Effect of Aging Temperature on Dynamic Mechanical Properties of TB8 Titanium Alloy
-
摘要: TB8(Ti-15Mo-2.7Nb-3Al-0.2Si)是一种亚稳态β型钛合金,在航空航天领域发挥着重要的作用。微观组织结构、应变和应变率是影响材料力学性能的3大重要因素,基于万能材料试验机和分离式霍普金森压杆(SHPB)测试手段,研究了固溶和时效热处理工艺对TB8钛合金力学性能的影响,并通过光学显微镜和扫描电子显微镜表征材料变形前后的微观组织结构及其断面形貌。结果表明:经过固溶+时效处理后,合金内部析出短条状α相,且时效温度越高,次生相尺寸越大,数量越少;在不同应变率加载条件下,热处理前后的TB8钛合金均表现出明显的应变率强化效应,动态加载条件下应变强化作用不明显;时效温度升高时,高应变率下合金屈服强度降低,塑性升高;动态加载条件下试样的破坏形式为典型的剪切破坏;绝热剪切带是裂纹形成和试样破坏的前兆。Abstract: TB8 (Ti-15Mo-2.7Nb-3Al-0.2Si) is a metastable β titanium alloy, which plays an important role in the aerospace field. Microstructure, strain and strain rate are three important factors affecting mechanical properties of TB8 titanium alloy. Based on a universal material testing machine and a split Hopkinson pressure bar (SHPB) device, the effect of solution and aging heat treatment process on mechanical properties of TB8 titanium alloy was studied. Optical microscope (OM) and scanning electron microscope (SEM) were used to characterize the microstructure and section morphology of the specimens before and after deformation. The results show that short strip α phase precipitates inside the alloy after solution and aging treatment, and the size and quantity of secondary phase increase with aging temperature increasing. Under different loading conditions, the strain rate strengthening effect of TB8 titanium alloy before and after heat treatment is obvious, but the strain strengthening effect is not obvious under dynamic loading condition. With the increase of aging temperature, the yield strength of the alloy decreases and the plasticity increases. The failure mode of specimens under dynamic loading is typical shear failure. Adiabatic shear band is the precursor of crack formation and specimen failure.
-
表 1 TB8钛合金各组分的质量分数
Table 1. Mass fraction of each component ofTB8 titanium alloy
Composition Mass fraction/% Mo 15.33 Nb 2.63 Al 3.37 Si 0.67 Fe 0.35 Ti Rest 表 2 固溶处理前后TB8钛合金的屈服强度
Table 2. Yield strength of TB8 titanium alloy before and after solution treatment
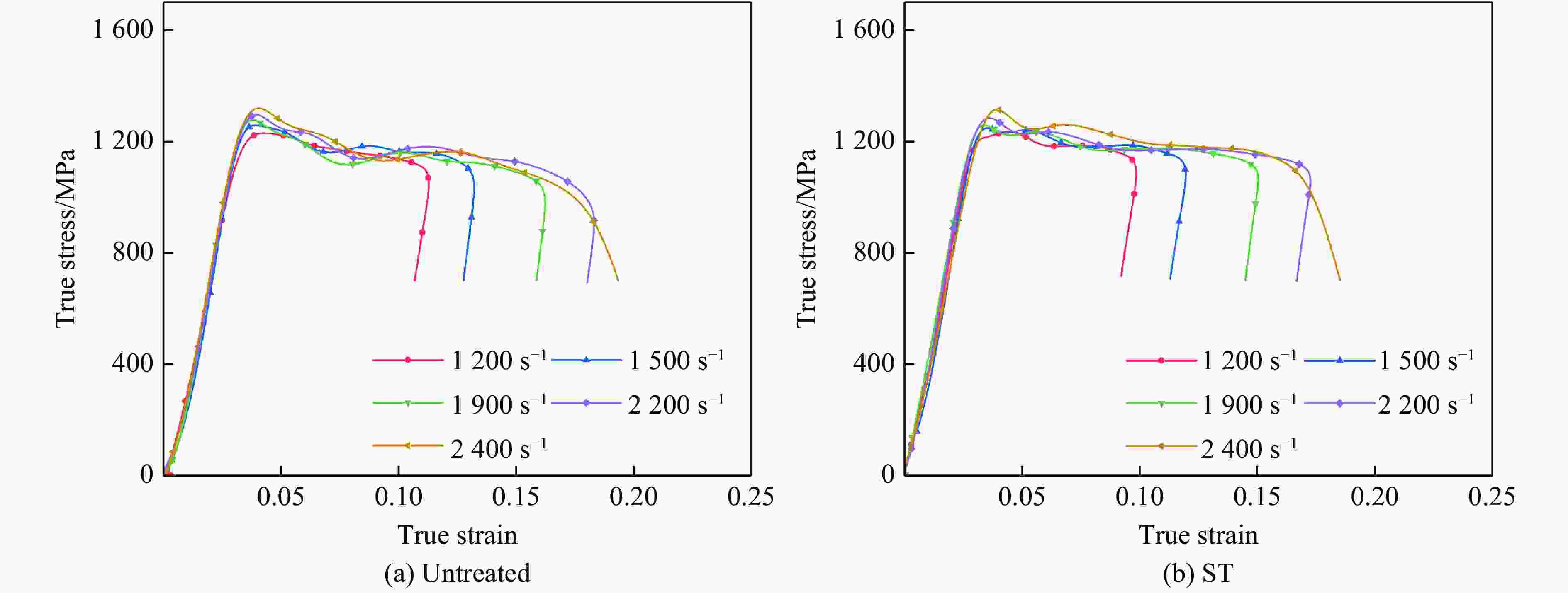
Strain rate/s–1 Yield strength/MPa Untreated ST 1200 1205 1199 1500 1218 1216 1900 1224 1232 2200 1258 1242 2400 1254 1245 表 3 热处理后TB8钛合金宏观破坏时的动态力学性能参数
Table 3. Dynamic mechanical properties of TB8 titanium alloy specimens after heat treatment under macroscopic failure
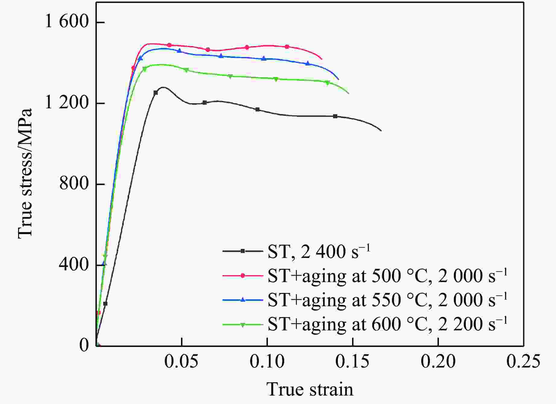
Heat treatment Strain rate/s–1 Yield strength/MPa Failure strain ST 2400 1245 0.167 ST+aging at 500 ℃ 2000 1430 0.132 ST+aging at 550 ℃ 2000 1380 0.142 ST+aging at 600 ℃ 2200 1290 0.148 -
[1] ANKEM S, GREENE C A. Recent developments in microstructure/property relationships of beta titanium alloys [J]. Materials Science and Engineering: A, 1999, 263(2): 127–131. doi: 10.1016/S0921-5093(98)01170-8 [2] 张昭, 郭保桥, 冉春, 等. 固溶温度对TB6钛合金动态力学性能和微观组织的影响 [J]. 高压物理学报, 2021, 35(6): 064104. doi: 10.11858/gywlxb.20210762ZHANG Z, GUO B Q, RAN C, et al. Effect of solution temperature on dynamic mechanical properties and microstructure of TB6 titanium alloy [J]. Chinese Journal of High Pressure Physics, 2021, 35(6): 064104. doi: 10.11858/gywlxb.20210762 [3] 邹学韬, 张晓晴, 姚小虎. 压剪载荷作用下TB6钛合金的动态力学性能 [J]. 高压物理学报, 2019, 33(2): 024206. doi: 10.11858/gywlxb.20190713ZOU X T, ZHANG X Q, YAO X H. Dynamic behavior of TB6 titanium alloy under shear-compression loading [J]. Chinese Journal of High Pressure Physics, 2019, 33(2): 024206. doi: 10.11858/gywlxb.20190713 [4] DUAN Y P, LI P, XUE K M, et al. Flow behavior and microstructure evolution of TB8 alloy during hot deformation process [J]. Transactions of Nonferrous Metals Society of China, 2007, 17(6): 1199–1204. doi: 10.1016/S1003-6326(07)60249-0 [5] 李敏娜, 马保飞, 郭金明, 等. 高强韧TB8钛合金的热处理制度 [J]. 金属热处理, 2021, 46(9): 116–119. doi: 10.13251/j.issn.0254-6051.2021.09.019LI M N, MA B F, GUO J M, et al. Heat treatment of TB8 titanium alloy with high strength and toughness [J]. Heat Treatment of Metals, 2021, 46(9): 116–119. doi: 10.13251/j.issn.0254-6051.2021.09.019 [6] 张利军, 王幸运, 常辉, 等. 固溶温度对TB8钛合金组织及性能的影响 [J]. 金属热处理, 2013, 38(6): 83–86. doi: 10.13251/j.issn.0254-6051.2013.06.033ZHANG L J, WANG X Y, CHANG H, et al. Effects of solution temperature on microstructure and properties of TB8 titanium alloy [J]. Heat Treatment of Metals, 2013, 38(6): 83–86. doi: 10.13251/j.issn.0254-6051.2013.06.033 [7] 葛鹏, 赵永庆, 周廉. β钛合金的强化机理 [J]. 材料导报, 2005, 19(12): 52–55, 63. doi: 10.3321/j.issn:1005-023X.2005.12.015GE P, ZHAO Y Q, ZHOU L. Strengthening mechanism of beta titanium alloys [J]. Materials Review, 2005, 19(12): 52–55, 63. doi: 10.3321/j.issn:1005-023X.2005.12.015 [8] 赵聪, 石晓辉, 曹聪, 等. 固溶冷却方式和时效温度对TB8钛合金组织和拉伸性能的影响[J/OL]. 热加工工艺, 2022, 51(14): 126−130.ZHAO C, SHI X H, CAO C, et al. Effects of solution cooling modes and aging temperature on microstructure and tensile properties of TB8 titanium alloy [J/OL]. Hot Working Technology, 2022, 51(14): 126−130. [9] 张利军, 田军强, 白钰, 等. TB8超高强钛合金的热处理工艺 [J]. 中国有色金属学报, 2010, 20(Suppl 1): 670–673. doi: 10.19476/j.ysxb.1004.0609.2010.s1.141ZHANG L J, TIAN J Q, BAI Y, et al. Heat treatment process of TB8 titanium alloy [J]. The Chinese Journal of Nonferrous Metals, 2010, 20(Suppl 1): 670–673. doi: 10.19476/j.ysxb.1004.0609.2010.s1.141 [10] 董洪波, 姜智勇, 周盛武, 等. 预时效对TB8钛合金超塑性的影响 [J]. 材料研究学报, 2018, 32(7): 541–546. doi: 10.11901/1005.3093.2017.542DONG H B, JIANG Z Y, ZHOU S W, et al. Effect of pre-aging on superplasticity of TB8 Ti-alloy [J]. Chinese Journal of Materials Research, 2018, 32(7): 541–546. doi: 10.11901/1005.3093.2017.542 [11] 马权, 曹迪. 双级时效处理对TB8合金组织和性能的影响 [J]. 材料热处理学报, 2017, 38(10): 41–45. doi: 10.13289/j.issn.1009-6264.2017-0183MA Q, CAO D. Effect of double aging treatment on microstructure and mechanical property of TB8 titanium alloy [J]. Transactions of Materials and Heat Treatment, 2017, 38(10): 41–45. doi: 10.13289/j.issn.1009-6264.2017-0183 [12] 徐铁伟, 李金山, 张丰收, 等. TB8钛合金双级时效过程中的组织演变及时效响应 [J]. 材料热处理学报, 2016, 37(2): 58–64. doi: 10.13289/j.issn.1009-6264.2016.02.011XU T W, LI J S, ZHANG F S, et al. Microstructure evolution and aging response during duplex aging of TB8 titanium alloy [J]. Transactions of Materials and Heat Treatment, 2016, 37(2): 58–64. doi: 10.13289/j.issn.1009-6264.2016.02.011 [13] FERRERO J G. Candidate materials for high-strength fastener applications in both the aerospace and automotive industries [J]. Journal of Materials Engineering and Performance, 2005, 14(6): 691–696. doi: 10.1361/105994905X75466 [14] XU T W, LI J S, ZHANG F S, et al. Microstructure evolution during cold-deformation and aging response after annealing of TB8 titanium alloy [J]. Rare Metal Materials and Engineering, 2016, 45(3): 575–580. doi: 10.1016/S1875-5372(16)30075-3 [15] TANG B, TANG B, HAN F B, et al. Influence of strain rate on stress induced martensitic transformation in β solution treated TB8 alloy [J]. Journal of Alloys and Compounds, 2013, 565: 1–5. doi: 10.1016/j.jallcom.2013.02.173 [16] 黄伯云, 李成功, 石力开, 等. 中国材料工程大典 [M]. 北京: 化学工业出版社, 2006: 677−678.HUANG B Y, LI C G, SHI L K, et al. China materials engineering canon [M]. Beijing: Chemical Industry Press, 2006: 677−678. [17] 宁子轩, 王琳, 程兴旺, 等. 分离式霍普金森压杆加载下不同组织Ti-6321钛合金的动态响应行为 [J]. 兵工学报, 2021, 42(4): 862–870. doi: 10.3969/j.issn.1000-1093.2021.04.020NING Z X, WANG L, CHENG X W, et al. Dynamic response behaviors of Ti-6321 titanium alloys with different microstructures under split Hopkinson pressure bar loading [J]. Acta Armamentarii, 2021, 42(4): 862–870. doi: 10.3969/j.issn.1000-1093.2021.04.020 [18] 靳丹, 程兴旺, 郑超, 等. 片层宽度对TC21钛合金动态压缩性能及其绝热剪切敏感性的影响规律 [J]. 稀有金属材料与工程, 2016, 45(11): 2953–2958.JIN D, CHENG X W, ZHENG C, et al. Effects of lamellar α thickness on dynamic mechanical properties and sensitivity to adiabatic shear banding of TC21 alloy [J]. Rare Metal Materials and Engineering, 2016, 45(11): 2953–2958. [19] 徐雪峰, 王琳, 沙彦刚, 等. TC4 ELI钛合金动态压缩性能及绝热剪切敏感性的研究 [J]. 兵工学报, 2020, 41(2): 366–373. doi: 10.3969/j.issn.1000-1093.2020.02.019XU X F, WANG L, SHA Y G, et al. Research on dynamic mechanical properties of TC4 ELI titanium alloy and its sensitivity to adiabatic shear banding [J]. Acta Armamentarii, 2020, 41(2): 366–373. doi: 10.3969/j.issn.1000-1093.2020.02.019 [20] 冉春, 陈鹏万, 李玲, 等. 中高应变率条件下TC18钛合金动态力学行为的实验研究 [J]. 兵工学报, 2017, 38(9): 1723–1728. doi: 10.3969/j.issn.1000-1093.2017.09.008RAN C, CHEN P W, LI L, et al. Experimental research on dynamic mechanical behavior of TC18 titanium alloy under medium and high strain rates [J]. Acta Armamentarii, 2017, 38(9): 1723–1728. doi: 10.3969/j.issn.1000-1093.2017.09.008 [21] BAI Y L, XUC Q, XU Y B, et al. Characteristics and microstructure in the evolution of shear localization in Ti-6A1-4V alloy [J]. Mechanics of Materials, 1994, 17(2/3): 155–164. doi: 10.1016/0167-6636(94)90056-6 [22] 徐铁伟. 高强TB8钛合金相变行为与组织控制研究 [D]. 西安: 西北工业大学, 2016: 101−104.XU T W. Study on phase-transformation behaviors and microstructure control of the high-strength TB8 alloy [D]. Xi’an: Northwestern Polytechnical University, 2016: 101−104. -

下载: