%, 6% and 12% were prepared. The icicle specimens were subjected to compression experiments with strain rates of 10−4, 10−3, and 10−2 s−1 using a universal testing machine, and effects of cotton fiber mass fraction and strain rate on their compressive mechanical properties, as well as a relation between damage form and critical strain energy density change, were analyzed. The results show that the transparent icicles without cotton fiber transforms from ductility to brittleness at a strain rate of about 10−3 s−1, and that the addition of cotton fiber increases the compressive yield strength of ice, resulting a phenomenon of “cracking but not breaking” during the compression process. Under quasi-static compression, less energy is required to convert to crack surface energy than to plastic energy.
-
Key words:
- cotton contained ice materials /
- strain rate effect /
- compressive strength /
- failure mode
-
表 1 ASTM F320-21标准冰雹参数
Table 1. Standardization of hail in ASTM F320-21
Hail diameter/mm Hail mass/g Cotton fiber mass fraction/% Cotton fiber mass/g Error/% Temperature/℃ 13 1.0 12 0.14 ±30 −18 25 8.2 12 1.00 ±30 −18 50 66.4 12 8.00 ±30 −18 表 2 人工制备圆柱冰尺寸
Table 2. Parameters of artificial icicles
Icicle diameter/mm Icicle height/mm Icicle mass/g Cotton fiber mass fraction/% Error/% Temperature/℃ 18 8 2.0 0, 3, 6, 12 ±30 −18 16 7 1.4 0, 3, 6, 12 ±30 −18 表 3 试件在不同应变率下的压缩屈服强度
Table 3. Compressive yield strength of specimens at different strain rates
Cotton fiber mass fraction/% Strain rates/s−1 Compressive yield strength/MPa Change/% 0 10−4 3.744 10−3 1.563 −58.20 10−2 0.770 −50.75 3 10−4 8.920 10−3 12.150 36.21 10−2 12.495 2.84 6 10−4 8.920 10−3 14.050 57.51 10−2 15.425 9.79 12 10−4 11.200 10−3 13.673 22.08 10−2 21.670 58.49 表 4 试件尺寸及屈服强度
Table 4. Dimensions and compression strengths of specimens
Strain rates/s−1 Cotton fiber mass fraction/% Specimen size Mean yield strength/MPa Diameter/mm Height/mm 10−4 0 16 7 4.47 0 18 8 3.74 3 16 7 8.43 3 18 8 8.62 6 16 7 9.70 6 18 8 8.92 12 16 7 12.75 12 18 8 11.53 10−3 0 16 7 1.20 0 18 8 1.56 3 16 7 12.24 3 18 8 12.15 6 16 7 15.40 6 18 8 14.05 12 16 7 16.80 12 18 8 13.80 10−2 0 16 7 0.76 0 18 8 0.77 3 16 7 13.79 3 18 8 12.50 6 16 7 20.00 6 18 8 15.43 12 16 7 20.10 12 18 8 21.67 -
[1] 韩登安, 徐丹, 叶仁传, 等. 冰雹载荷下基于碳纤维增强复合材料的腔棘鱼鳞双螺旋仿生结构的撞击损伤分析 [J]. 高压物理学报, 2022, 36(4): 044205.HAN D A, XU D, YE R C, et al. Analysis on damage of double-helicoidal carbon fiber reinforced polymer bionic structure inspired by coelacanth scales under hail load [J]. Chinese Journal of High Pressure Physics, 2022, 36(4): 044205. [2] 王计真. 复合材料层合板抗冰雹冲击性能研究 [J]. 兵工学报, 2017, 38(Suppl 1): 89–95.WANG J Z. Research on anti-hailstone impact behavior of laminated composite panel [J]. Acta Armamentarii, 2017, 38(Suppl 1): 89–95. [3] JONES S J. High strain-rate compression tests on ice [J]. The Journal of Physical Chemistry B, 1997, 101(32): 6099–6101. doi: 10.1021/jp963162j [4] SHAZLY M, PRAKASH V, LERCH B A. High strain-rate behavior of ice under uniaxial compression [J]. International Journal of Solids and Structures, 2009, 46(6): 1499–1515. doi: 10.1016/j.ijsolstr.2008.11.020 [5] ALLEN J T, GIAMMANCO I M, KUMJIAN M R, et al. Understanding hail in the earth system [J]. Reviews of Geophysics, 2020, 58(1): e2019RG000665. [6] SWIFT J M. Simulated hail ice mechanical properties and failure mechanism at quasi-static strain rates [D]. Seattle: University of Washington, 2013. [7] HAYNES F D. Effect of temperature on the strength of snow-ice: CRREL report 78−27 [R]. Hanover: Cold Regions Research and Engineering Laboratory, 1978. [8] SCHULSON E M. The structure and mechanical behavior of ice [J]. JOM, 1999, 51(2): 21–27. doi: 10.1007/s11837-999-0206-4 [9] DEMPSEY J P, DEFRANCO S J, ADAMSON R M, et al. Scale effects on the in-situ tensile strength and fracture of ice part Ⅰ: large grained freshwater ice at Spray Lakes Reservoir, Alberta [J]. International Journal of Fracture, 1999, 95(1): 325–345. [10] COLE D M. The microstructure of ice and its influence on mechanical properties [J]. Engineering Fracture Mechanics, 2001, 68(17/18): 1797–1822. [11] MELLOR M, COLE D M. Deformation and failure of ice under constant stress or constant strain-rate [J]. Cold Regions Science and Technology, 1982, 5(3): 201–219. doi: 10.1016/0165-232X(82)90015-5 [12] KUEHN G A, SCHULSON E M, JONES D E, et al. The compressive strength of ice cubes of different sizes [J]. Journal of Offshore Mechanics and Arctic Engineering, 1993, 115(2): 142–148. doi: 10.1115/1.2920104 [13] SCHULSON E M, DUVAL P. Brittle failure of ice under tension [M]//SCHULSON E M, DUVAL P. Creep and Fracture of Ice. Cambridge: Cambridge University Press, 2009: 212−235. [14] SCHULSON E M. Brittle failure of ice [J]. Engineering Fracture Mechanics, 2001, 68(17/18): 1839–1887. [15] KIM H, KEUNE J N. Compressive strength of ice at impact strain rates [J]. Journal of Materials Science, 2007, 42(8): 2802–2806. doi: 10.1007/s10853-006-1376-x [16] 宋振华. 冰载荷作用下碳纤维复合材料桁条加筋曲面板的冲击动力响应研究 [D]. 广州: 暨南大学, 2014.SONG Z H. The dynamic response of stringer-stiffened curved composite panels under the hail ice impact [D]. Guangzhou: Jinan University, 2014. [17] ASTM. ASTM F320−21 standard test method for hail impact resistance of aerospace transparent enclosures [S]. West Conshohocken: ASTM, 2021. [18] 张丽芬, 葛鑫, 刘振侠. 人工制备冰雹的力学性能试验研究 [J]. 航空学报, 2021, 42(2): 224255. doi: 10.7527/S1000-6893.2020.24255ZAHNG L F, GE X, LIU Z X. Experimental study on mechanical properties of artificial hail [J]. Acta Aeronauticaet Astronautica Sinica, 2021, 42(2): 224255. doi: 10.7527/S1000-6893.2020.24255 [19] 冯晓伟, 冯高鹏, 方辉. 不同应变率下冰破坏特性的试验研究 [J]. 应用力学学报, 2016, 33(2): 223–228.FENG X W, FENG G P, FANG H. Experimental investigation on compressive failure behaviour of fresh-water ice at different compressive rates [J]. Chinese Journal of Applied Mechanics, 2016, 33(2): 223–228. -

下载: