Fracture Characteristics of Ore Components Interface Based on Representative Volume Unit Model
-
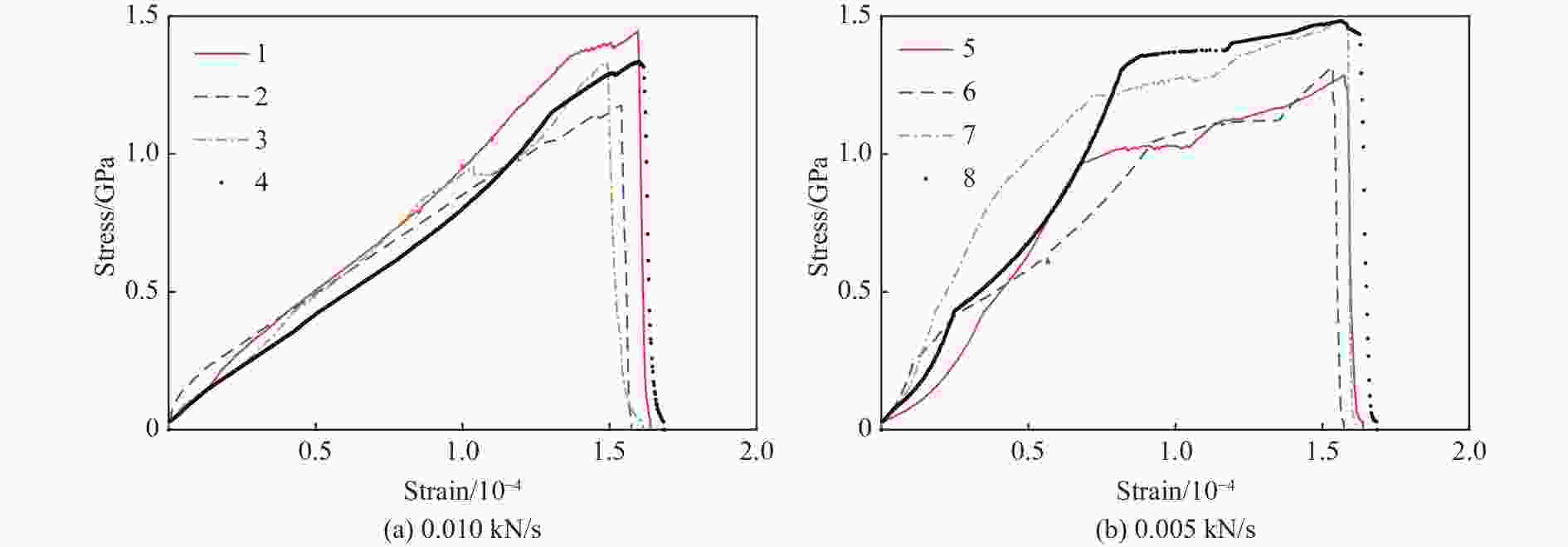
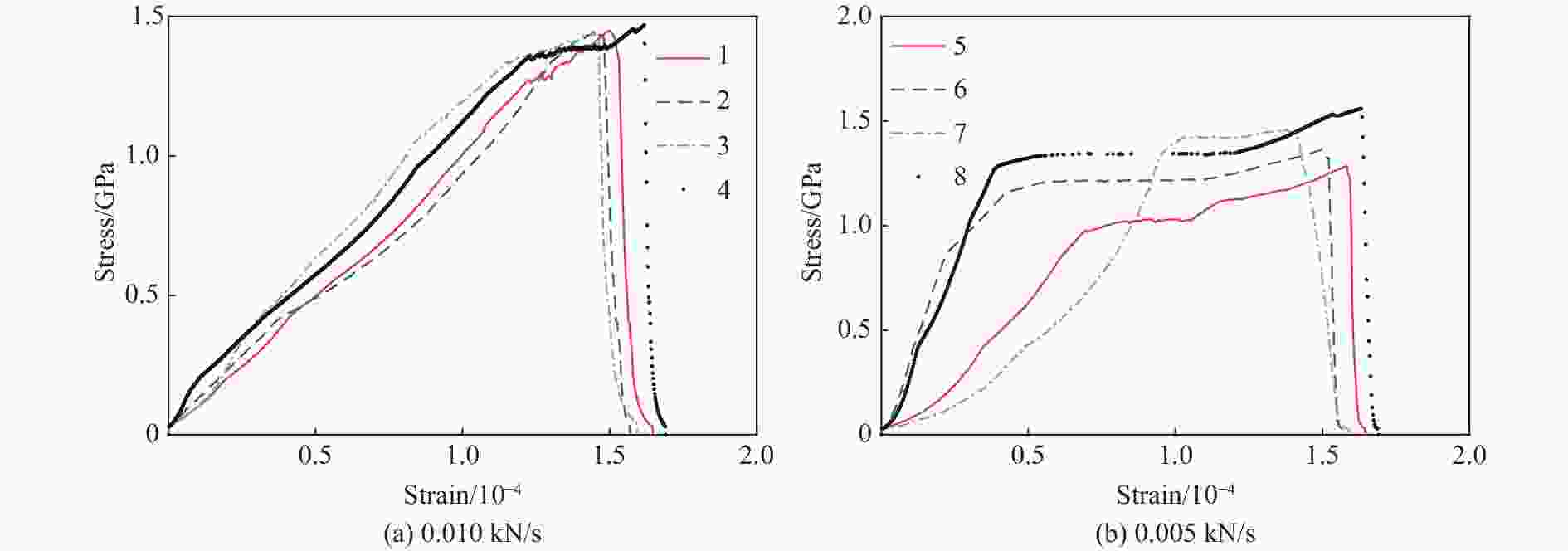
摘要: 矿物组分的界面破碎特征一般指黏结界面在外部载荷作用下产生的应力、应变等,其对研究矿物组分解离、提高矿石破碎效率具有重要意义。针对矿石内部组分矿物聚集、有用矿物非均匀分布的特点,开展了岩石内部岩相分析实验和矿物界面原位加载实验,在此基础上,利用非线性、多尺度建模平台DIGIMAT构建符合组分矿物微观结构的代表性体积单元(RVE)模型,并通过DIGIMAT-ABAQUS耦合开展矿石RVE模型原位破碎模拟。结果表明:(1)黑钨矿石中有用矿物以颗粒状分布在矿石内部,主要分布在石英矿物内及其与硅质岩矿物黏结界面处;(2)不同组分黏结界面的力学性质存在差异,且与组成矿物的物理属性、形态特征等相关,石英-硅质岩界面的最小破碎应力(界面发生破坏时的应力)范围为1.1785~1.4826 GPa,石英-钨界面的最小破碎应力范围为1.3355~1.5420 GPa;(3)加载速率为0.010或0.005 kN/s时,矿石破碎峰值应力无明显变化,但其对矿石内部形变的影响较大,且加载速率为0.010 kN/s时,强化阶段应力易突然降低并不断波动;(4)原位载荷产生的破坏主要发生在载荷作用区域边界,且两组界面中石英矿物破碎力学性能参数大于钨矿物和硅质岩矿物,即界面组成矿物中石英矿物优先形成破坏。Abstract: The fracture characteristic of mineral component interface refers to the stress, strain and other processes generated by the bonding interface under the action of external load. It is of great significance for studying the dissociation of component minerals and improving the efficiency of ore crushing. To further study the characteristics of mineral accumulation and non-uniform distribution of useful minerals in the ore, the internal rock facies analysis and the mineral interface in-situ loading experiments were carried out. Based on these two experiments, the non-linear, multi-scale modeling platform DIGIMAT was employed to construct the coincident group. The representative volume element (RVE) model of the mineral microstructure is divided, and the in-situ crushing simulation of the ore RVE model is carried out through the DIGIMAT-ABAQUS coupling. It is suggested by these results that: (1) The useful minerals in the studied wolframite ore are distributed in granular form inside the ore, mainly in the quartz mineral and the bonding interface with the siliceous rock mineral. (2) The mechanical properties of the bonding interface with different components are related to the physical properties and morphological characteristics of the constituent minerals. The minimum fracture stress range of the quartz-siliceous rock interface is 1.1785–1.4820 GPa, and the minimum fracture stress range of the quartz-tungsten interface is 1.3355–1.5420 GPa; (3) Although the peak stress of ore crushing has no obvious effect when the loading rate is 0.010 or 0.005 kN/s, it has a greater impact on the internal deformation of the ore. When the loading rate is 0.010 kN/s, the stress suddenly decreased and constantly fluctuated during the strengthening stage. (4) The damage caused by in-situ loading mainly occurs at the boundary of the loading area. The fracture mechanical characteristics of quartz minerals in the two sets of interfaces are greater than that of tungsten minerals and siliceous rock minerals. Quartz minerals in the interface composition minerals are preferentially formed and destroyed.
-
表 1 钨颗粒的特征尺寸
Table 1. Characteristic sizes of different tungsten particles
W particle No. Length/mm Width/mm Perimeter/mm Area/mm2 1 1.609 1.509 6.990 1.2295 2 2.966 2.144 10.980 3.6125 3 2.645 2.233 13.930 2.8330 4 1.849 1.186 7.634 2.3356 5 0.922 0.137 2.230 0.0703 6 1.198 0.775 4.720 0.4160 7 1.047 0.622 3.442 0.6056 8 1.040 0.674 3.436 0.6587 表 2 矿物界面的最小破碎应力
Table 2. Minimum fracture stress of component mineral interface
Interface types Minimum fracture stress/GPa 1 2 3 4 5 6 7 8 Quartz-siliceous rock interface 1.4034 1.1785 1.3355 1.2732 1.2845 1.3171 1.4784 1.4826 Quartz-tungsten interface 1.5420 1.4373 1.4458 1.4671 1.3638 1.3355 1.4317 1.4571 表 3 不同黑钨矿石矿物组分的材料属性
Table 3. Mineral material properties of different wolframite components
Mineral Density/(g·cm−3) Poisson’s ratio Elastic modulus/GPa Constitutive model Structural symmetry Quartz 2.65 0.13 4 Elastoplastic Isotropic Siliceous rock 2.72 0.23 5 Elastoplastic Isotropic Tungsten 7.25 0.20 35 Elastoplastic Isotropic 表 4 内含物的形态参数
Table 4. Inclusion morphological parameters
Mineral Shape Volume fraction Aspect ratio Diameter/cm Siliceous rock Cylinder 0.50 2 Tungsten Ellipsoid 0.05 1 0.2 表 5 石英-硅质岩界面结点的应力和应变
Table 5. Quartz-siliceous rock interface junction stress and strain
Area of loading Node No. Stress/GPa Strain/10−4 Area of loading Node No. Stress/GPa Strain/10−4 Boundary 11598 1.39879 1.32 Internal 60752 1.54668 0.12 11605 1.40542 1.28 60753 1.61314 0.14 11610 1.40867 1.30 *61394 1.58947 0.26 11612 1.15526 1.06 *61396 1.21756 0.09 11613 1.69745 1.53 *61398 1.36577 0.09 60746 1.45794 1.48 *61400 1.62167 0.30 60747 1.63980 1.53 External *61390 0.24988 0.42 60748 1.65526 1.61 *61404 0.23054 0.38 60749 1.61249 1.58 11597 0.42094 0.63 60754 1.53791 1.42 11601 0.24354 0.63 *61392 1.33085 1.35 11604 0.32136 0.47 *61402 1.19414 1.29 60745 0.37922 0.62 Internal 11599 1.38796 0.47 60750 0.52646 0.87 11608 1.61647 0.54 60755 0.29399 0.55 11609 1.30032 0.25 60759 0.36765 0.69 60751 1.61276 0.26 61520 0.41291 0.72 表 6 石英-钨界面结点的应力和应变
Table 6. Quartz-tungsten interface junction stress and strain
Area of loading Node No. Stress/GPa Strain/10−4 Area of loading Node No. Stress/GPa Strain/10−4 Boundary 36367 1.54842 0.21 Internal 60830 1.96183 0.54 36369 1.58328 0.24 *61349 1.42606 1.89 36370 1.85187 0.28 *61351 1.61453 1.84 60813 1.72878 1.59 *61353 1.26790 1.46 60814 1.98327 2.18 External 60810 0.31663 0.54 60815 1.51771 1.55 60812 0.37034 0.64 60828 1.91692 1.96 60826 0.41069 0.71 60831 2.00689 2.53 60829 0.50412 0.85 60836 2.00115 2.31 61359 0.58631 1.02 *61347 0.96973 1.13 61361 0.52418 0.85 *61355 1.48255 1.90 *61333 0.57504 0.72 Internal 36366 1.59434 0.09 *61343 0.51355 0.57 60816 1.72296 0.46 *61345 0.67765 0.95 60817 2.14309 0.82 *61357 1.13598 1.54 -
[1] 张成良, 刘磊, 王超. 高等岩石力学及工程应用 [M]. 长沙: 中南大学出版社, 2016.ZHANG C L, LIU L, WANG C. Advanced rock mechanics and engineering application [M]. Changsha: Central South University Press, 2016. [2] GAUDIN A M. Principles of mineral dressing [M]. New York: McGraw-Hill, 1939: 70−89. [3] 王雅蓉, 周乐光. 相界特征对矿物单体解离度的影响 [J]. 东北大学学报(自然科学版), 1996, 17(3): 88–92.WANG Y R, ZHOU L G. Effects of interfacial characteristics on mineral liberation [J]. Journal of Northeastern University (Natural Science), 1996, 17(3): 88–92. [4] 刘建远, 应平. 颗粒床压载粉碎对某硫化铜矿石矿物解离的影响 [J]. 有色金属(选矿部分), 2018(5): 81–87. doi: 10.3969/j.issn.1671-9492.2018.05.016LIU J Y, YING P. Impact of comminution by particle-bed compressive stressing on mineral liberation of a copper sulfide ore [J]. Nonferrous Metals (Mineral Processing Section), 2018(5): 81–87. doi: 10.3969/j.issn.1671-9492.2018.05.016 [5] SUN W J, WANG L B, WANG Y Q. Mechanical properties of rock materials with related to mineralogical characteristics and grain size through experimental investigation: a comprehensive review [J]. Frontiers of Structural and Civil Engineering, 2017, 11(3): 322–328. doi: 10.1007/s11709-017-0387-9 [6] 杨小彬, 周杰, 宋义敏, 等. 循环加载岩石界面滑移位移演化特征试验研究 [J]. 煤炭学报, 2019, 44(10): 3041–3048. doi: 10.13225/j.cnki.jccs.2018.1579YANG X B, ZHOU J, SONG Y M, et al. Evolution characteristics of sliding displacement of rock interface under cyclic loading [J]. Journal of China Coal Society, 2019, 44(10): 3041–3048. doi: 10.13225/j.cnki.jccs.2018.1579 [7] ALNEASAN M, BEHNIA M, BAGHERPOUR R. Analytical investigations of interface crack growth between two dissimilar rock layers under compression and tension [J]. Engineering Geology, 2019, 259: 105188. doi: 10.1016/j.enggeo.2019.105188 [8] 蔡改贫, 赵小涛. 基于细观力学的矿石颗粒破碎特性研究 [J]. 应用力学学报, 2020, 37(4): 1792–1797. doi: 10.11776/cjam.37.04.B097CAI G P, ZHAO X T. Study on the fracture characteristics of ore particles based on micromechanics [J]. Chinese Journal of Applied Mechanics, 2020, 37(4): 1792–1797. doi: 10.11776/cjam.37.04.B097 [9] 王光勇, 余锐, 马东方, 等. 饱水细砂岩动态抗拉与抗压强度试验对比研究 [J]. 高压物理学报, 2020, 34(4): 044101. doi: 10.11858/gywlxb.20190857WANG G Y, YU R, MA D F, et al. Comparative study on dynamic tensile and compressive strength of the saturated fine sandstone [J]. Chinese Journal of High Pressure Physics, 2020, 34(4): 044101. doi: 10.11858/gywlxb.20190857 [10] 纪杰杰, 李洪涛, 吴发名, 等. 冲击荷载作用下岩石破碎分形特征 [J]. 振动与冲击, 2020, 39(13): 176–183, 214. doi: 10.13465/j.cnki.jvs.2020.13.026JI J J, LI H T, WU F M, et al. Fractal characteristics of rock fragmentation under impact load [J]. Journal of Vibration and Shock, 2020, 39(13): 176–183, 214. doi: 10.13465/j.cnki.jvs.2020.13.026 [11] 蔡改贫, 宣律伟, 张雪涛, 等. 多尺度内聚颗粒模型破碎过程研究 [J]. 岩土力学, 2020, 41(6): 1809–1817. doi: 10.16285/j.rsm.2019.1218CAI G P, XUAN L W, ZHANG X T, et al. Investigation into the crushing process in multi-scale cohesive particle model [J]. Rock and Soil Mechanics, 2020, 41(6): 1809–1817. doi: 10.16285/j.rsm.2019.1218 -

下载: