Backward Integration Method for Multilayer Target Quasi-Isentropic Compression Experiments
-
摘要: 针对磁驱动和激光驱动准等熵压缩实验物理中多层结构靶设计和实验数据处理的需求,在反积分处理方法的基础上,提出了多层靶的层间传递方法,实现了多层靶内加载历史的反演计算。通过正、反积分数值实验以及激光驱动实验的正、反计算,验证了多层靶中反积分数据处理方法的有效性,在绝大部分计算范围内,多层靶的反积分处理精度可以达到1%以内。利用反积分方法开展了多层靶物理实验的波形设计,并分析了不同厚度胶层的多层靶对斜波加载实验的影响。Abstract: According to the requirements of target structure design and experimental data processing in multilayer target quasi-isentropic compression experiments, an interlayer transfer method for multilayer targets was proposed based on the backward integration method, the backward calculation of multilayer targets from the measuring surface to the loading surface or laser ablation surface was realized. Through the forward and backward integration numerical experiments and the application in laser driven experiment, the effectiveness of the backward integration method in multilayer targets was verified, and the backward integration processing accuracy of multilayer targets can reach within 1% in most of the calculation area. The waveform design of quasi-isentropic compression multilayer target experiments was carried out by backward integration method, and the influence of multilayer targets with different thicknesses of glue on quasi-isentropic compression experiments was analyzed.
-
Key words:
- quasi-isentropic compression /
- multilayer target /
- backward integration /
- laser driven /
- glue layer
-
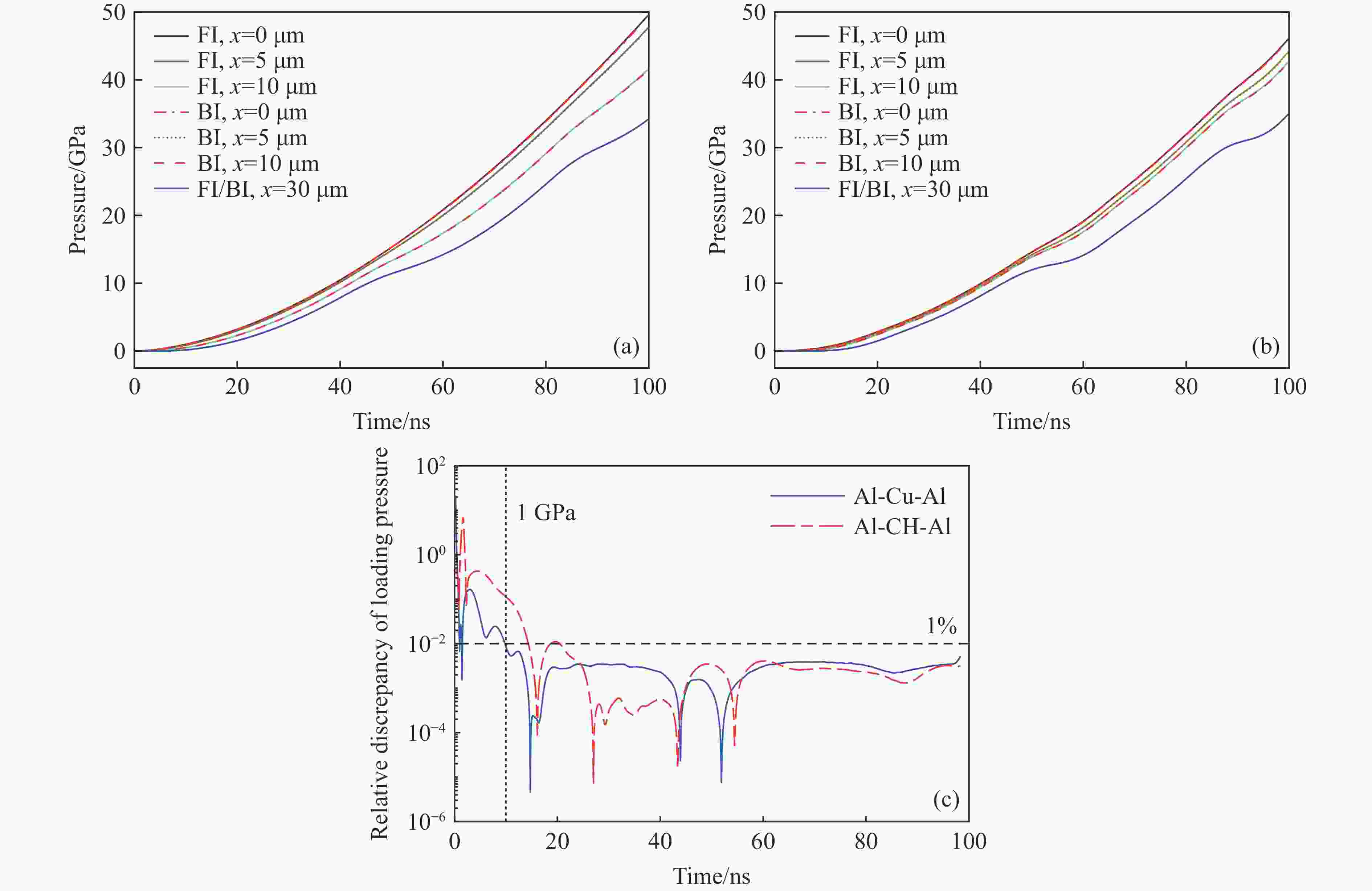
图 2 以两侧为铝的夹层样品为例的正、反积分法计算得到的各界面的压力历史(从上到下分别为加载面(红色)、夹层前后界面和后测量面(蓝色)):(a) Al-Cu-Al靶材料,Cu材料的阻抗约为两侧Al材料阻抗的3倍;(b) Al-CH-Al靶材料,CH材料的阻抗约为两侧Al材料阻抗的1/3;(c) 反积分法计算的加载面压力与初始加载压力的相对差异
Figure 2. Pressure histories on loading surface from forward integration (FI) and backward integration (BI), the top curves (red) are correlated to loading surface and the bottom curve (blue) is the rear measured surface: (a) Al-Cu-Al target, the impedance of Cu material is about 3 times that of Al material; (b) Al-CH-Al target, the impedance of CH material is about 1/3 times that of Al material; (c) relative discrepancy between the loading surface pressure from backward integration and initial loading pressure
图 7 考虑不同胶层厚度的多层靶的反积分压力云图:(a) 0.1
$ \text{μ}\mathrm{m} $ ,(b) 1.0$ \text{μ}\mathrm{m} $ ,(c) 5.0$ \text{μ}\mathrm{m} $ ,(d) 10.0$ \text{μ}\mathrm{m} $ Figure 7. Pressure contours of multilayer baseplate with different glue thicknesses: (a) 0.1
$ \text{μ}\mathrm{m} $ , (b) 1.0$ \text{μ}\mathrm{m} $ , (c) 5.0$ \text{μ}\mathrm{m} $ , (d) 10.0$ \text{μ}\mathrm{m} $ -
[1] FRATANDUONO D E, SMITH R F, ALI S J, et al. Probing the solid phase of noble metal copper at terapascal conditions [J]. Physical Review Letters, 2020, 124(1): 015701. doi: 10.1103/PhysRevLett.124.015701 [2] KRAUS R G, HEMLEY R J, ALI S J, et al. Measuring the melting curve of iron at super-Earth core conditions [J]. Science, 2022, 375(6577): 202–205. doi: 10.1126/science.abm1472 [3] HAYES D B. Backward integration of the equations of motion to correct for free surface perturbations: SAND2001−1440 [R]. Livermore: Sandia National Laboratories, 2001. [4] DAVIS J P. Experimental measurement of the principal isentrope for aluminum 6061-T6 to 240 GPa [J]. Journal of Applied Physics, 2006, 99(10): 103512. doi: 10.1063/1.2196110 [5] SEAGLE C T, PORWITZKY A J. Shock-ramp compression of tin near the melt line [J]. AIP Conference Proceedings, 2018, 1979(1): 040005. doi: 10.1063/1.5044783 [6] ROTHMAN S D, ALI S J, BROWN J L, et al. Shock-ramp analysis test problem [J]. Journal of Applied Physics, 2021, 129(18): 185901. doi: 10.1063/5.0045562 [7] 王刚华, 柏劲松, 孙承纬, 等. 准等熵压缩流场反演技术研究 [J]. 高压物理学报, 2008, 22(2): 149–152. doi: 10.11858/gywlxb.2008.02.007WANG G H, BAI J S, SUN C W, et al. Backward integration method for tracing isentropic compression field [J]. Chinese Journal of High Pressure Physics, 2008, 22(2): 149–152. doi: 10.11858/gywlxb.2008.02.007 [8] 王刚华, 孙承纬, 王桂吉, 等. 带窗口准等熵压缩实验的流场反演技术 [J]. 爆炸与冲击, 2009, 29(1): 101–104. doi: 10.11883/1001-1455(2009)01-0101-04WANG G H, SUN C W, WANG G J, et al. Backward analysis for isentropic compression experiments with windows backed on samples [J]. Explosion and Shock Waves, 2009, 29(1): 101–104. doi: 10.11883/1001-1455(2009)01-0101-04 [9] 张红平, 孙承纬, 李牧, 等. 准等熵实验数据处理的反积分方法研究 [J]. 力学学报, 2011, 43(1): 105–111. doi: 10.6052/0459-1879-2011-1-lxxb2010-053ZHANG H P, SUN C W, LI M, et al. Backward integration method in data processing of quasi-isentropic compression experiment [J]. Chinese Journal of Theoretical and Applied Mechanics, 2011, 43(1): 105–111. doi: 10.6052/0459-1879-2011-1-lxxb2010-053 [10] 张红平, 柏劲松, 王刚华. 复杂加载下材料动态响应的数据反演技术 [J]. 计算力学学报, 2013, 30(6): 790–795. doi: 10.7511/jslx201306007ZHANG H P, BAI J S, WANG G H. Material dynamic response analysis under complex loading using backward integration method [J]. Chinese Journal of Computational Mechanics, 2013, 30(6): 790–795. doi: 10.7511/jslx201306007 [11] 张红平, 罗斌强, 王桂吉, 等. 基于特征线反演的斜波加载实验数据处理与分析 [J]. 高压物理学报, 2016, 30(2): 123–129. doi: 10.11858/gywlxb.2016.02.006ZHANG H P, LUO B Q, WANG G J, et al. Inverse characteristic analysis of ramp loading experiments [J]. Chinese Journal of High Pressure Physics, 2016, 30(2): 123–129. doi: 10.11858/gywlxb.2016.02.006 [12] RIGG P A, KNUDSON M D, SCHARFF R J, et al. Determining the refractive index of shocked [100] lithium fluoride to the limit of transmissibility [J]. Journal of Applied Physics, 2014, 116(3): 033515. doi: 10.1063/1.4890714 [13] CHAURASIA S, TRIPATHI S, LESHMA P, et al. Shock pressure measurements in polyvinyl alcohol (PVA) films using multi-frame optical shadowgraphy [J]. Journal of Physics: Conference Series, 2012, 377: 012042. doi: 10.1088/1742-6596/377/1/012042 -

下载:







