Effect of Initiation Eccentricity on Shaped Charge Jet Forming Process and Power Parameters
-
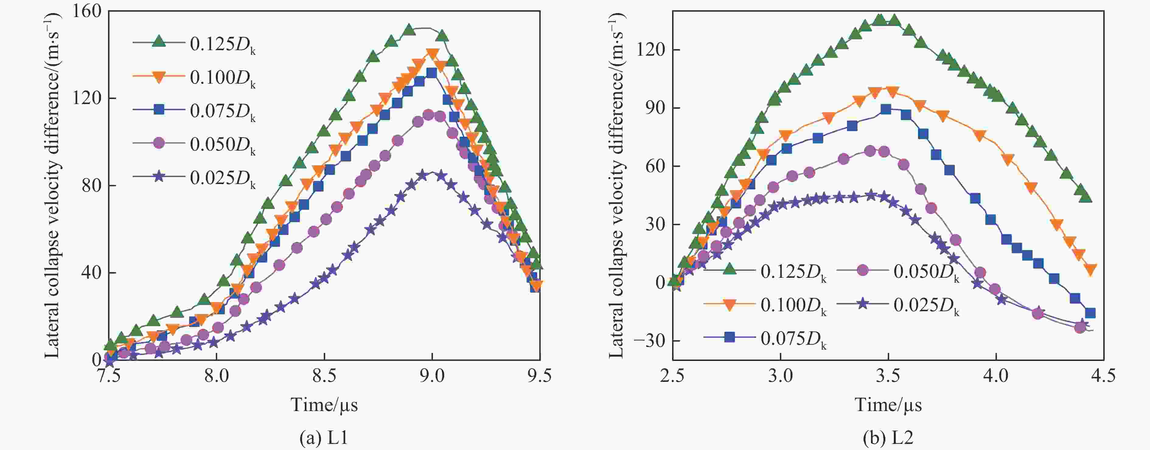
摘要: 为了研究起爆偏心对聚能射流的影响,运用有限元软件LS-DYNA模拟了不同起爆偏心量(0.025Dk~0.125Dk,Dk为装药直径)下射流成型及其破甲过程,探究了药型罩非对称压垮程度、射流形态以及横向速度的变化规律,建立了理论模型以分析不同偏心量下射流横向速度分布情况,并基于正交试验设计理论和方差分析法揭示了各因素对评价指标影响程度的显著差异。结果表明:药型罩非对称压垮程度及射流横向速度均与偏心量呈正相关变化趋势。偏心量为0.025Dk时,射流侵彻深度仅下降0.7%;偏心量为0.050Dk时,侵彻深度下降突跃为12.4%;随着偏心量的增加,侵彻深度继续下降。此外,适当增大壁厚、罩顶装药高度可削弱起爆偏心对射流横向速度的影响。Abstract: In order to study the influence of off-axis initiation on shaped charge jet, the finite element software LS-DYNA was used to simulate the jet forming and armor breaking process under different eccentricities (0.025Dk–0.125Dk, Dk is shaped charge diameter). The asymmetric collapse degree of the liner, jet shape and lateral velocity were investigated. A theoretical model was established to analyze the lateral velocity distribution of jet under different eccentricities. Based on the orthogonal experimental design theory and analysis of variance, the significant difference of the influence degree of each factor on the evaluation index was discussed. The results show that the degree of asymmetric collapse and lateral velocity of jet are positively correlated with the offset. When the offset is 0.025Dk, the percentage of penetration depth was only 0.7%. However, when the eccentricity was 0.050Dk, the percentage of penetration depth suddenly jumped to 12.4%. Moreover, the penetration depth continues to decrease with the increase of offset, seriously affecting the jet’s penetration performance. In addition, the influence of off-axis initiation on jet lateral velocity can be compensated by increasing the thickness of liner and the explosive height above liner.
-
Key words:
- shaped charge /
- off-axis initiation /
- tracer method /
- armor-penetrating power /
- orthogonal design /
- variance analysis
-
表 1 聚能装药的几何尺寸
Table 1. Structural parameters of shaped charge
Charge diameter Explosive height above liner Cone angle/(°) Thickness of liner Radius of liner curvature Brust height Dk 0.5Dk 60 0.020Dk 0.037 5Dk 3Dk ρ/(g·cm−3) D/(m·s−1) pCJ/GPa A0/GPa B0/GPa R1 R2 1.79 8 730 33.8 795.2 20.2 4.64 1.29 ρ/(g·cm−3) G0/GPa σy/GPa C0/(km·s−1) s1 s2 γ0 8.96 47.7 0.64 3.94 1.49 0 2 表 4 射流成型参数对比(30 μs)
Table 4. Comparison of jet formation parameters (30 μs)
Head jet Tail jet Length Jet deviation vh,sim/(m·s−1) vh,exp/(m·s−1) δ/% vt,sim/(m·s−1) vt,exp/(m·s−1) δ/% Lsim/cm Lexp/cm δ/% ξsim/(°) ξexp/(°) δ/% 6 404 6 600 −2.9 622 745 −16.5 13.45 13.60 −1.1 1.25 1.15 8.6 表 5 正交试验设计
Table 5. Orthogonal test design
Project Factor Evaluation indicator 1 2 3 va/(m·s−1) vb/(m·s−1) L/cm 1 Ⅰ(0.012 5Dk) Ⅰ(0.020Dk) Ⅰ(0.5Dk) 6 384 45.1 8.68 2 Ⅰ(0.012 5Dk) Ⅱ(0.025Dk) Ⅱ(0.8Dk) 6 260 26.2 9.02 3 Ⅰ(0.012 5Dk) Ⅲ(0.030Dk) Ⅲ(1.0Dk) 6 130 17.9 8.93 4 Ⅱ(0.025Dk) Ⅰ(0.020Dk) Ⅱ(0.8Dk) 6 554 78.2 9.18 5 Ⅱ(0.025Dk) Ⅱ(0.025Dk) Ⅲ(1.0Dk) 6 401 57.4 9.02 6 Ⅱ(0.025Dk) Ⅲ(0.03Dk) Ⅰ(0.5Dk) 5 738 75.5 8.76 7 Ⅲ(0.05Dk) Ⅰ(0.020Dk) Ⅲ(1.0Dk) 6 710 154.1 9.11 8 Ⅲ(0.05Dk) Ⅱ(0.025Dk) Ⅰ(0.5Dk) 6 023 187.0 8.54 9 Ⅲ(0.05Dk) Ⅲ(0.030Dk) Ⅱ(0.8Dk) 5 993 135.4 8.94 表 6 计算结果
Table 6. Calculation results
Factor va/(m·s−1) L/cm vb/(m·s−1) Ⅰ Ⅱ Ⅲ Rj Ⅰ Ⅱ Ⅲ Rj Ⅰ Ⅱ Ⅲ Rj K1 18 774 18 693 18 726 26.63 26.96 26.59 89.2 211.1 476.5 K2 19 647 18 684 17 862 26.97 26.58 26.63 277.4 270.6 228.8 K3 18 144 18 807 19 242 25.98 27.14 27.06 307.6 239.8 229.4 k1 6 258 6 231 6 242 27 8.87 8.98 8.85 0.13 29.7 70.4 158.8 129.1 k2 6 549 6 228 5 954 595 8.99 8.86 8.88 0.13 92.5 90.2 76.3 16.2 k3 6 048 6 269 6 414 366 8.66 9.04 9.02 0.38 102.5 79.9 76.5 26.0 -
[1] 王钰婷, 黄正祥, 贾鑫, 等. 椭圆形截面聚能装药射流成型及侵彻特性 [J]. 含能材料, 2021, 29(2): 96–106. doi: 10.11943/CJEM2020276WANG Y T, HUANG Z X, JIA X, et al. Jet formation and penetration characteristics of shaped charge with elliptical cross-section [J]. Chinese Journal of Energetic Materials, 2021, 29(2): 96–106. doi: 10.11943/CJEM2020276 [2] AYISIT O, CORUH M M. Investigation of off-axis initiation of long L/D hemispherical shaped charge warheads [J]. Procedia Engineering, 2013, 58: 487–495. doi: 10.1016/j.proeng.2013.05.056 [3] 李如江, 张晋红, 王建波, 等. 偏心起爆对聚能射流形成的影响 [J]. 弹箭与制导学报, 2012, 32(1): 85–88. doi: 10.3969/j.issn.1673-9728.2012.01.025LI R J, ZHANG J H, WANG J B, et al. The effect of eccentric initiation on shaped charge jet formation [J]. Journal of Projectiles, Rockets, Missiles and Guidance, 2012, 32(1): 85–88. doi: 10.3969/j.issn.1673-9728.2012.01.025 [4] AYISIT O. The influence of asymmetries in shaped charge performance [J]. International Journal of Impact Engineering, 2008, 35(12): 1399–1404. doi: 10.1016/j.ijimpeng.2008.07.027 [5] 刘健峰, 龙源, 纪冲, 等. 含偏心起爆对EFP战斗部飞行特性的影响 [J]. 爆炸与冲击, 2015, 35(3): 335–342. doi: 10.11883/1001-1455-(2015)03-0335-08LIU J F, LONG Y, JI C, et al. Effect of eccentric initiation on the flight characteristics and ballistic dispersion of EFP [J]. Explosion and Shock Waves, 2015, 35(3): 335–342. doi: 10.11883/1001-1455-(2015)03-0335-08 [6] PACK D C, CURTIS J P. On the effect of asymmetries on the jet from a linear shaped charge [J]. Journal of Applied Physics, 1990, 67(11): 6701–6704. doi: 10.1063/1.345107 [7] 秦承森, 石艺娜, 冯其京, 等. 非对称射流形成的几何理论(一)——几何封闭条件 [J]. 爆炸与冲击, 2007, 27(6): 493–500. doi: 10.3321/j.issn:1001-1455.2007.06.003QIN C S, SHI Y N, FENG Q J, et al. The geometrical theory for the formation of asymmetric jet (Ⅰ): the geometrical close condition [J]. Explosion and Shock Waves, 2007, 27(6): 493–500. doi: 10.3321/j.issn:1001-1455.2007.06.003 [8] BROWN J, SOFTLEY I D, EDWARDS P. Experimental study of shaped charges with built-in asymmetries [J]. Propellants, Explosives, Pyrotechnics, 1993, 18(5): 255–258. doi: 10.1002/prep.19930180504 [9] BROWN J, CURTIS J P, COOK D D. The formation of jets from shaped charges in the presence of asymmetry [J]. Journal of Applied Physics, 1992, 72(6): 2136–2143. doi: 10.1063/1.352329 [10] FEDOROV S V. Numerical simulation of the formation of shaped-charge jets from hemispherical liners of degressive thickness [J]. Combustion, Explosion, and Shock Waves, 2016, 52(5): 600–612. doi: 10.1134/S0010508216050117 [11] 贾伟, 吴国东, 王志军, 等. 制造误差对金属射流威力影响的仿真研究 [J]. 弹箭与制导学报, 2011, 31(4): 99–101, 132. doi: 10.3969/j.issn.1673-9728.2011.04.029JIA W, WU G D, WANG Z J, et al. Strength simulation study of metallic jet effected by technical errors [J]. Journal of Projectiles, Rockets, Missiles and Guidance, 2011, 31(4): 99–101, 132. doi: 10.3969/j.issn.1673-9728.2011.04.029 [12] 刘建荣, 张国伟, 徐立新, 等. 药型罩加工精度对破甲战斗部威力影响的研究 [J]. 弹箭与制导学报, 2012, 32(3): 114–117. doi: 10.3969/j.issn.1673-9728.2012.03.032LIU J R, ZHANG G W, XU L X, et al. The research of influence of liner’s precision on the power of armor-penetrating warhead [J]. Journal of Projectiles, Rockets, Missiles and Guidance, 2012, 32(3): 114–117. doi: 10.3969/j.issn.1673-9728.2012.03.032 [13] PROSKURYAKOV E V, SOROKIN M V, FOMIN V M. Rebounding of a shaped-charge jet [J]. Journal of Applied Mechanics and Technical Physics, 2007, 48(5): 633–635. doi: 10.1007/s10808-007-0080-1 [14] BROWN J, EDWARDS P J, LEE P R. Studies of shaped charges with built-in asymmetries. Part Ⅱ: modelling [J]. Propellants, Explosives, Pyrotechnics, 1996, 21(2): 59–63. doi: 10.1002/prep.19960210202 [15] 时党勇, 李裕春, 张胜民. 基于ANSYS/LS-DYNA 8.1进行显式动力分析 [M]. 北京: 清华大学出版社, 2005: 295−296.SHI D Y, LI Y C, ZHANG S M. Explicit dynamic analysis based on ANSYS/LS-DYNA 8.1 [M]. Beijing: Tsinghua University Press, 2005: 295–296. [16] 黄正祥. 聚能装药理论与实践 [M]. 北京: 北京理工大学出版社, 2014.HUANG Z X. Theory and practice of shaped charge [M]. Beijing: Beijing Institute of Technology Press, 2014. [17] 侯秀成, 蒋建伟, 陈智刚. 有效射流结构模式的数值模拟 [J]. 爆炸与冲击, 2014, 34(1): 35–40. doi: 10.3969/j.issn.1001-1455.2014.01.007HOU X C, JIANG J W, CHEN Z G. Numerical simulation on structure modules of effective jet [J]. Explosion and Shock Waves, 2014, 34(1): 35–40. doi: 10.3969/j.issn.1001-1455.2014.01.007 [18] 李磊, 马宏昊, 沈兆武. 基于正交设计方法的双锥罩结构优化设计 [J]. 爆炸与冲击, 2013, 33(6): 567–573. doi: 10.3969/j.issn.1001-1455.2013.06.002LI L, MA H H, SHEN Z W. Optimal design of biconical liner structure based on orthogonal design method [J]. Explosion and Shock Waves, 2013, 33(6): 567–573. doi: 10.3969/j.issn.1001-1455.2013.06.002 -

下载: