Flow Stress Characteristics and Constitutive Model of ZL101A Aluminum Alloy under High Temperature and High Strain Rate
-
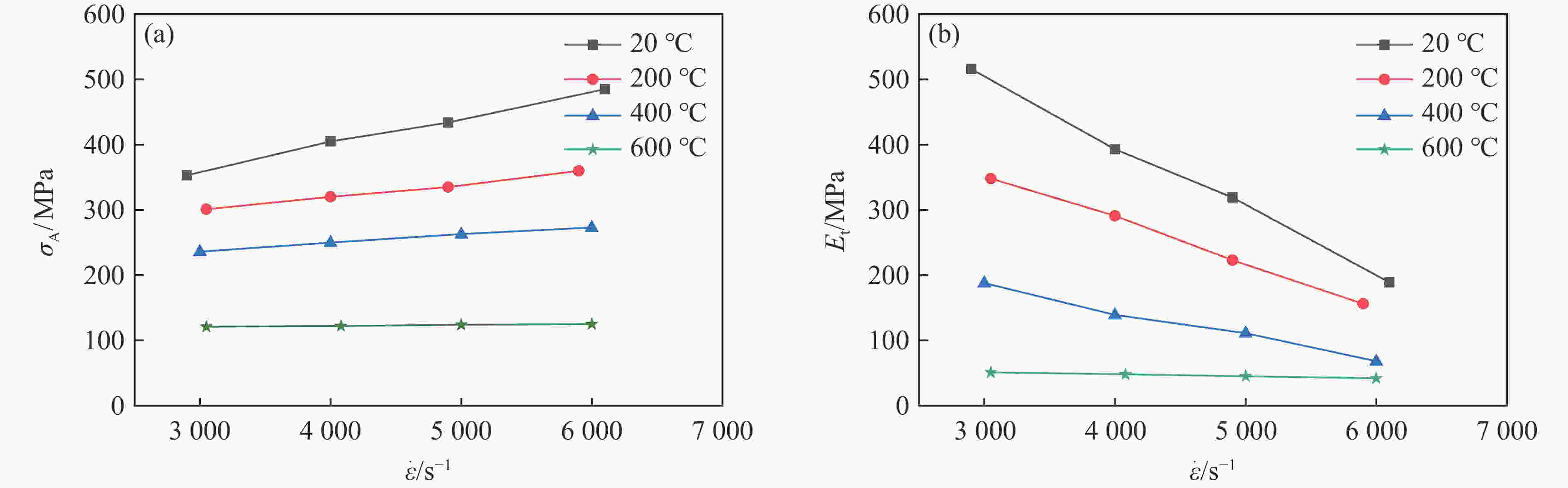
摘要: 采用分离式霍普金森压杆系统和高温设备对ZL101A铝合金进行了常温和高温下的动态压缩实验,得到了应变率范围为2900~6100 s−1、温度范围为20~600 ℃的动态压缩应力-应变曲线。实验结果表明:ZL101A铝合金具有应变率硬化效应,并且随着温度的升高,应变率硬化效应减弱;ZL101A铝合金在不同应变率下均存在明显的温度软化效应,且随着温度的升高,塑性变形引起的绝热温升使热软化作用增强。为了得到应变率和温度对材料流变应力的影响,将应变率效应和温度效应进行解耦,得到一种适用于ZL101A铝合金材料的动态本构模型。对比模型预测结果与实验数据发现,建立的本构模型可以很好地描述ZL101A铝合金的流变应力特征。Abstract: The dynamic compression experiments of ZL101A aluminum alloy were carried out under room and high temperature conditions by using split Hopkinson pressure bar (SHPB) system and high temperature heating equipment. The dynamic compressive stress-strain curves under the conditions of strain rate range of 2900−6100 s−1 and temperature range of 20−600 ℃ were obtained. The experimental results show that ZL101A aluminum alloy has a strain rate hardening effect, and the strain rate hardening effect gradually decreases with the increase of temperature. Meanwhile, ZL101A aluminum alloy has obvious temperature softening effect at different strain rates, and the plastic deformation induced adiabatic temperature rise enhances the thermal softening effect. In order to quantify the influences of strain rate and temperature on the flow stress of ZL101A aluminum alloy, the strain rate effect and the temperature effect were decoupled. A suitable constitutive model for ZL101A aluminum alloy was established by analyzing and fitting the experimental data. After comparing the predicted results from the model with the experimental data, it was found that the established constitutive model can well describe the flow stress characteristics of ZL101A aluminum alloy.
-
Key words:
- ZL101A aluminum alloy /
- high strain rate /
- flow stress /
- high temperature /
- split Hopkinson pressure bar
-
表 1 本构模型中的材料参数
Table 1. Material parameters in the constitutive model
A1 B1 C1 D1 A2 B2 C2 D2 0.98586 −0.64661 −1.26×103 0.67008 0.01931 −0.59602 −0.04952 1.57845 -
[1] HU M D, WANG T T, FANG H, et al. Modeling of gas porosity and microstructure formation during dendritic and eutectic solidification of ternary Al-Si-Mg alloys [J]. Journal of Materials Science & Technology, 2021, 76: 76–85. [2] ZHANG M S, LIU K L, WANG B, et al. Accelerating pore nucleation and eutectic Si growth kinetics by increasing Cu and Sc for Al-Si-Mg alloys: in-situ observation [J]. Journal of Alloys and Compounds, 2021, 869: 159173. doi: 10.1016/j.jallcom.2021.159173 [3] ZHU B W, ZANELLA C. Influence of Fe-rich intermetallics and their segregation on anodising properties of Al-Si-Mg rheocast alloys [J]. Surface and Coatings Technology, 2021, 422: 127570. doi: 10.1016/j.surfcoat.2021.127570 [4] SHAH A W, HA S H, KIM B H, et al. Effect of Si addition on flow behavior in Al-Mg and Al-Mg-Si molten alloys [J]. Metallurgical and Materials Transactions A, 2020, 51(12): 6670–6678. doi: 10.1007/s11661-020-06052-0 [5] 易湘斌, 张俊喜, 李宝栋, 等. 高温、高应变率下TB6钛合金的动态压缩性能 [J]. 稀有金属材料与工程, 2019, 48(4): 1220–1224.YI X B, ZHANG J X, LI B D, et al. Dynamic compressive mechanical properties of TB6 titanium alloy under high temperature and high strain rate [J]. Rare Metal Materials and Engineering, 2019, 48(4): 1220–1224. [6] 武永甫, 李淑慧, 侯波, 等. 铝合金7075-T651动态流变应力特征及本构模型 [J]. 中国有色金属学报, 2013, 23(3): 658–665.WU Y F, LI S H, HOU B, et al. Dynamic flow stress characteristics and constitutive model of aluminum 7075-T651 [J]. The Chinese Journal of Nonferrous Metals, 2013, 23(3): 658–665. [7] WANG X Y, HUANG C Z, ZOU B, et al. Dynamic behavior and a modified Johnson-Cook constitutive model of Inconel 718 at high strain rate and elevated temperature [J]. Materials Science and Engineering: A, 2013, 580: 385–390. doi: 10.1016/j.msea.2013.05.062 [8] 王运, 张昌明, 张昱. 航空Al7050合金的静动态力学特性研究及JC本构模型构建 [J]. 材料导报, 2021, 35(10): 10096–10102. doi: 10.11896/cldb.20060201WANG Y, ZHANG C M, ZHANG Y. Study on static and dynamic mechanical properties of aviation Al7050 alloy and construction of JC constitutive model [J]. Materials Reports, 2021, 35(10): 10096–10102. doi: 10.11896/cldb.20060201 [9] ZHANG D, ZHANG X M, NIE G C, et al. Characterization of material strain and thermal softening effects in the cutting process [J]. International Journal of Machine Tools and Manufacture, 2021, 160: 103672. doi: 10.1016/j.ijmachtools.2020.103672 [10] SKUDNOV V A, SOROKINA S A. Relation between the maximum specific deformation energy, hardness, and endurance limit of deformable aluminum alloys [J]. Metal Science and Heat Treatment, 1996, 38(8): 353–356. doi: 10.1007/BF01395324 [11] ZONG Z, ZHAO Y J, XU F, et al. Dynamic responses of a full-scale aluminum ship subjected to underwater shock [J]. Journal of Ship Mechanics, 2013, 17(6): 656–671. [12] 缪素菲, 刘敬喜, 赵耀, 等. 船用铝合金板架结构典型节点的疲劳试验研究 [J]. 船舶力学, 2020, 24(7): 934–941. doi: 10.3969/j.issn.1007-7294.2020.07.011MIAO S F, LIU J X, ZHAO Y, et al. Experimental study of fatigue properties of aluminium alloy plate [J]. Journal of Ship Mechanics, 2020, 24(7): 934–941. doi: 10.3969/j.issn.1007-7294.2020.07.011 [13] 严平, 赵垭丽, 李昕, 等. 基于耗能模型的超空泡射弹水下侵彻鱼雷等效关系研究 [J]. 爆炸与冲击, 2021, 49(9): 60–74.YAN P, ZHAO Y L, LI X, et al. Research on the equivalent relationship of torpedo penetrated by underwater supercavitation projectile based on energy consumption model [J]. Explosion and Shock Waves, 2021, 49(9): 60–74. [14] ALYANAK E, GRANDHI R, PENMETSA R. Optimum design of a supercavitating torpedo considering overall size, shape, and structural configuration [J]. International Journal of Solids and Structures, 2006, 43(3/4): 642–657. [15] WAN B B, CHEN W P, LIU L S, et al. Effect of trace yttrium addition on the microstructure and tensile properties of recycled Al-7Si-0.3Mg-1.0Fe casting alloys [J]. Materials Science and Engineering: A, 2016, 666: 165–175. doi: 10.1016/j.msea.2016.04.036 [16] LI W, CHEN H T, LIANG Z, et al. Effects of SiC orientations and particle sizes on the low cycle fatigue properties of SiCp/A356 composite [J]. International Journal of Fatigue, 2021, 152: 106420. doi: 10.1016/j.ijfatigue.2021.106420 [17] STEINBERG D J, COCHRAN S G, GUINAN M W. A constitutive model for metals applicable at high-strain rate [J]. Journal of Applied Physics, 1980, 51(3): 1498–1504. doi: 10.1063/1.327799 [18] JOHNSON G R, COOK W H. A constitutive model and data for metals subjected to large strains, high strain rates and high temperatures [J]. Engineering Fracture Mechanics, 1983, 21: 541–548. [19] BUZYURKIN A E, GLADKY I L, KRAUS E I. Determination and verification of Johnson-Cook model parameters at high-speed deformation of titanium alloys [J]. Aerospace Science and Technology, 2015, 45: 121–127. doi: 10.1016/j.ast.2015.05.001 [20] HUANG Z P, GAO L H, WANG Y W, et al. Determination of the Johnson-Cook constitutive model parameters of materials by cluster global optimization algorithm [J]. Journal of Materials Engineering and Performance, 2016, 25(9): 4099–4107. doi: 10.1007/s11665-016-2178-1 [21] SHOKRY A. On the constitutive modeling of a powder metallurgy nanoquasicrystalline Al93Fe3Cr2Ti2 alloy at elevated temperatures [J]. Journal of the Brazilian Society of Mechanical Sciences and Engineering, 2019, 41(3): 118. doi: 10.1007/s40430-019-1617-y [22] SHOKRY A, GOWID S, KHARMANDA G, et al. Constitutive models for the prediction of the hot deformation behavior of the 10% Cr steel alloy [J]. Materials, 2019, 12(18): 2873. doi: 10.3390/ma12182873 [23] ZERILLI F J, ARMSTRONG R W. Dislocation-mechanics-based constitutive relations for material dynamics calculations [J]. Journal of Applied Physics, 1987, 61(5): 1816–1825. doi: 10.1063/1.338024 [24] GOLDTHORPE B D. Constitutive equations for annealed and explosively shocked iron for application to high strain rates and large strains [J]. Journal de Physique Ⅳ, 1991, 1(C3): 829–835. [25] 张宏建, 温卫东, 崔海涛, 等. 不同温度下IC10合金的本构关系 [J]. 航空学报, 2008, 29(2): 499–504. doi: 10.3321/j.issn:1000-6893.2008.02.039ZHANG H J, WEN W D, CUI H T, et al. Constitutive analysis of alloy IC10 at different temperatures [J]. Acta Aeronautica et Astronautica Sinica, 2008, 29(2): 499–504. doi: 10.3321/j.issn:1000-6893.2008.02.039 [26] PEREIRA J M, LERCH B A. Effects of heat treatment on the ballistic impact properties of Inconel 718 for jet engine fan containment applications [J]. International Journal of Impact Engineering, 2001, 25(8): 715–733. doi: 10.1016/S0734-743X(01)00018-5 [27] 张志强, 李佳浩, 黄镇, 等. Mg-10Gd-3Y-0.6Zr-1Ag镁合金热压缩变形行为研究 [J]. 材料科学与工艺, 2014, 22(6): 1–5. doi: 10.11951/j.issn.1005-0299.20140601ZHANG Z Q, LI J H, HUANG Z, et al. Hot compression deformation behavior of the Mg-10Gd-3Y-0.6Zr-1Ag magnesium alloy [J]. Materials Science and Technology, 2014, 22(6): 1–5. doi: 10.11951/j.issn.1005-0299.20140601 [28] 历长云, 胡玉昆, 郑喜军, 等. 热压烧结SiCp/ZL101A复合材料显微组织研究 [J]. 稀有金属材料与工程, 2012, 41(Suppl 2): 413–416.LI C Y, HU Y K, ZHENG X J, et al. Study of microstructure of SiCp/ZL101A composites by vacuum hot-pressing sintering processing [J]. Rare Metal Materials and Engineering, 2012, 41(Suppl 2): 413–416. [29] CHEN X M, LIN Y C, HU H W, et al. An enhanced Johnson-Cook model for hot compressed A356 aluminum alloy [J]. Advanced Engineering Materials, 2021, 23(1): 2000704. doi: 10.1002/adem.202000704 [30] 罗中华, 张质良, 杨红亮. A356合金半固态流动特性的研究 [J]. 热加工工艺, 2008, 37(17): 1–4,98. doi: 10.3969/j.issn.1001-3814.2008.17.001LUO Z H, ZHANG Z L, YANG H L. Investigation of flow behavior of A356 semi-solid alloy [J]. Hot Working Technology, 2008, 37(17): 1–4,98. doi: 10.3969/j.issn.1001-3814.2008.17.001 [31] 周国才, 胡时胜, 付峥. 用于测量材料高温动态力学性能的SHPB技术 [J]. 实验力学, 2010, 25(1): 9–15.ZHOU G C, HU S S, FU Z. SHPB technique used for measuring dynamic properties of material in high temperature [J]. Journal of Experimental Mechanics, 2010, 25(1): 9–15. [32] CHIDDISTER J L, MALVERN L E. Compression-impact testing of aluminum at elevated temperatures [J]. Experimental Mechanics, 1963, 3(4): 81–90. doi: 10.1007/BF02325890 [33] 李建光, 施琪, 曹结东. Johnson-Cook本构方程的参数标定 [J]. 兰州理工大学学报, 2012, 38(2): 164–167. doi: 10.3969/j.issn.1673-5196.2012.02.038LI J G, SHI Q, CAO J D. Parameters calibration for Johnson-Cook constitutive equation [J]. Journal of Lanzhou University of Technology, 2012, 38(2): 164–167. doi: 10.3969/j.issn.1673-5196.2012.02.038 [34] 郭学锋. 细晶镁合金制备方法及组织与性能 [M]. 北京: 冶金工业出版社, 2010: 168−170.GUO X F. Refined Mg alloys and their microstructures and properties [M]. Beijing: Metallurgical Industry Press, 2010: 168−170. [35] 杨胜利, 沈健, 陈利阳, 等. Al-Cu-Li合金热变形过程中微观组织的动态演变规律 [J]. 中国有色金属学报, 2019, 29(4): 674–683.YANG S L, SHEN J, CHEN L Y, et al. Dynamic evolution of microstructure of Al-Cu-Li alloy during hot deformation [J]. The Chinese Journal of Nonferrous Metals, 2019, 29(4): 674–683. -

下载:







