Influence of High Temperature Phase Transformation and Cracks on Ignition of HMX Crystal
-
摘要: 炸药晶体的相结构、相变过程以及相变引起的微结构变化对炸药性能有重要影响。为研究HMX晶体的高温相变及其引起的裂纹对点火的影响,开展了HMX晶体的原位高温拉曼光谱、X射线衍射实验以及落锤实验。通过拉曼光谱和X射线衍射谱识别出不同温度加载和后处理方法对HMX晶体相结构和微结构的影响。制备了3类含有不同相结构和裂纹的HMX样品,实现了相结构和裂纹对点火影响的解耦。落锤实验结果显示,对于3类HMX晶体,按照敏感度由高到低排序依次为含裂纹的β-δ混相、含裂纹的β相、无裂纹的β相。最后,分析了高温相变和裂纹提高HMX晶体感度的原因。Abstract: The crystal structure, phase transition and microstructure changes of explosive crystals have important influence on the properties of explosives. In order to study the high temperature phase transition of HMX crystals and the effect of the cracks caused by them on ignition, we performed in situ high temperature Raman spectroscopy and X-ray diffraction on HMX crystals. Moreover, drop weight experiments were also carried out for HMX crystals with different cracks and phase structures. The effects of different temperature loading and post-treatment methods on the phase structure and microstructure of HMX crystals were identified by Raman spectroscopy and X-ray diffraction spectroscopy. Samples with different phase structures and cracks were prepared, and the decoupling of the HMX phase structure and the effect of cracks on ignition was realized. The results of the HMX crystal drop-weight impact experiment showed that the order of sensitivity of the three types of HMX crystals under the drop-weight impact was: crack-containing β-δ phase > β phase with cracks > β phase without cracks. And the reasons why high temperature phase transition and cracks can improve the crystal sensitivity of HMX were also analyzed.
-
Key words:
- HMX crystal /
- drop weight experiment /
- high temperature phase transition /
- crack /
- ignition
-
表 1 HMX晶体的退火及存放条件
Table 1. Heating and storage conditions of HMX crystals
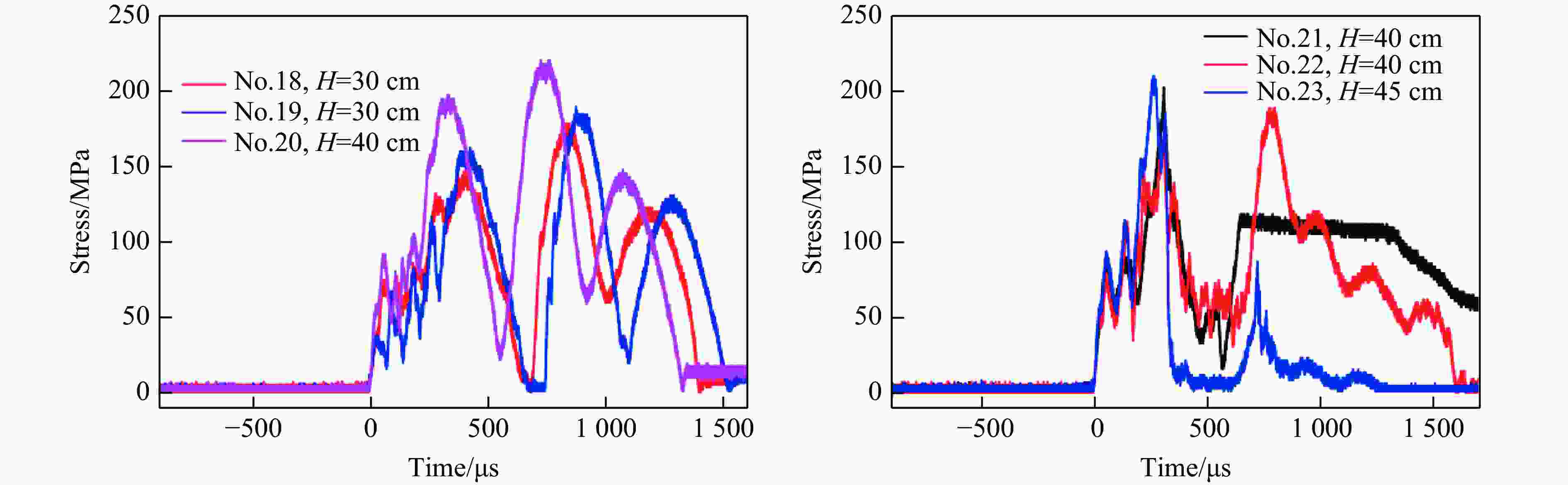
Sample type Sample No. Annealing temperature Treatments after annealing Status of the sample Ⅰ 1−5 Without annealing β-phase without crack Ⅱ 6−15 ≥190 ℃ Experiment within 24 h of annealing β- and δ-phase with cracks Ⅲ 16−24 ≥190 ℃ Humidifying and experiment after 30 d β-phase with cracks 表 2 不同HMX晶体的落锤高度
Table 2. Drop heights of different HMX crystals
Type Sample No. H/cm Type Sample No. H/cm Type Sample No. H/cm Ⅰ 1 30 Ⅱ 9 30 Ⅲ 17 20 2 35 10 30 18 30 3 55 11 30 19 30 4 60 12 55 20 40 5 85 13 60 21 40 Ⅱ 6 15 14 65 22 40 7 15 15 85 23 45 8 20 Ⅲ 16 10 24 60 -
[1] 郜婵, 孙晓宇, 梁文韬, 等. RDX、HMX及CL-20晶体的高温高压相变研究进展 [J]. 含能材料, 2020, 28(9): 902–914. doi: 10.11943/CJEM2020088GAO C, SUN X Y, LIANG W T, et al. Review on phase transition of RDX, HMX and CL-20 crystals under high temperature and high pressure [J]. Chinese Journal of Energetic Materials, 2020, 28(9): 902–914. doi: 10.11943/CJEM2020088 [2] FABBIANI F P A, PULHAM C R. High-pressure studies of pharmaceutical compounds and energetic materials [J]. Chemical Society Reviews, 2006, 35(10): 932–942. doi: 10.1039/b517780b [3] 胡惟佳. 高温下炸药晶体尺度相变效应及损伤点火响应研究 [D]. 北京: 北京理工大学, 2020.HU W J. Phase transition and damage ignition response of explosives under high temperature at the crystal scale [D]. Beijing: Beijing Institute of Technology, 2020. [4] GOETZ F, BRILL T B, FERRARO J R. Pressure dependence of the Raman and infrared spectra of α-, β-, γ-, and δ- octahydro-1, 3, 5, 7-tetranitro-1, 3, 5, 7-tetrazocine [J]. The Journal of Physical Chemistry, 1978, 82(17): 1912–1917. doi: 10.1021/j100506a011 [5] MAIN P, COBBLEDICK R E, SMALL R W H. Structure of the fourth form of 1, 3, 5, 7-tetranitro-1, 3, 5, 7-tetraaza-cyclooctane (γ-HMX), 2C4H8N8O8·0.5H2O [J]. Acta Crystallographica Section C, 1985, 41(9): 1351–1354. doi: 10.1107/S0108270185007739 [6] CADY H H, SMITH L C. Studies on the polymorphs of HMX: LAMS-2652 TID-4500 [R]. Los Alamos: Los Alamos National Laboratory, 1962. [7] HENSON B F, ASAY B, SANDER R K, et al. Dynamic measurement of the HMX β-δ phase transition by second harmonic generation [J]. Physical Review Letters, 1999, 82(6): 1213–1216. doi: 10.1103/PhysRevLett.82.1213 [8] SMILOWIZT L, HENSON B F, GREENFIELD M, et al. On the nucleation mechanism of the β-δ phase transition in the energetic nitramine octahydro-1, 3, 5, 7-tetranitro-1, 3, 5, 7-tetrazocine [J]. Journal of Chemical Physics, 2004, 121(11): 5550–5552. doi: 10.1063/1.1782491 [9] SMILOWITZ L, HENSON B F, ASAY B W, et al. The β-δ phase transition in the energetic nitramine-octahydro-1, 3, 5, 7-tetranitro-1, 3, 5, 7-tetrazocine: kinetics [J]. Journal of Chemical Physics, 2002, 117(8): 3789−3798. [10] WEESE R K, MAIENSCHEIN J L, PERRINO C T. Kinetics of the β→δ solid solid phase transition of HMX, octahydro-1, 3, 5, 7-tetranitro-1, 3, 5, 7-tetrazocine [C]//The 3rd International Heat Flow Calorimetry for Energetic Materials Symposium. French Lick, 2001: 18−20. [11] XUE C, SUN J, KANG B, et al. The β-δ phase transition and thermal expansion of octahydro-1, 3, 5, 7-tetranitro-1, 3, 5, 7-tetrazocine [J]. Propellants, Explosives, Pyrotechnics, 2010, 35(4): 333–338. doi: 10.1002/prep.200900036 [12] WILLEY T M, LAUDERBACH L, GAGLIARDI F, et al. Mesoscale evolution of voids and microstructural changes in HMX-based explosives during heating through the β-δ phase transition [J]. Journal of Applied Physics, 2015, 118(5): 055901. doi: 10.1063/1.4927614 [13] 闫冠云, 田强, 黄朝强, 等. 热损伤奥克托金(HMX)缺陷的X射线小角散射研究 [J]. 物理学报, 2012, 61(13): 136101. doi: 10.7498/aps.61.136101YAN G Y, TIAN Q, HUANG C Q, et al. A small-angle X-ray scattering study of micro-defects in thermally treated HMX [J]. Acta Physica Sinica, 2012, 61(13): 136101. doi: 10.7498/aps.61.136101 [14] 文玉史, 文雯, 代晓淦, 等. 相变与微裂纹对HMX晶体高温下撞击感度的影响机制 [J]. 含能材料, 2019, 27(3): 184−189.WEN Y S, WEN W, DAI X G, et al. Influence mechanism of phase transition and micro cracks on impact sensitivity of HMX crystal at high temperature [J]. Chinese Journal of Energetic Materials, 2019, 27(3): 184−189. [15] LI H, LI Y, BAI L F, et al. Acceleration of δ- to β-HMX-D8 phase retransformation with D2O and intergranular strain evolution in a HMX-based polymer-bonded explosive [J]. The Journal of Physical Chemistry C, 2019, 123(12): 6958−6964. -

下载: