Criterion of Plate Structure Damage Caused by Underwater Explosion Shock Wave Based on Effective Impulse
-
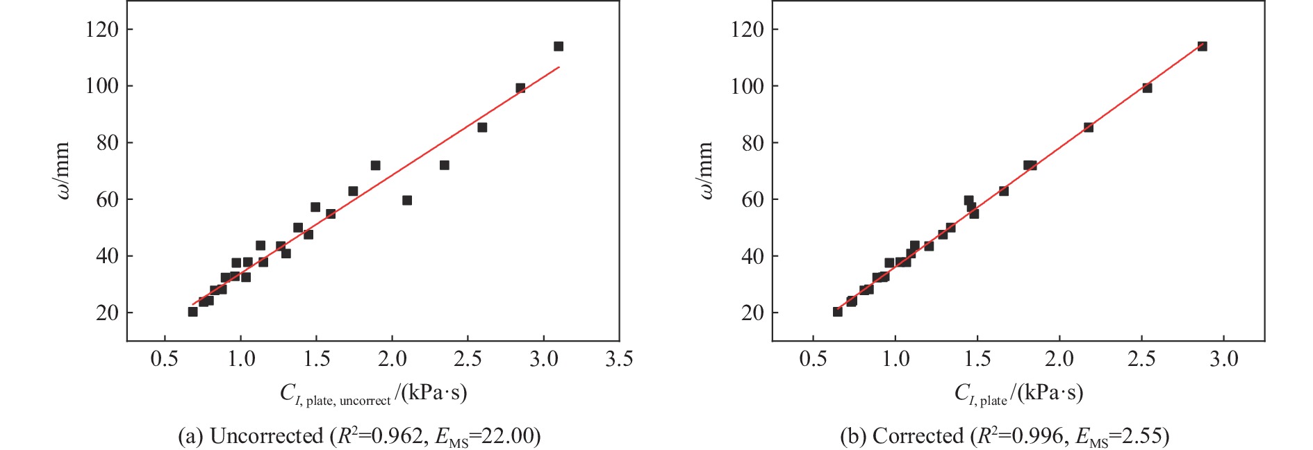
摘要: 为了准确评估水下爆炸冲击波对平板结构造成的毁伤效果,提出以有效冲量作为毁伤准则的威力参量类别,并给出了考虑球面波斜入射效应的平板结构有效冲量计算方法。新准则通过动量守恒方程计算得到的平板结构实际获得冲量对比毁伤效果,表现为冲击波峰压、时间常数以及板结构特征参数的联合形式。借助数值模拟与文献数据,对比分析了准则的准确度和适用性。结果表明:相对于冲击波峰压、比冲量、能流密度等单一威力参量,新毁伤准则在评估平板结构的毁伤程度时误差更小;在对比不同炸药毁伤威力以及预估未知工况毁伤效果两种应用场景中,新准则的相对误差均在10%以内。新提出的毁伤准则用于对比和评估水下爆炸冲击波对板结构的毁伤效果时具有良好的通用性。Abstract: In order to accurately evaluate damage effect of underwater explosion shock wave on flat plate structure, the power parameter category with the effective impulse as the damage criterion is proposed, and a correction method considering the oblique incidence effect of the spherical wave is given. The new criterion compares the damage effect by the actual impulse of the plate structure, which is calculated by the momentum conservation equation. The new criterion is expressed in the joint form of peak pressure of shock wave, time constant and characteristic parameters of plate structure. With the help of simulation and literature data, the accuracy and applicability of the criteria are compared and analyzed. The results show that the new damage criterion has less error in evaluating the damage degree of flat plate structure, compared with single power parameters such as peak pressure of shock wave, specific impulse and energy flux density. In comparing the damage power of different explosives and predicting the damage effect under unknown conditions, the relative error of the new criterion is within 10%. The proposed damage criterion has good versatility when used to compare and evaluate the damage effect of underwater explosion shock wave on plate structure.
-
Key words:
- underwater explosion /
- shock wave /
- damage criterion /
- flat plate structure /
- effective impulse
-
表 1 数值模拟计算材料模型
Table 1. Material model in numerical simulation
Material EOS Strength model Failure model TNT-2 JWL Air Ideal gas Water Shock Hydro Q235 steel Linear Johnson-Cook Johnson-Cook 表 2 冲击波冲量与时间常数数值模拟结果验证
Table 2. Verification of simulation results of shock wave impulse and time constant
Standoff
distance/mW/g Time decay constants Impulse Numerical
simulation/msEmpirical
formula/msRelative
error/%Numerical
simulation/(kPa·s)Empirical
formula/(kPa·s)Relative
error/%0.4 50 0.0300 0.0315 −4.87 1.976 1.969 0.35 0.5 50 0.0319 0.0332 −4.06 1.607 1.614 −0.45 0.6 50 0.0349 0.0346 0.91 1.369 1.372 −0.26 表 3 冲击波作用下圆板的变形挠度
Table 3. Deflection of circular plate under shock wave
D $\omega $/mm W=50 g W=100 g W=200 g W=400 g W=800 g 10 59.52 71.98 85.32 99.22 113.90 16 40.85 47.53 54.85 62.84 71.83 20 32.46 37.73 43.40 49.92 57.24 26 24.24 28.13 32.77 37.82 43.60 30 20.29 23.75 27.86 32.39 37.54 表 4 炸药的相关系数 α,
$k $ Table 4. Coefficients α,
$k $ for explosivesExplosive type ${\alpha {_p}}$ ${k{_p}}$ ${\alpha {_\theta }}$ ${k{_\theta }}$ TNT 1.13 52.4 −0.23 0.084 H-6 1.19 59.2 −0.28 0.088 Pentolite 1.14 56.5 −0.23 0.084 表 5 不同工况下结构变形挠度计算误差对比
Table 5. Comparison of calculation errors of deflection under different working conditions
CI,plate Explosive W/g Standoff distance/m $\omega $/mm Relative error of the same explosive/% Relative error with TNT/% 1.0 TNT 200 0.749 3.53 3.68 TNT 400 1.039 3.66 3.68 H-6 200 0.849 3.61 3.05 −1.95 H-6 400 1.166 3.72 3.05 −1.95 Pentolite 200 0.806 3.34 3.29 5.56 Pentolite 400 1.114 3.45 3.29 5.56 1.6 TNT 200 0.452 6.00 0.67 TNT 400 0.647 6.04 0.67 H-6 200 0.530 6.16 −1.79 −1.14 H-6 400 0.745 6.05 −1.79 −1.14 Pentolite 200 0.493 5.91 −2.71 3.16 Pentolite 400 0.699 5.75 −2.71 3.16 表 6 3种工况下的结构变形挠度
Table 6. Deflections under three working conditions
Standoff distance/m $\omega $/mm W/kg 2.131 49.68 1 1.705 90.86 1 1.421 120.30 1 表 7 平板结构变形挠度预测值与实验结果的对比
Table 7. Comparison between predicted and experimental values of deflection
W/kg Standoff distance/m $\omega $/mm Predicted deflection/mm Prediction error/% 1 1.136 149.94 160.26 6.88 1 0.710 243.81 222.24 −8.85 -
[1] KEIL A H. The response of ships to underwater explosions [R]. New York: Society of Naval Architects and Marine Engineers, 1961: 43. [2] REID W D. The response of surface ships to underwater explosions [R]. Canberra, Australia: Defence Science and Technology Organization, 1996. [3] 任鹏, 田阿利, 张伟, 等. 水下冲击波载荷作用下气背固支圆板动态毁伤实验 [J]. 爆炸与冲击, 2016, 36(5): 617–624. doi: 10.11883/1001-1455(2016)05-0617-08REN P, TIAN A L, ZHANG W, et al. Failure mode of clamped air-back circular panel subjected to underwater shock loading [J]. Explosion and Shock Waves, 2016, 36(5): 617–624. doi: 10.11883/1001-1455(2016)05-0617-08 [4] 冯晓伟, 卢永刚, 李永泽. 飞机目标在爆炸冲击波作用下的毁伤效应评估方法 [J]. 高压物理学报, 2019, 33(4): 045101. doi: 10.11858/gywlxb.20180687FENG X W, LU Y G, LI Y Z. Damage assessment method of aircraft targets under blast wave [J]. Chinese Journal of High Pressure Physics, 2019, 33(4): 045101. doi: 10.11858/gywlxb.20180687 [5] 王树山, 张静骁, 王传昊, 等. 水中爆炸冲击波对靶体结构的毁伤准则研究 [J]. 火炸药学报, 2020, 43(3): 262–270. doi: 10.14077/j.issn.1007-7812.201909015WANG S S, ZHANG J X, WANG C H, et al. Damage criterion of underwater explosion shock wave on target [J]. Chinese Journal of Explosives & Propellants, 2020, 43(3): 262–270. doi: 10.14077/j.issn.1007-7812.201909015 [6] 胡宏伟, 宋浦, 王建灵, 等. 炸药水中爆炸冲击因子的新型计算方法 [J]. 爆炸与冲击, 2014, 34(1): 11–16. doi: 10.11883/1001-1455(2014)01-0011-06HU H W, SONG P, WANG J L, et al. A new calculation method for shock factor of underwater explosion [J]. Explosion and Shock Waves, 2014, 34(1): 11–16. doi: 10.11883/1001-1455(2014)01-0011-06 [7] 卢熹, 王树山, 王新颖. 水中爆炸对鱼雷壳体的毁伤准则和判据研究 [J]. 兵工学报, 2016, 37(8): 1469–1475. doi: 10.3969/j.issn.1000-1093.2016.08.019LU X, WANG S S, WANG X Y. Research on damage criterion of torpedo shell subjected to underwater explosive shock waves [J]. Acta Armamentarii, 2016, 37(8): 1469–1475. doi: 10.3969/j.issn.1000-1093.2016.08.019 [8] 薛再清, 辛春亮, 梁海东, 等. 水下爆炸冲击波及其作用判据研究 [J]. 防护工程, 2016, 38(3): 48–52.XUE Z Q, XIN C L, LIANG H D, et al. Study on shock-wave of underwater explosion and effect criterion [J]. Protective Engineering, 2016, 38(3): 48–52. [9] ZHANG W Z, JIANG W K. An improved shock factor to evaluate the shock environment of small-sized structures subjected to underwater explosion [J]. Shock and Vibration, 2015, 2015: 451583. doi: 10.1155/2015/451583 [10] 姚熊亮, 曹宇, 郭君, 等. 一种用于水面舰船的水下爆炸冲击因子 [J]. 哈尔滨工程大学学报, 2007, 28(5): 501–509. doi: 10.3969/j.issn.1006-7043.2007.05.004YAO X L, CAO Y, GUO J, et al. Research on the response of warships to impulsive factor of underwater explosions [J]. Journal of Harbin Engineering University, 2007, 28(5): 501–509. doi: 10.3969/j.issn.1006-7043.2007.05.004 [11] 罗泽立, 周章涛, 毛海斌, 等. 水下爆炸强冲击波与平板结构相互作用的理论分析方法 [J]. 高压物理学报, 2017, 31(4): 443–452. doi: 10.11858/gywlxb.2017.04.013LUO Z L, ZHOU Z T, MAO H B, et al. Theoretical analysis of the interaction between the plate structure and strong shock wave in underwater explosion [J]. Chinese Journal of High Pressure Physics, 2017, 31(4): 443–452. doi: 10.11858/gywlxb.2017.04.013 [12] 王树山. 终点效应学 [M]. 2版. 北京: 科学出版社, 2019: 33−34.WANG S S. Terminal effects [M]. 2nd ed. Beijing: Science Press, 2019: 33−34. [13] TAYLOR G I. The pressure and impulse of submarine explosion waves on plates [C]//The Scientific Papers Sir Geoffrey Ingram Taylor. Cambridge: Cambridge University Press, 1963: 287−303. [14] 李旭东, 尹建平, 杜志鹏, 等. 多次水下爆炸钢制圆板应变与挠度增长规律分析 [J]. 振动与冲击, 2020, 39(5): 131–136. doi: 10.13465/j.cnki.jvs.2020.05.017LI X D, YIN J P, DU Z P, et al. Growth law analysis for strain and deflection of steel circular plates subjected to multiple underwater explosions [J]. Journal of Vibration and Shock, 2020, 39(5): 131–136. doi: 10.13465/j.cnki.jvs.2020.05.017 [15] 张斐, 张春辉, 张磊, 等. 多次水下爆炸作用下钢板动态响应数值模拟 [J]. 中国舰船研究, 2019, 14(6): 122–129. doi: 10.19693/j.issn.1673-3185.01431ZHANG F, ZHANG C H, ZHANG L, et al. Numerical simulation of dynamic response of steel plate subjected to multiple underwater explosions [J]. Chinese Journal of Ship Research, 2019, 14(6): 122–129. doi: 10.19693/j.issn.1673-3185.01431 [16] COLE R H. Underwater explosions [M]. New Jersey: Princeton University Press, 1948. [17] 张显丕, 刘建湖, 潘建强, 等. 基于效应靶的装药水下近场爆炸威力评估方法 [J]. 兵工学报, 2016, 37(8): 1430–1435. doi: 10.3969/j.issn.1000-1093.2016.08.013ZHANG X P, LIU J H, PAN J Q, et al. An evaluation method for near-field underwater explosion power based on effect target [J]. Acta Armamentarii, 2016, 37(8): 1430–1435. doi: 10.3969/j.issn.1000-1093.2016.08.013 -

下载:

