空爆载荷作用下固支弹塑性圆板的动力学模型

吴迪 米国 郭香华 张庆明

吴迪, 米国, 郭香华, 张庆明. 空爆载荷作用下固支弹塑性圆板的动力学模型[J]. 高压物理学报, 2022, 36(5): 054202. doi: 10.11858/gywlxb.20220525
引用本文: 吴迪, 米国, 郭香华, 张庆明. 空爆载荷作用下固支弹塑性圆板的动力学模型[J]. 高压物理学报, 2022, 36(5): 054202. doi: 10.11858/gywlxb.20220525
WU Di, MI Guo, GUO Xianghua, ZHANG Qingming. Dynamic Model of Clamped Elastoplastic Circular Plate under Air Blast Loading[J]. Chinese Journal of High Pressure Physics, 2022, 36(5): 054202. doi: 10.11858/gywlxb.20220525
Citation: WU Di, MI Guo, GUO Xianghua, ZHANG Qingming. Dynamic Model of Clamped Elastoplastic Circular Plate under Air Blast Loading[J]. Chinese Journal of High Pressure Physics, 2022, 36(5): 054202. doi: 10.11858/gywlxb.20220525

空爆载荷作用下固支弹塑性圆板的动力学模型

doi: 10.11858/gywlxb.20220525
详细信息
    作者简介:

    吴 迪(1997-),女,硕士研究生,主要从事结构冲击动力学研究. E-mail:15010059608@163.com

    通讯作者:

    郭香华(1974-),男,博士,副教授,主要从事爆炸与冲击仿真、材料与结构动力学研究.E-mail:guoxh@bit.edu.cn

  • 中图分类号: O383

Dynamic Model of Clamped Elastoplastic Circular Plate under Air Blast Loading

  • 摘要: 基于等效单自由度模型理论,考虑变形过程中弯矩和膜力的联合承载,建立了空中近爆作用下固支弹塑性圆板的动力学模型,实现了圆板加载和卸载的全过程描述。基于文献中的试验工况建立有限元模型,利用有限元数值模拟对空爆作用下固支圆板的动态响应进行分析,并将动力学模型计算结果与试验结果及有限元数值模拟结果进行对比,验证了动力学模型计算结果的准确性。结果表明,理论计算结果与试验结果及数值模拟结果吻合较好,建立的动力学模型可以应用于固支圆板在空中近爆载荷作用下的大变形预测,为结构抗爆提供技术支持。

     

  • 图  载荷等效示意图

    Figure  1.  Equivalent load diagram

    图 $ \left(4\right) $和式$ \left(5\right) $的计算结果对比

    Figure  2.  Comparison of calculation results between Eq. (4) and Eq. (5)

    图  板元受力分析

    Figure  3.  Force analysis of plate microelement

    图  弯矩和膜力联合承载的屈服条件

    Figure  4.  Yield condition of combined bending moment and membrane force

    图  固支圆板发生弹塑性大变形后的应力场分布

    Figure  5.  Stress field of clamped circular plate after large elastic-plastic deformation

    图  加载阶段的等效质量-弹簧-阻尼模型

    Figure  6.  Equivalent mass-spring-damper model in loading phase

    图  卸载阶段的等效质量-弹簧-阻尼模型

    Figure  7.  Equivalent mass-spring-damper model in unloading phase

    图  试验布置

    Figure  8.  Test setup

    图  有限元模型

    Figure  9.  Finite element model

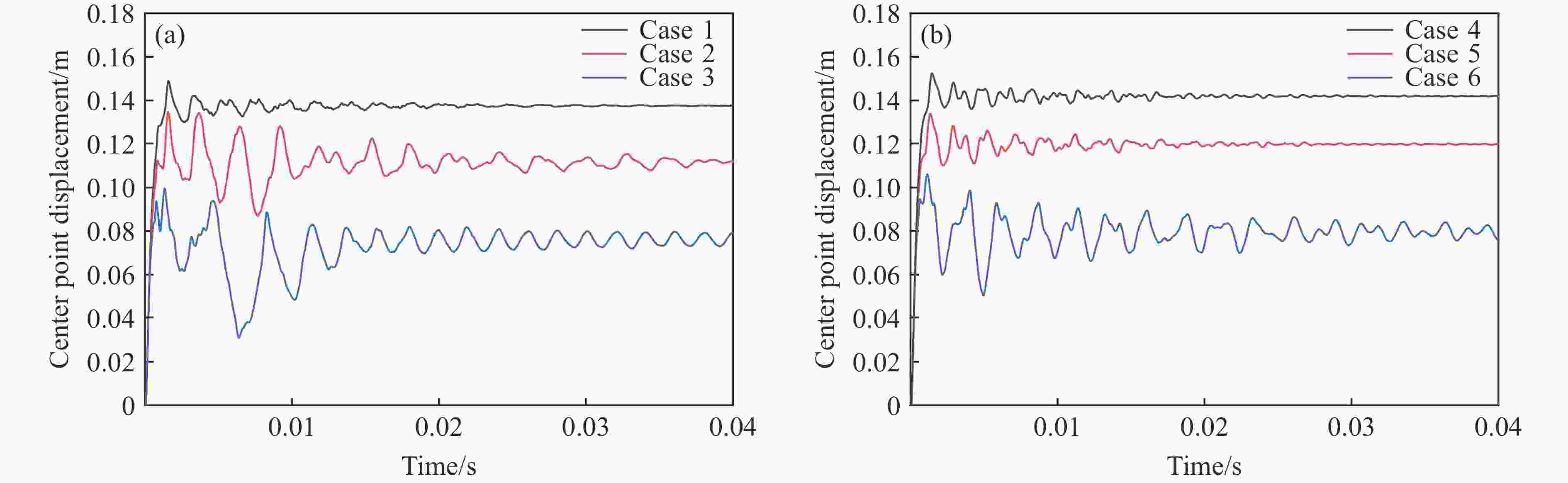
    图  10  各工况下有限元数值模拟得到的中心点位移-时间曲线

    Figure  10.  Displacement-time curves of center point by finite element simulation under various calculation cases

    图  11  峰值压力点及其拟合函数

    Figure  11.  Peak pressure points and fitting functions

    图  12  各工况下动力学模型计算结果与试验及有限元数值模拟结果的对比

    Figure  12.  Comparison of dynamic model results with test and finite element simulation results under various cases

    图  13  各工况下动力学模型与试验得到的靶板轮廓线的对比

    Figure  13.  Comparison of circular plate deformations between dynamic model and test under various cases

    表  1  3种高强度钢的试验参数[12]

    Table  1.   Test parameters of three kinds of high strength steel[12]

    CaseMaterialThickness/mmYield strength/MPaMass of TNT/kgDetonation distance/mm
    1Weldox700E steel88006250
    2B1 steel810706250
    3B2 steel816006250
    4Weldox700E steel1280010250
    5B1 steel12107010250
    6B2 steel12160010250
    下载: 导出CSV

    表  2  各工况下试验与有限元模拟得到的中心点位移对比

    Table  2.   Comparison of center point displacements between test and finite element simulation under various calculation cases

    CaseMaximum displacement of center point Final displacement of center point
    Test/mmSim./mmError/%Test/mmSim./mmError/%
    1145148.842.65 129137.426.53
    2128134.675.21102111.889.69
    310399.52−3.388579.07−6.98
    4166152.44−8.17153141.95−7.22
    5148133.87−9.55118120.121.80
    6115106.74−7.188379.28−4.48
    下载: 导出CSV

    表  3  各工况下动力学模型计算结果与试验结果的对比

    Table  3.   Comparison between dynamic model results and test results under various cases

    CaseMaximum displacement Final displacement
    Test/mmSDOF model/mmError/%TestSDOF model/mmError/%
    1145141.48−2.43 129129.220.17
    2128126.03−1.54102110.067.90
    3103101.49−1.478586.211.42
    4166160.24−3.47153148.57−2.90
    5148141.27−4.55118127.668.19
    6115114.19−0.708395.0314.49
    下载: 导出CSV
  • [1] 王芳, 冯顺山, 俞为民. 爆炸冲击波作用下靶板的塑性大变形响应研究 [J]. 中国安全科学学报, 2003, 13(3): 58–61. doi: 10.16265/j.cnki.issn1003-3033.2003.03.016

    WANG F, FENG S S, YU W M. Study on large plastic deformation response of target plate under explosive blast wave [J]. China Safety Science Journal, 2003, 13(3): 58–61. doi: 10.16265/j.cnki.issn1003-3033.2003.03.016
    [2] 吴成, 金俨, 李华新. 固支方板对水中爆炸作用的动态响应研究 [J]. 高压物理学报, 2003, 17(4): 275–282. doi: 10.3969/j.issn.1000-5773.2003.04.006

    WU C, JIN Y, LI H X. A study on square plate dynamic response under underwater explosion [J]. Chinese Journal of High Pressure Physics, 2003, 17(4): 275–282. doi: 10.3969/j.issn.1000-5773.2003.04.006
    [3] 何建, 肖玉凤, 陈振勇, 等. 空爆载荷作用下固支矩形钢板的塑性极限变形 [J]. 哈尔滨工业大学学报, 2007, 39(2): 310–313, 329. doi: 10.3321/j.issn:0367-6234.2007.02.036

    HE J, XIAO Y F, CHEN Z Y, et al. Plastic limited deformation analysis of the clamped rectangular steel plate subjected to air non-contact explosions [J]. Journal of Harbin Institute of Technology, 2007, 39(2): 310–313, 329. doi: 10.3321/j.issn:0367-6234.2007.02.036
    [4] DUFFEY T A. Large deflection dynamic response of clamped circular plates subjected to explosive loading [R]. Albuquerque: Sandia National Laboratories, 1967.
    [5] NURICK G N, PEARCE H T, MARTIN J B. Predictions of transverse deflections and in-plane strains in impulsively loaded thin plates [J]. International Journal of Mechanical Sciences, 1987, 29(6): 435–442. doi: 10.1016/0020-7403(87)90004-X
    [6] JONES N. Impulsive loading of a simply supported circular rigid plastic plate [J]. Journal of Applied Mechanics, 1968, 35(1): 59–65. doi: 10.1115/1.3601174
    [7] FLORENCE A L. Circular plate under a uniformly distributed impulse [J]. International Journal of Solids and Structures, 1966, 2(1): 37–47. doi: 10.1016/0020-7683(66)90005-9
    [8] CLOETE T J, NURICK G N. On the influence of radial displacements and bending strains on the large deflections of impulsively loaded circular plates [J]. International Journal of Mechanical Sciences, 2014, 82: 140–148. doi: 10.1016/j.ijmecsci.2014.02.026
    [9] CAMPBELL T I, CHARLTON T M. Finite deformation of a fully fixed beam comprised of a non-linear material [J]. International Journal of Mechanical Sciences, 1973, 15(5): 415–422. doi: 10.1016/0020-7403(73)90040-4
    [10] KARAGIOZOVA D, YU T X, SHI S Y, et al. On the influence of elasticity on the large deflections response of circular plates to uniform quasi-static pressure [J]. International Journal of Mechanical Sciences, 2017, 131/132: 894–907. doi: 10.1016/j.ijmecsci.2017.07.032
    [11] BIGGS J M. Introduction to structural dynamics [M]. New York: McGraw-Hill, 1964.
    [12] 钟贤哲. 高强度钢Weldox700E的动态本构关系及其抗爆特性 [D]. 北京: 北京理工大学, 2019.

    ZHONG X Z. Dynamic constitutive relations and explosion resistance properties of high strength steel Weldox700E [D]. Beijing: Beijing Institute of Technology, 2019.
    [13] RIGBY S E, TYAS A, BENNETT T. Single-degree-of-freedom response of finite targets subjected to blast loading: the influence of clearing [J]. Engineering Structures, 2012, 45: 396–404. doi: 10.1016/j.engstruct.2012.06.034
    [14] TAYLOR G I. The distortion under pressure of diaphragm which is clamped along its edge and stressed beyond the elastic limit [J]. Underwater Explosion Research, 1950.
    [15] KYOHEI K, PIAN T H H. Large deformations of rigid-plastic circular plates [J]. International Journal of Solids and Structures, 1981, 17(11): 1043–1055. doi: 10.1016/0020-7683(81)90012-3
    [16] WANG X D, YU T X. Parkes revisited: effect of elastic deformation at the root of a cantilever beam [J]. International Journal of Impact Engineering, 1991, 11(2): 197–209. doi: 10.1016/0734-743X(91)90006-2
    [17] 汤安民, 许明达, 赵蕾. 自由变形结构弹塑性分析的新方法 [J]. 广西大学学报(自然科学版), 2009, 34(1): 36–39. doi: 10.13624/j.cnki.issn.1001-7445.2009.01.008

    TANG A M, XU M D, ZHAO L. New method for elasto-plastic analysis of free-form deformation structure [J]. Journal of Guangxi University (Natural Science Edition), 2009, 34(1): 36–39. doi: 10.13624/j.cnki.issn.1001-7445.2009.01.008
    [18] 许明达. 自由变形结构弹塑性分析的新方法及应用 [D]. 西安: 西安理工大学, 2009.

    XU M D. The structure of free-form deformation elasto-plastic analysis and application of new method [D]. Xi’an: Xi’an University of Technology, 2009.
  • 加载中
图(13) / 表(3)
计量
  • 文章访问数:  565
  • HTML全文浏览量:  378
  • PDF下载量:  56
出版历程
  • 收稿日期:  2022-03-07
  • 修回日期:  2022-03-21
  • 刊出日期:  2022-10-11

目录

    /

    返回文章
    返回