Structural Evolution in Molten Tin and Bismuth under Extreme Conditions
-
摘要: 液体作为物质的基本形态之一,广泛存在于自然界以及诸多工程领域所涉及的宽广热力学状态区间,探索和认知特定热力学条件下液体的结构、性质及其演化规律,无论在物理、化学、地球及行星科学等前沿基础领域,还是在冶金化工、国防安全等工程领域,都具有极其重要的科学与应用价值。在高温高压等极端条件下,即使单组分液体也可能存在两种或两种以上的结构,它们之间的转变称为液-液转变。简要回顾了金属熔体锡和铋在结构方面取得的最新进展,并讨论了如何在物理上更加合理地理解单组分物质中两种或多种液体的存在,为深入理解液体性质及复杂相图提供参考。Abstract: Liquids are an intriguing state of condensed matter with a density close to that of the solid-state but with all atoms undergoing continuous diffusive motions, resulting in an absence of long-range structural order. Understanding the structural evolution of liquids under extreme conditions is important for fundamental physics, chemistry, materials and planetary science. Two or more liquid states may exist even for single-component substances, which is known as liquid polymorphism, and the transition between them is called liquid-liquid transition. In situ experiments and atomic simulations can provide crucial insight into the nature of liquid-liquid phase transitions, paving the way toward understanding the complex phase diagrams and melting behavior under high pressure. In this paper, we reviewed the research progress on the structure of metallic molten Sn and Bi, and discussed how to gain a more physically understanding of the existence of two or more liquids in a single-component substance but also provided information for in-depth understanding of liquid properties and complex phase diagrams.
-
图 4 熔体Sn的折叠网络结构模型[29]:(a) 以六元环为主要特征的CRN结构,(b) 以四元环为主要特征的高温液体Sn的折叠网状结构
Figure 4. Folded-network structure model for molten Sn[29]: (a) a CRN structure featured by six-member ring; (b) the folded-network structure for high-temperature liquid Sn (The four-member rings are a noticeable structural feature of the folded network.)
图 7 熔体Bi的异常:(a) Bi熔体的电阻随温度的变化[55];(b) Bi熔体在高温高压下的结构[57](加热过程没有观测到明显的结构变化,但凝固后的结构与熔体结构有关,不同寻常的铁磁性源于液体结构的记忆效应)
Figure 7. Anomalies in liquid Bi: (a) electronic resistivity with temperature of liquid Bi[55], (b) g(r) of liquid Bi at various pressure and temperature conditions[57] (No apparent structural changes are observed during heating, but the solidified structure is related to the liquid one. Unusual ferromagnetism is ascribed to a structural memory effect in the molten state.)
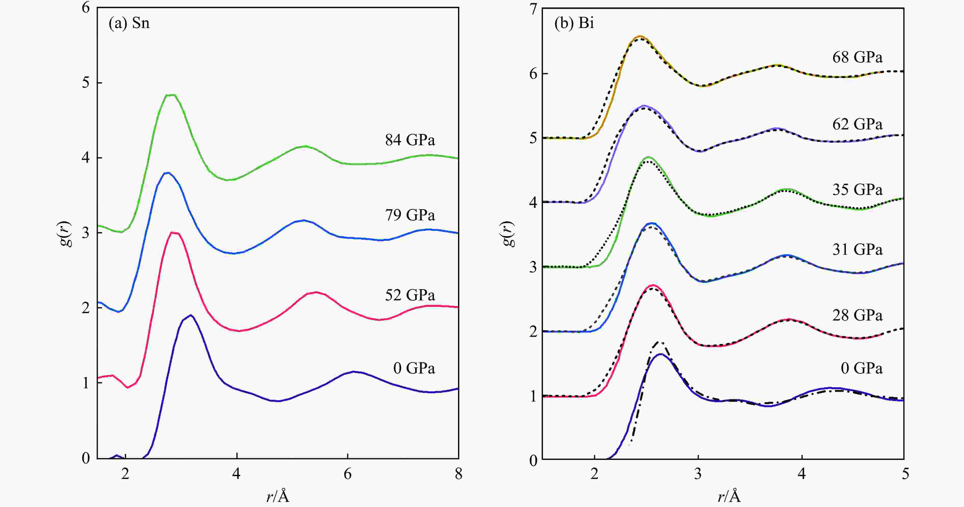
图 9 冲击压缩下熔体Sn[63]和Bi[64]的RDF(利用VISAR获得的密度反推得到的g(r)以虚线表示,常压下1100 K的g(r)数据[31]以点划线表示作为对比)
Figure 9. RDF of liquid-Sn[63] and Bi[64] under shock compression (The dotted profiles in (b) show the g(r) results obtained using sample densities determined using VISAR. The ambient pressure g(r)[31] at 1100 K is shown by dashed-dotted line in (b) for comparison.)
图 10 液体Sn[47, 63]和Bi[64-66]的结构随压力的演化:(a) q2/q1,(b) r2/r1,(c) 第一近邻配位数(Si[67-68]和Ge[67, 69]的数据也一并给出以做比较,虚线表示理想硬球模型,对应的q2/q1 = 1.86,r2/r1 = 1.91,第一近邻配位数为12),(d) 压力作用下结构的演化
Figure 10. Structural evolution of liquid Sn[47, 63] and Bi[64-66] under high pressure: (a) ratio of peak positions q2/q1 and (b) r2/r1, and (c) coordination number (CN) from high pressure liquid diffraction measurements of Si[67-68], Ge[67, 69], Sn, and Bi (The ideal values q2/q1=1.86, r2/r1=1.91 and CN=12 consistent with a simple hard-sphere liquid are indicated by the dotted lines.), (d) the configuration evolution under high pressure
-
[1] DEBENEDETTI P G. Metastable liquids: concepts and principles [M]. Princeton: Princeton University Press, 1996. [2] MISHIMA O, STANLEY H E. The relationship between liquid, supercooled and glassy water [J]. Nature, 1998, 396(6709): 329–335. doi: 10.1038/24540 [3] SASTRY S, ANGELL C A. Liquid-liquid phase transition in supercooled silicon [J]. Nature Materials, 2003, 2(11): 739–743. doi: 10.1038/nmat994 [4] SAIKA-VOIVOD I, SCIORTINO F, POOLE P H. Computer simulations of liquid silica: equation of state and liquid-liquid phase transition [J]. Physical Review E, 2000, 63(1): 011202. doi: 10.1103/PhysRevE.63.011202 [5] TONKOV E Y, PONYATOVSKY E G. Phase transformations of elements under high pressure [M]. Amsterdam: CRC Press, 2005. [6] 李任重, 武振伟, 徐莉梅. 液体-液体相变与反常特性 [J]. 物理学报, 2017, 66(17): 176410. doi: 10.7498/APS.66.176410LI R Z, WU Z W, XU L M. Liquid-liquid phase transition and anomalous propertie [J]. Acta Physica Sinica, 2017, 66(17): 176410. doi: 10.7498/APS.66.176410 [7] TANAKA H. Liquid-liquid transition and polyamorphism [J]. The Journal of Chemical Physics, 2020, 153(13): 130901. doi: 10.1063/5.0021045 [8] XU L M, KUMAR P, BULDYREV S V, et al. Relation between the widom line and the dynamic crossover in systems with a liquid-liquid phase transition [J]. Proceedings of the National Academy of Sciences of the United States of America, 2005, 102(46): 16558–16562. doi: 10.1073/pnas.0507870102 [9] LIMMER D T, CHANDLER D. The putative liquid-liquid transition is a liquid-solid transition in atomistic models of water [J]. The Journal of Chemical Physics, 2011, 135(13): 134503. doi: 10.1063/1.3643333 [10] TANAKA H. Bond orientational order in liquids: towards a unified description of water-like anomalies, liquid-liquid transition, glass transition, and crystallization [J]. The European Physical Journal E, 2012, 35(10): 113. doi: 10.1140/epje/i2012-12113-y [11] SMALLENBURG F, SCIORTINO F. Tuning the liquid-liquid transition by modulating the hydrogen-bond angular flexibility in a model for water [J]. Physical Review Letters, 2015, 115(1): 015701. doi: 10.1103/PhysRevLett.115.015701 [12] ANGELL C A. Supercooled water: two phases? [J]. Nature Materials, 2014, 13(7): 673–675. doi: 10.1038/nmat4022 [13] MARQUES M S, HERNANDES V F, LOMBA E, et al. Competing interactions near the liquid-liquid phase transition of core-softened water/methanol mixtures [J]. Journal of Molecular Liquids, 2020, 320: 114420. doi: 10.1016/j.molliq.2020.114420 [14] KIM K H, SPÄH A, PATHAK H, et al. Maxima in the thermodynamic response and correlation functions of deeply supercooled water [J]. Science, 2017, 358(6370): 1589–1593. doi: 10.1126/science.aap8269 [15] BEYE M, SORGENFREI F, SCHLOTTER W F, et al. The liquid-liquid phase transition in silicon revealed by snapshots of valence electrons [J]. Proceedings of the National Academy of Sciences of the United States of America, 2010, 107(39): 16772–16776. doi: 10.1073/pnas.1006499107 [16] CAUPIN F, HOLTEN V, QIU C, et al. Comment on “Maxima in the thermodynamic response and correlation functions of deeply supercooled water” [J]. Science, 2018, 360(6390): eaat1634. doi: 10.1126/science.aat1634 [17] ALLEN M P, TILDESLEY D J. Computer simulation of liquids [M]. Oxford: Clarendon Press, 1989. [18] DREWITT J W E, TURCI F, HEINEN B J, et al. Structural ordering in liquid gallium under extreme conditions [J]. Physical Review Letters, 2020, 124(14): 145501. doi: 10.1103/PhysRevLett.124.145501 [19] REICHERT H, KLEIN O, DOSCH H, et al. Observation of five-fold local symmetry in liquid lead [J]. Nature, 2000, 408(6814): 839–841. doi: 10.1038/35048537 [20] LEE G W, GANGOPADHYAY A K, KELTON K F, et al. Difference in icosahedral short-range order in early and late transition metal liquids [J]. Physical Review Letters, 2004, 93(3): 037802. doi: 10.1103/PhysRevLett.93.037802 [21] JAKSE N, PASTUREL A. Local order of liquid and supercooled zirconium by ab initio molecular dynamics [J]. Physical Review Letters, 2003, 91(19): 195501. doi: 10.1103/PhysRevLett.91.195501 [22] 边秀房, 王伟民, 李辉, 等. 金属熔体结构 [M]. 上海: 上海交通大学出版社, 2003.BIAN X F, WANG W M, LI H, et al. Structure in molten metals [M]. Shanghai: Shanghai Jiao Tong University Press, 2003. [23] WANG L, WANG Y Q, PENG C X, et al. Medium-range structural order in liquid Ni20Al80 alloy: experimental and molecular dynamics studies [J]. Physics Letters A, 2006, 350(5/6): 405–409. doi: 10.1016/j.physleta.2005.10.041 [24] ROIK O S, SAMSONNIKOV O V, KAZIMIROV V P, et al. Medium-range order in Al-based liquid binary alloys [J]. Journal of Molecular Liquids, 2010, 151(1): 42–49. doi: 10.1016/j.molliq.2009.11.001 [25] WASEDA Y. The structure of non-crystalline materials: liquids and amorphous solids [M]. New York: McGraw-Hill International Book Company, 1980. [26] BERNAL J D. A geometrical approach to the structure of liquids [J]. Nature, 1959, 183(4655): 141–147. doi: 10.1038/183141a0 [27] ZACHARIASEN W H. The atomic arrangement in glass [J]. Journal of the American Chemical Society, 1932, 54(10): 3841–3851. doi: 10.1021/ja01349a006 [28] IIDA T, GUTHRIE R I L. The thermophysical properties of metallic liquids [M]. Oxford: Oxford University Press, 2015. [29] XU L, WANG Z G, CHEN J, et al. Folded network and structural transition in molten tin [J]. Nature Communications, 2022, 13: 126. doi: 10.1038/S41467-021-27742-2 [30] WU A Q, GUO L J, LIU C S, et al. Internal friction behavior of liquid Bi-Sn alloys [J]. Physica B: Condensed Matter, 2005, 369(1): 51–55. doi: 10.1016/j.physb.2005.08.003 [31] GREENBERG Y, YAHEL E, GANOR M, et al. High precision measurements of the temperature dependence of the sound velocity in selected liquid metals [J]. Journal of Non-Crystalline Solids, 2008, 354: 4094–4100. doi: 10.1016/j.jnoncrysol.2008.05.038 [32] GITIS M B, MIKHAILOBV I G. Correlation of the velocity of sound and electrical conductivity in liquid metals [J]. Soviet Physics-Acoustics, 1966, 372: 11. [33] HAYASHI M, YAMADA H, NABESHIMA N, et al. Temperature dependence of the velocity of sound in liquid metals of group ⅩⅣ [J]. International Journal of Thermophysics, 2007, 28(1): 83–96. doi: 10.1007/s10765-007-0151-9 [34] ZU F Q, ZHU Z G, GUO L J, et al. Observation of an anomalous discontinuous liquid-structure change with temperature [J]. Physical Review Letters, 2002, 89(12): 125505. doi: 10.1103/PhysRevLett.89.125505 [35] BRAZHKIN V V, POPOVA S V, VOLOSHIN R N. High-pressure transformations in simple melts [J]. High Pressure Research, 1997, 15(5): 267–305. doi: 10.1080/08957959708240477 [36] UMNOV A G, BRAZHKIN V V. Study of liquid and solid tin at high temperatures and high pressures [J]. High Temperatures-High Pressures, 1993, 25(2): 221–231. [37] FURUKAWA K, ORTON B R, HAMOR J, et al. The structure of liquid tin [J]. Philosophical Magazine, 1963, 8(85): 141–155. doi: 10.1080/14786436308212495 [38] ITAMI T, MUNEJIRI S, MASAKI T, et al. Structure of liquid Sn over a wide temperature range from neutron scattering experiments and first-principles molecular dynamics simulation: a comparison to liquid Pb [J]. Physical Review B, 2003, 67(6): 480–485. doi: 10.1103/PhysRevB.67.064201 [39] ORTON B R. A double hard sphere model of liquid semi-metals: applications to bismuth and tin [J]. Zeitschrift für Naturforschung A, 1979, 34(12): 1547–1550. doi: 10.1515/zna-1979-1226 [40] ZOU X W, JIN Z Z, SHANG Y J. Static structure factor of non-simple liquid metals Bi, Ga, Sb, and Sn [J]. Physica Status Solidi B, 1987, 139(2): 365–370. doi: 10.1002/pssb.2221390202 [41] IKUTA D, KONO Y, SHEN G Y. Pressure and temperature dependence of the structure of liquid Sn up to 5.3 GPa and 1373 K [J]. High Pressure Research, 2016, 36(4): 533–548. doi: 10.1080/08957959.2016.1185520 [42] MON K K, ASHCROFT N W, CHESTER G V. Core polarization and the structure of simple metals [J]. Physical Review B, 1979, 19(10): 5103–5122. doi: 10.1103/PhysRevB.19.5103 [43] JANK W, HAFNER J. Structural and electronic properties of the liquid polyvalent elements: the group-Ⅳ elements Si, Ge, Sn, and Pb [J]. Physical Review B, 1990, 41(3): 1497–1515. doi: 10.1103/PhysRevB.41.1497 [44] HAFNER J, KAHL G. The structure of the elements in the liquid state [J]. Journal of Physics F: Metal Physics, 1984, 14(10): 2259–2278. doi: 10.1088/0305-4608/14/10/006 [45] SILBERT M, YOUNG W H. Liquid metals with structure factor shoulders [J]. Physics Letters A, 1976, 58(7): 469–470. doi: 10.1016/0375-9601(76)90487-4 [46] SADR-LAHIJANY M R, SCALA A, BULDYREV S V, et al. Liquid-state anomalies and the stell-hemmer core-softened potential [J]. Physical Review Letters, 1998, 81(22): 4895–4898. doi: 10.1103/PhysRevLett.81.4895 [47] NARUSHIMA T, HATTORI T, KINOSHITA T, et al. Pressure dependence of the structure of liquid Sn up to 19.4 GPa [J]. Physical Review B, 2007, 76(10): 104204. doi: 10.1103/PhysRevB.76.104204 [48] CHENG S J, BIAN X F, WANG W M, et al. Effect of copper, aluminum and tin addition on thermal contraction of indium melt clusters [J]. Physica B: Condensed Matter, 2005, 366(1/2/3/4): 67–73. doi: 10.1016/j.physb.2005.05.023 [49] LOU H B, WANG X D, CAO Q P, et al. Negative expansions of interatomic distances in metallic melts [J]. Proceedings of the National Academy of Sciences of the United States of America, 2013, 110(25): 10068–10072. doi: 10.1073/pnas.1307967110 [50] DING J, XU M, GUAN P F, et al. Temperature effects on atomic pair distribution functions of melts [J]. The Journal of Chemical Physics, 2014, 140(6): 064501. doi: 10.1063/1.4864106 [51] DING J, MA E. Computational modeling sheds light on structural evolution in metallic glasses and supercooled liquids [J]. NPJ Computational Materials, 2017, 3: 9. doi: 10.1038/s41524-017-0007-1 [52] SHENG H W, LUO W K, ALAMGIR F M, et al. Atomic packing and short-to-medium-range order in metallic glasses [J]. Nature, 2006, 439(7075): 419–425. doi: 10.1038/nature04421 [53] KELTON K F, LEE G W, GANGOPADHYAY A K, et al. First X-ray scattering studies on electrostatically levitated metallic liquids: demonstrated influence of local icosahedral order on the nucleation barrier [J]. Physical Review Letters, 2003, 90(19): 195504. doi: 10.1103/PhysRevLett.90.195504 [54] LORENZ C D, ZIFF R M. Precise determination of the bond percolation thresholds and finite-size scaling corrections for the sc, fcc, and bcc lattices [J]. Physical Review E, 1998, 57(1): 230–236. doi: 10.1103/PhysRevE.57.230 [55] ZU F Q. Temperature-induced liquid-liquid transition in metallic melts: a brief review on the new physical phenomenon [J]. Metals, 2015, 5(1): 395–417. doi: 10.3390/met5010395 [56] UMNOV A G, BRAZHKIN V V, POPOVA S V, et al. Pressure-temperature diagram of liquid bismuth [J]. Journal of Physics: Condensed Matter, 1992, 4(6): 1427–1431. doi: 10.1088/0953-8984/4/6/007 [57] SHU Y, YU D L, HU W T, et al. Deep melting reveals liquid structural memory and anomalous ferromagnetism in bismuth [J]. Proceedings of the National Academy of Sciences of the United States of America, 2017, 114(13): 3375–3380. doi: 10.1073/pnas.1615874114 [58] SU C, LIU Y G, WANG Z G, et al. Equation of state of liquid bismuth and its melting curve from ultrasonic investigation at high pressure [J]. Physica B: Condensed Matter, 2017, 524: 154–162. doi: 10.1016/j.physb.2017.08.049 [59] DI CICCO A. Multiple-edge EXAFS refinement: short-range structure in liquid and crystalline Sn [J]. Physical Review B, 1996, 53(10): 6174–6185. doi: 10.1103/PhysRevB.53.6174 [60] DI CICCO A, TRAPANANTI A, PRINCIPI E, et al. Polymorphism and metastable phenomena in liquid tin under pressure [J]. Applied Physics Letters, 2006, 89(22): 221912. doi: 10.1063/1.2397568 [61] FAN X B, XIANG S K, CAI L C. Temperature dependence of bismuth structures under high pressure [J]. Chinese Physics B, 2022, 31(5): 056101. doi: 10.1088/1674-1056/ac398d [62] RYGG J R, EGGERT J H, LAZICKI A E, et al. Powder diffraction from solids in the terapascal regime [J]. Review of Scientific Instruments, 2012, 83(11): 113904. doi: 10.1063/1.4766464 [63] BRIGGS R, GORMAN M G, ZHANG S, et al. Coordination changes in liquid tin under shock compression determined using in situ femtosecond X-ray diffraction [J]. Applied Physics Letters, 2019, 115(26): 264101. doi: 10.1063/1.5127291 [64] GORMAN M G, COLEMAN A L, BRIGGS R, et al. Femtosecond diffraction studies of solid and liquid phase changes in shock-compressed bismuth [J]. Scientific Reports, 2018, 8(1): 16927. doi: 10.1038/s41598-018-35260-3 [65] YAOITA K, TSUJI K, KATAYAMA Y, et al. The structure of liquid bismuth under pressure [J]. Journal of Non-Crystalline Solids, 1992, 150(1): 25–28. doi: 10.1016/0022-3093(92)90088-2 [66] LIN C L, SMITH J S, SINOGEIKIN S V, et al. A metastable liquid melted from a crystalline solid under decompression [J]. Nature Communications, 2017, 8: 14260. doi: 10.1038/ncomms14260 [67] TSUJI K, HATTORI T, MORI T, et al. Pressure dependence of the structure of liquid group 14 elements [J]. Journal of Physics: Condensed Matter, 2004, 16(14): S989–S996. doi: 10.1088/0953-8984/16/14/008 [68] FUNAMORI N, TSUJI K. Pressure-induced structural change of liquid silicon [J]. Physical Review Letters, 2002, 88(25): 255508. doi: 10.1103/PhysRevLett.88.255508 [69] KŌGA J, OKUMURA H, NISHIO K, et al. Simulational analysis of the local structure in liquid germanium under pressure [J]. Physical Review B, 2002, 66(6): 064211. doi: 10.1103/PhysRevB.66.064211 -

下载: