Energy and Damage Evolution Characteristics of Rock Materials under Different Water Contents
-
摘要: 为研究含水率对硬岩材料的力学性质和能量损伤的影响规律,对不同含水状态的砂岩开展了单轴压缩试验。结果表明:砂岩试样的峰值应力、弹性模量和脆性指数随着含水率的增大而减小,峰值应变随着含水率的增大而增大;在干燥状态下,砂岩试样在破坏之前未发生明显的塑性变形,表现出显著的脆性破坏,而在饱水状态下,砂岩试样在峰前阶段出现显著的塑性变形,破坏前出现屈服平台;砂岩试样的含水率越大,吸能能力越强,能量吸收率越小,但是能量耗散越显著;砂岩试样的含水率越小,破坏时其损伤变量越大,在干燥状态下砂岩试样的破坏具有较强的冲击倾向性。研究结果可为深部地下工程围岩的稳定性控制提供理论参考。Abstract: To study the effect of water content on mechanical properties and energy damage of hard rock materials, the uniaxial compression tests were carried out on sandstone samples under different water contents. The test results show that with the increase of water content, the peak stress, brittleness index and elastic modulus of sandstone samples decrease, and the peak strain of sandstone increases. In the dry state, there is no obvious plastic deformation before failure, showing a significant brittle failure, while in the saturated state, there is a significant plastic deformation in the pre-peak stage, and a yield plateau before failure. The larger the water content of sandstone samples is, the stronger the energy absorption capacity is, the smaller the energy absorption rate is, but the more significant the energy dissipation phenomenon is. The smaller the water content of sandstone samples is, the larger the damage variable is at the time of failure, and the sandstone samples have a strong impact tendency at the time of failure in the dry state. The conclusions provide a theoretical reference for the stability control of surrounding rock in deep underground engineering.
-
Key words:
- sandstone /
- uniaxial compression /
- water content /
- energy evolution /
- damage characteristics
-
表 1 不同含水率下砂岩试样的
$\sigma_{\rm{c}} $ 、$\sigma_{\rm r}$ 和$U_{{\rm{dmax}}} $ Table 1.
$\sigma_{\rm{c}} $ ,$\sigma_{\rm{r}} $ and$U_{{\rm{dmax}}} $ of sandstone samples under different water contentswc/% σc/MPa σr/MPa Udmax/(MJ·m−3) 0 72.12 32.99 0.18 0.090 58.08 14.27 0.25 0.204 49.27 25.29 0.22 0.281 39.87 25.62 0.23 表 2 不同含水率下砂岩试样的脆性指数和能量冲击指数
Table 2. Brittleness index and energy impact index of sandstone under different water contents
wc/% B ACF wc/% B ACF 0 13.16 4.27 0.204 6.03 2.58 0.090 7.91 3.09 0.281 4.32 1.76 表 3 不同含水率下砂岩试样的力学和能量参数
Table 3. Mechanical and energy parameters of sandstone samples under different water contents
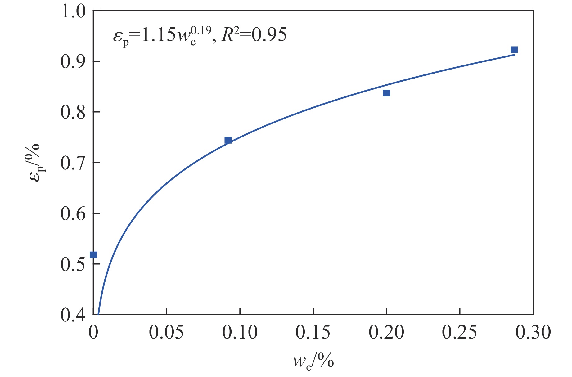
wc/% E/MPa σc/MPa εp B ACF Et/(MJ·m−3) Ee/(MJ·m−3) Ed/(MJ·m−3) 0 16.37 72.05 0.52 13.16 13.16 0.1736 0.1584 0.0147 0.090 11.15 58.24 0.74 7.91 7.91 0.1883 0.1494 0.0387 0.204 9.08 49.64 0.84 6.03 6.03 0.1886 0.1342 0.0547 0.281 6.48 40.17 0.92 4.32 4.32 0.1817 0.0959 0.0850 -
[1] 邬爱清. 长江科学院水工岩石力学与工程应用研究进展 [J]. 长江科学院院报, 2021, 38(10): 104–111. doi: 10.11988/ckyyb.20210677WU A Q. Developments of rock mechanics in hydraulic engineering and their applications by Yangtze River scientific research institute [J]. Journal of Yangtze River Scientific Research Institute, 2021, 38(10): 104–111. doi: 10.11988/ckyyb.20210677 [2] CHEN F J, LI H X, ZHU Z Q. Energy dissipation analysis on unloading confining pressure failure process of rock material [J]. Applied Mechanics and Materials, 2012, 256: 398–401. doi: 10.4028/WWW.SCIENTIFIC.NET/AMM.256-259.398 [3] 柳万里, 晏鄂川, 戴航, 等. 巴东组泥岩水作用的特征强度及其能量演化规律研究 [J]. 岩石力学与工程学报, 2020, 39(2): 311–326. doi: 10.13722/j.cnki.jrme.2019.0654LIU W L, YAN E C, DAI H, et al. Study on characteristic strength and energy evolution law of Badong formation mudstone under water effect [J]. Chinese Journal of Rock Mechanics and Engineering, 2020, 39(2): 311–326. doi: 10.13722/j.cnki.jrme.2019.0654 [4] 秦虎, 黄滚, 王维忠. 不同含水率煤岩受压变形破坏全过程声发射特征试验研究 [J]. 岩石力学与工程学报, 2012, 31(6): 1115–1120. doi: 10.3969/j.issn.1000-6915.2012.06.004QIN H, HUANG G, WANG W Z. Experimental study of acoustic emission characteristics of coal samples with different moisture contents in process of compression deformation and failure [J]. Chinese Journal of Rock Mechanics and Engineering, 2012, 31(6): 1115–1120. doi: 10.3969/j.issn.1000-6915.2012.06.004 [5] TATONE B S A, ABDELAZIZ A, GRASSELLI G. Novel mechanical classification method of rock based on the uniaxial compressive strength and Brazilian disc strength [J]. Rock Mechanics and Rock Engineering, 2022, 55(4): 2503–2507. doi: 10.1007/s00603-021-02759-7 [6] SHEN W B, YU W J, PAN B, et al. Rock mechanical failure characteristics and energy evolution analysis of coal-rock combination with different dip angles [J]. Arabian Journal of Geosciences, 2022, 15(1): 93. doi: 10.1007/S12517-021-09268-5 [7] PERERA M S A, RANJITH P G, PETER M. Effects of saturation medium and pressure on strength parameters of Latrobe Valley brown coal: carbon dioxide, water and nitrogen saturations [J]. Energy, 2011, 36(12): 6941–6947. doi: 10.1016/j.energy.2011.09.026 [8] PAN Z J, CONNELL L D, CAMILLERI M, et al. Effects of matrix moisture on gas diffusion and flow in coal [J]. Fuel, 2010, 89(11): 3207–3217. doi: 10.1016/j.fuel.2010.05.038 [9] 郑文红, 施天威, 潘一山, 等. 含水率对岩石电荷感应信号影响规律研究 [J]. 岩土力学, 2022, 43(3): 659–668. doi: 10.16285/j.rsm.2021.1335ZHENG W H, SHI T W, PAN Y S, et al. Effects of water content on the charge induced signal of rock [J]. Rock and Soil Mechanics, 2022, 43(3): 659–668. doi: 10.16285/j.rsm.2021.1335 [10] 胡昕, 洪宝宁, 孟云梅. 考虑含水率影响的红砂岩损伤统计模型 [J]. 中国矿业大学学报, 2007, 36(5): 609–613. doi: 10.3321/j.issn:1000-1964.2007.05.009HU X, HONG B N, MENG Y M. Statistical damage model of red sandstone with effect of water ratio considered [J]. Journal of China University of Mining & Technology, 2007, 36(5): 609–613. doi: 10.3321/j.issn:1000-1964.2007.05.009 [11] 李天斌, 陈子全, 陈国庆, 等. 不同含水率作用下砂岩的能量机制研究 [J]. 岩土力学, 2015, 36(Suppl 2): 229–236. doi: 10.16285/j.rsm.2015.S2.030LI T B, CHEN Z Q, CHEN G Q, et al. An experimental study of energy mechanism of sandstone with different moisture contents [J]. Rock and Soil Mechanics, 2015, 36(Suppl 2): 229–236. doi: 10.16285/j.rsm.2015.S2.030 [12] 李泓颖, 刘晓辉, 郑钰, 等. 深埋锦屏大理岩渐进破坏过程中的特征能量分析 [J]. 岩石力学与工程学报, 2022, 41(Suppl 2): 3229–3239. doi: 10.13722/j.cnki.jrme.2022.0075LI H Y, LIU X H, ZHENG Y, et al. Analysis of characteristic energy during the progressive failure of deep-buried marble in Jinping [J]. Chinese Journal of Rock Mechanics and Engineering, 2022, 41(Suppl 2): 3229–3239. doi: 10.13722/j.cnki.jrme.2022.0075 [13] 纪洪广, 苏晓波, 权道路, 等. 受载岩石能量演化特征的研究进展 [J]. 金属矿山, 2020(4): 1–9. doi: 10.19614/j.cnki.jsks.202004001JI H G, SU X B, QUAN D L, et al. Research progress on energy evolution characteristics of loaded rocks [J]. Metal Mine, 2020(4): 1–9. doi: 10.19614/j.cnki.jsks.202004001 [14] 谢和平, 高峰, 鞠杨. 深部岩体力学研究与探索 [J]. 岩石力学与工程学报, 2015, 34(11): 2161–2178.XIE H P, GAO F, JU Y. Research and development of rock mechanics in deep ground engineering [J]. Chinese Journal of Rock Mechanics and Engineering, 2015, 34(11): 2161–2178. [15] 王圣程, 姜慧, 禄利刚, 等. 单轴压缩下不同含水率水泥混凝土的能量演化特征 [J]. 混凝土与水泥制品, 2018(7): 24–27.WANG S C, JIANG H, LU L G, et al. Energy evolution characteristic on cement concrete with different water content under unaxial compression [J]. China Concrete and Cement Products, 2018(7): 24–27. [16] 杨永杰, 马德鹏. 煤样三轴卸荷破坏的能量演化特征试验分析 [J]. 采矿与安全工程学报, 2018, 35(6): 1208–1216.YANG Y J, MA D P. Experimental research on energy evolution properties of coal sample failure under triaxial unloading testing [J]. Journal of Mining & Safety Engineering, 2018, 35(6): 1208–1216. [17] 孟召平, 潘结南, 刘亮亮, 等. 含水量对沉积岩力学性质及其冲击倾向性的影响 [J]. 岩石力学与工程学报, 2009, 28(Suppl 1): 2637–2643. doi: 10.3321/j.issn:1000-6915.2009.z1.007MENG Z P, PAN J N, LIU L L, et al. Influence of moisture contents on mechanical properties of sedimentary rock and its bursting potential [J]. Chinese Journal of Rock Mechanics and Engineering, 2009, 28(Suppl 1): 2637–2643. doi: 10.3321/j.issn:1000-6915.2009.z1.007 [18] 茅献彪, 张连英, 刘瑞雪. 高温状态下泥岩单轴蠕变特性及损伤本构关系研究 [J]. 岩土工程学报, 2013, 35(Suppl 2): 30–37.MAO X B, ZHANG L Y, LIU R X. Creep properties and damage constitutive relation of mudstone under uniaxial compression at high temperature [J]. Chinese Journal of Geotechnical Engineering, 2013, 35(Suppl 2): 30–37. [19] 赵志刚, 高成章, 贾志闯, 等. 岩石破碎过程中能量演化的模拟分析 [J]. 矿业研究与开发, 2016, 36(11): 50–54. doi: 10.13827/j.cnki.kyyk.2016.11.011ZHAO Z G, GAO C Z, JIA Z C, et al. Rock crushing process simulation evolutionary mechanisms based on energy analysis [J]. Mining Research and Development, 2016, 36(11): 50–54. doi: 10.13827/j.cnki.kyyk.2016.11.011 [20] 于少群, 李理. 低渗储层岩石的力学性质及其控制因素——以牛庄洼陷牛35块沙三中为例 [J]. 地质科学, 2021, 56(3): 845–853. doi: 10.12017/dzkx.2021.043YU S Q, LI L. Mechanical properties of low permeability reservoir rocks and their controlling factors: take the Third Member of Shahejie Formation of Niu-35 fault block in Niu Zhuang Sag as an example [J]. Chinese Journal of Geology, 2021, 56(3): 845–853. doi: 10.12017/dzkx.2021.043 [21] 周学慧, 杜治利, 丁文龙, 等. 基于岩石破裂特征及能量演化的致密砂岩脆性指数优选 [J]. 中国矿业, 2020, 29(Suppl 2): 371–377.ZHOU X H, DU Z L, DING W L, et al. Brittleness index optimization of tight sandstone based on the characteristics of rock failure and energy evolution [J]. China Mining Magazine, 2020, 29(Suppl 2): 371–377. [22] 郭建卿, 苏承东. 不同煤试样冲击倾向性试验结果分析 [J]. 煤炭学报, 2009, 34(7): 897–902. doi: 10.3321/j.issn:0253-9993.2009.07.007GUO J Q, SU C D. Analysis on experimental results of rock burst tendency of different coal samples [J]. Journal of China Coal Society, 2009, 34(7): 897–902. doi: 10.3321/j.issn:0253-9993.2009.07.007 [23] 宫凤强, 闫景一, 李夕兵. 基于线性储能规律和剩余弹性能指数的岩爆倾向性判据 [J]. 岩石力学与工程学报, 2018, 37(9): 1993–2014. doi: 10.13722/j.cnki.jrme.2018.0232GONG F Q, YAN J Y, LI X B. A new criterion of rock burst proneness based on the linear energy storage law and the residual elastic energy index [J]. Chinese Journal of Rock Mechanics and Engineering, 2018, 37(9): 1993–2014. doi: 10.13722/j.cnki.jrme.2018.0232 -

下载:





