Numerical Simulation of Anti-Penetration of Al/CFRP/Hybrid Honeycomb Aluminum Composite Sandwich Multilayer Structure
-
摘要: 结合金属/复合材料层合结构的抗侵彻能力,基于混合蜂窝结构低成本、高韧性以及在低速冲击下吸能的特点,设计了一种Al/CFRP(carbon fiber reinforced plastics)/混合蜂窝铝复合夹芯多层结构,旨在利用各层结构特点,逐步降低弹体速度,高效吸收弹体动能,以达到防护效果。为探究Al/CFRP/混合蜂窝铝复合夹芯多层结构在弹体侵彻下的损伤演化规律及吸能特性,开展了Al/CFRP/混合蜂窝铝复合夹芯多层结构在弹体侵彻下的数值分析,探讨了冲击能量对多层结构抗侵彻性能的影响。结果表明:与Al/CFRP复合结构相比,引入混合蜂窝铝后,结构给予弹体的反作用力增大,在能量不变的情况下,弹体作用板的时间变短。在Al/CFRP/混合蜂窝铝复合夹芯多层结构抗侵彻过程中,Al板和CFRP芯层主要抵抗侵彻以降低弹体速度,混合蜂窝铝主要是吸能。在 40 J的冲击能量下,结构总吸能为36.79 J,比吸能为0.217 J/g,蜂窝铝芯层吸能占主要部分,吸能比率为30.3%;随着冲击能量的增大,蜂窝铝芯层的吸能比率增至56.2%,即冲击能量较大时蜂窝铝芯层的吸能效果更好。Abstract: Due to the low cost, high toughness and energy absorption characteristics of hybrid honeycomb structure under low velocity impact, an Al/carbon fiber reinforced plastics (CFRP)/hybrid honeycomb aluminum composite sandwich multilayer structure was designed. The kinetic energy of the projectile was supposed to be effectively absorbed and the protection was supposed to be achieved through gradually reducing the velocity of the projectile layer by layer. In order to investigate the damage evolution law and energy absorption characteristics, numerical analysis was carried out, and the impact energy effect on the penetration resistance of multilayer structure was discussed. It is found that, compared with the Al/CFRP composite structure, the reaction force given by the structure becomes larger for hybrid honeycomb aluminum. Hence, with an identical energy, the time of the projectile acting on the plate becomes shorter. In the process of anti-penetration of Al/CFRP/hybrid aluminum honeycomb composite sandwich multilayer, the Al plate and CFRP core mainly resist the penetration, and the honeycomb aluminum mainly absorbs the energy of the projectile. When the impact energy is 40 J, the total absorbed energy is 36.79 J, and the specific energy absorption is 0.217 J/g, the honeycomb aluminum core layer absorbs the main part of the energy with the proportion of 30.3%; as the impact energy increases, the proportion increases to 56.2%. This indicates that the energy absorption of the honeycomb aluminum core layer is better when the impact energy increases.
-
表 1 7075-T651铝合金的材料参数以及Johnson-Cook本构模型和失效模型参数
Table 1. Material parameters, Johnson-Cook constitutive model and failure model parameters of 7075-T651 aluminum alloy
$ \rho $/(kg·m−3) E/GPa v A/MPa B/MPa n m Tm/K 2810 71.7 0.33 520 477 0.52 1.61 893 Tt/K D1 D2 D3 D4 D5 ${\dot\varepsilon {_0}}$/s−1 293 0.096 0.049 3.465 0.016 1.099 0.0005 表 2 40 J冲击能量下峰值应力与吸能对比
Table 2. Comparison of peak stress and energy absorption when the impact energy is 40 J
Categories Peak force/kN Energy absorption/J This paper 3.48 21.42 Ref. [14] 3.58 22.08 Error/% 2.8 2.9 ρ/(kg·m−3) E11/GPa E12/GPa E13/GPa G12/GPa G13/GPa G23/GPa ν12 ν13 1560 141 9.7 9.7 5.2 5.2 3.4 0.34 0.34 ν23 Xt/MPa Xc/MPa Yt/MPa Yc/MPa S12/MPa S13/MPa S23/MPa 0.44 2703 1737 81 312 57 57 57 表 4 Al/CFRP/混合蜂窝铝复合夹芯多层结构的吸能情况
Table 4. Energy absorption of Al/CFRP/hybrid honeycomb aluminum composite sandwich multilayer structure
Core layer Energy absorption/J Mass/g Energy absorption ratio/% Specific energy absorption/(J·g−1) Upper aluminum plate 9.38 28.1 27.9 0.33 CFRP 9.59 23.4 28.5 0.41 Honeycomb aluminum 10.22 89.3 30.4 0.11 Lower aluminum plate 4.47 28.1 13.2 0.16 表 5 冲击能量的影响
Table 5. Effect of impact energy
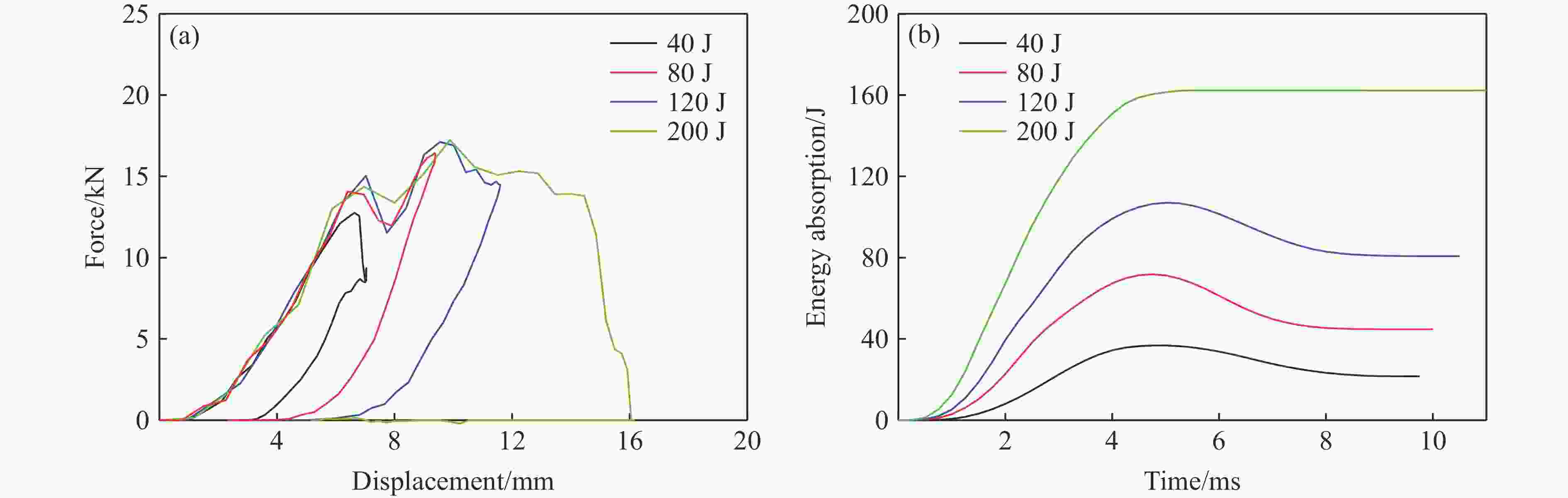
Impact energy/J Peak force/kN Maximum displacement/mm Energy absorption/J Specific energy absorption/(J·g−1) 40 12.7 7.0 36.8 0.218 80 16.4 9.0 71.8 0.425 120 17.1 11.6 107.0 0.633 200 17.2 16.1 162.3 0.959 -
[1] 孙卫兵. 纤维增强复合材料层合板抗高速破片侵彻性能研究 [D]. 武汉: 武汉理工大学, 2020.SUN W B. Research on penetration resistance of fiber reinforced composite laminates under high-speed fragments [D]. Wuhan: Wuhan University of Technology, 2020. [2] LI L J, SUN L Y, WANG T K, et al. Repeated low-velocity impact response and damage mechanism of glass fiber aluminium laminates [J]. Aerospace Science and Technology, 2019, 84: 995–1010. doi: 10.1016/j.ast.2018.11.038 [3] 马小敏, 李世强, 李鑫, 等. 编织Kevlar/Epoxy复合材料层合板在冲击荷载下的动态响应 [J]. 爆炸与冲击, 2016, 36(2): 170–176. doi: 10.11883/1001-1455(2016)02-0170-07MA X M, LI S Q, LI X, et al. Dynamic response of woven Kevlar/Epoxy composite laminates under impact loading [J]. Explosion and Shock Waves, 2016, 36(2): 170–176. doi: 10.11883/1001-1455(2016)02-0170-07 [4] 金子明, 沈峰, 曲志敏, 等. 纤维增强复合材料抗弹性能研究 [J]. 纤维复合材料, 1999, 16(3): 5–9.JIN Z M, SHEN F, QU Z M, et al. A study of anti-ballistic properties of FRP [J]. Fiber Composites, 1999, 16(3): 5–9. [5] ZHOU J J, WEN P H, WANG S N. Numerical investigation on the repeated low-velocity impact behavior of composite laminates [J]. Composites Part B: Engineering, 2020, 185: 107771. doi: 10.1016/j.compositesb.2020.107771 [6] JAROSLAW B, BARBARA S, PATRYK J. The comparison of low-velocity impact resistance of aluminum/carbon and glass fiber metal laminates [J]. Polymer Composites, 2016, 37(4): 1056–1063. doi: 10.1002/pc.23266 [7] RYAN S, SCHAEFER F, DESTEFANIS R, et al. A ballistic limit equation for hypervelocity impacts on composite honeycomb sandwich panel satellite structures [J]. Advances in Space Research, 2008, 41(7): 1152–1166. doi: 10.1016/j.asr.2007.02.032 [8] CHRISTIANSEN E L. Design and performance equations for advanced meteoroid and debris shields [J]. International Journal of Impact Engineering, 1993, 14(1): 145–156. doi: 10.1016/0734-743X(93)90016-Z [9] ZHANG D H, FEI Q G, ZHANG P W. Drop-weight impact behavior of honeycomb sandwich panels under a spherical impactor [J]. Composite Structures, 2017, 168: 633–645. doi: 10.1016/j.compstruct.2017.02.053 [10] MORADA G, OUADDAY R, VADEAN A, et al. Low-velocity impact resistance of ATH/epoxy core sandwich composite panels: experimental and numerical analyses [J]. Composites Part B: Engineering, 2017, 114: 418–431. doi: 10.1016/j.compositesb.2017.01.070 [11] GUO K L, ZHU L, LI Y G, et al. Experimental investigation on the dynamic behaviour of aluminum foam sandwich plate under repeated impacts [J]. Composite Structures, 2018, 200: 298–305. doi: 10.1016/j.compstruct.2018.05.148 [12] XU M M, HUANG G Y, DONG Y X, et al. An experimental investigation into the high velocity penetration resistance of CFRP and CFRP/aluminium laminates [J]. Composite Structures, 2018, 188: 450–460. doi: 10.1016/j.compstruct.2018.01.020 [13] 朱倩. 纤维金属层板抗高速冲击性能及损伤机理研究 [D]. 镇江: 江苏大学, 2020.ZHU Q. Study on impact resistance and damage mechanism of fiber metal laminates under high velocity impact [D]. Zhenjiang: Jiangsu University, 2020. [14] 李毅翔. Al/CFRP混杂层合板抗低速冲击性能研究 [D]. 长沙: 湖南大学, 2020.LI Y X. Study on low velocity impact resistance of Al/CFRP hybrid structures [D]. Changsha: Hunan University, 2020. [15] HASHIN Z. Failure criteria for unidirectional fiber composites [J]. Journal of Applied Mechanics, 1980, 47(2): 329–334. doi: 10.1115/1.3153664 [16] 刘礼平, 段科好, 徐卓, 等. 碳纤维增强树脂基复合材料层合板胶螺混合连接失效机制 [J]. 复合材料学报, 2023, 40(1): 592–602. doi: 10.13801/j.cnki.fhclxb.20220215.001LIU L P, DUAN K H, XU Z, et al. Failure mechanism of carbon fiber reinforced polymer bonded-bolted hybrid connection [J]. Acta Materiae Compositae Sinica, 2023, 40(1): 592–602. doi: 10.13801/j.cnki.fhclxb.20220215.001 [17] XU M C, LIU D B, WANG P D, et al. In-plane compression behavior of hybrid honeycomb metastructures: theoretical and experimental studies [J]. Aerospace Science and Technology, 2020, 106: 106081. doi: 10.1016/j.ast.2020.106081 -

下载: